Seneste opdatering :
18/03/2026
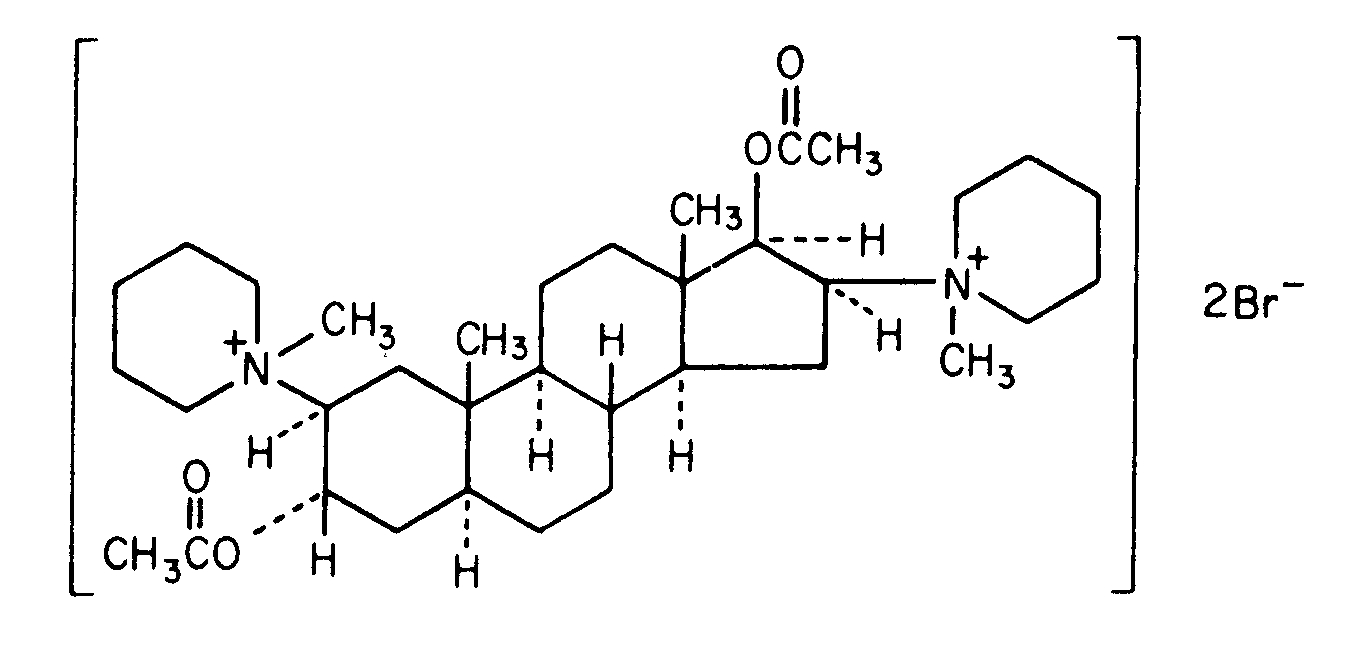
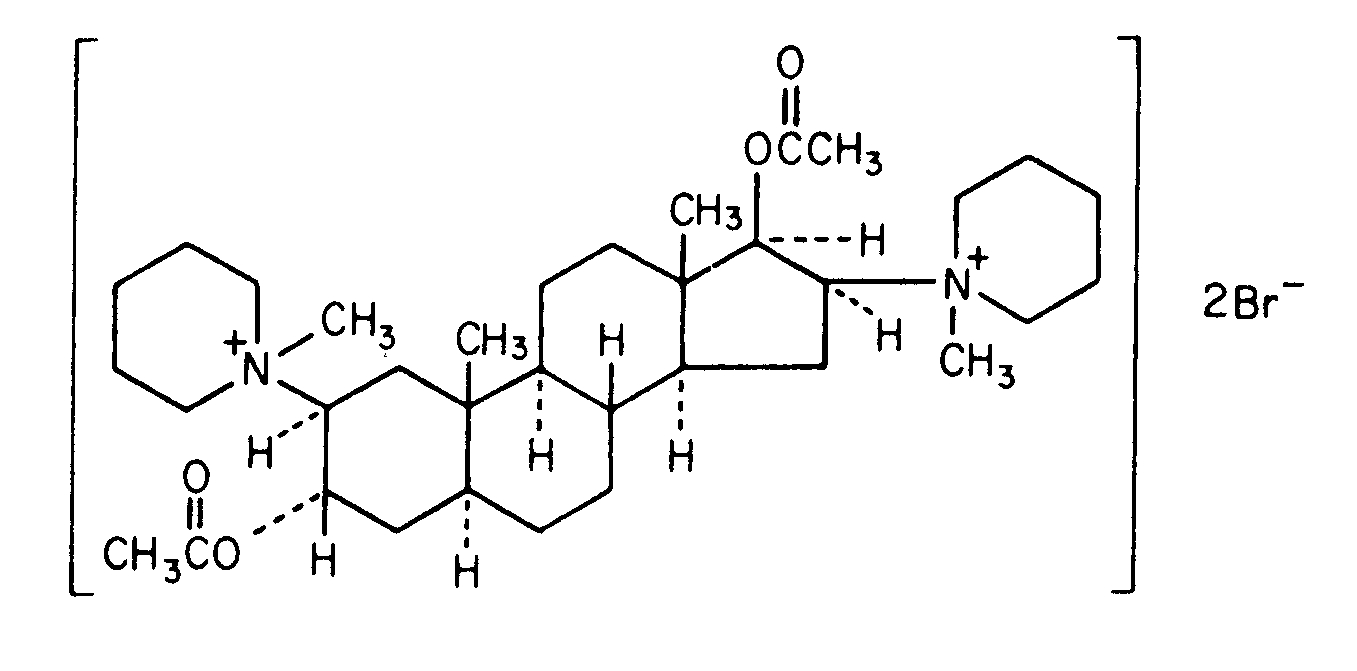
Curamimetisk   Pancuronium bromide  
Injektion
Stabilitet i (vandige) opløsninger Stabilitet i blandinger Faktorer der påvirker stabiliteten Kompatibilitet Administrationsvej Bibliografi pdf
   Kemisk struktur  

Handelsnavn   Handelsnavn     

Handel navne er vejledende og hjælpestoffer sammensætning kan være forskellig afhængigt af landet og laboratorier

Pancuronium bromide injection Canada, USA
Kompatibilitet   Injektion   Kompatibilitet : Pancuronium bromide              
Denne skærm viser kompatibilitet eller uforenelighed med, i dette tilfælde typen af inkompatibilitet (udfældning, farveændring, ændring af en emulsion osv.). Kompatibiliteterne vist her er for det meste kun fysiske, idet den kemiske stabilitet af hvert molekyle sjældent vurderes. Evalueringen af disse blandinger blev undersøgt for at overveje muligheden for Y-sted-administration til patienten. Disse data kan ikke bruges til at fremstille blandinger på forhånd i poser eller sprøjter. Denne type information findes på skærmen "Stabilitet i blanding".
Molekyle Opløsningsmiddel Bibliografi
Kompatibel
Injektion Pancuronium bromide 0.05 mg/ml
Injektion Aminophylline 1 mg/ml
5 % Glukose 402
Kompatibel
Injektion Pancuronium bromide 0.05 mg/ml
Injektion Cefazolin sodium 10 mg/ml
5 % Glukose 402
Kompatibel
Injektion Pancuronium bromide 0.05 mg/ml
Injektion Cefuroxime sodium 7.5 mg/ml
5 % Glukose 402
Kompatibel
Injektion Pancuronium bromide 0.05 mg/ml
Injektion Cimetidine hydrochloride 6 mg/ml
5 % Glukose 402
Kompatibel
Injektion Pancuronium bromide 0.2 mg/ml
Injektion Ciprofloxacin lactate 2 mg/ml
5 % Glukose 285
Kompatibel
Injektion Pancuronium bromide 0.05 mg/ml
Injektion Co-trimoxazole 3.2/0.64 mg/ml
5 % Glukose 402
Kompatibel
Injektion Pancuronium bromide
Injektion Dexmedetomidine
5042
Umiddelbar nedbør Uforenelig
Injektion Pancuronium bromide 0.05 mg/ml
Injektion Diazepam 5 mg/ml
5 % Glukose 402
Kompatibel
Injektion Pancuronium bromide 0.05 mg/ml
Injektion Dobutamine hydrochloride 1 mg/ml
5 % Glukose 402
Kompatibel
Injektion Pancuronium bromide 0.05 mg/ml
Injektion Dopamine hydrochloride 1.6 mg/ml
5 % Glukose 402
Kompatibel
Injektion Pancuronium bromide 0.05 mg/ml
Injektion Epinephrine hydrochloride 4 µg/ml
5 % Glukose 402
Kompatibel
Injektion Pancuronium bromide 0.05 mg/ml
Injektion Esmolol hydrochloride 10 mg/ml
5 % Glukose 402
Umiddelbar turbiditet Uforenelig
Injektion Pancuronium bromide
Injektion Etomidate
5011
Kompatibel
Injektion Pancuronium bromide 2 mg/ml
Injektion Etomidate 2 mg/ml
Ingen 319
Kompatibel
Injektion Pancuronium bromide 0.1 mg/ml
Injektion Fenoldopam mesylate 80 µg/ml
0,9 % Natriumklorid 1803
Kompatibel
Injektion Pancuronium bromide 0.05 mg/ml
Injektion Fentanyl citrate 10 µg/ml
5 % Glukose 402
Kompatibel
Injektion Pancuronium bromide 0,5 mg/ml
Injektion Fluconazole 2 mg/ml
0,9 % Natriumklorid 255
Kompatibel
Injektion Pancuronium bromide 0.05 mg/ml
Injektion Gentamicin sulfate 2 mg/ml
5 % Glukose 402
Kompatibel
Injektion Pancuronium bromide 0.05 mg/ml
Injektion Heparin sodium 40 UI/ml
5 % Glukose 402
Kompatibel
Injektion Pancuronium bromide 0.05 mg/ml
Injektion Hydrocortisone sodium succinate 1 mg/ml
5 % Glukose 402
Kompatibel
Injektion Pancuronium bromide
5 % Glukose 755
Kompatibel
Injektion Pancuronium bromide
Ringer laktat 755
Kompatibel
Injektion Pancuronium bromide 0.1 mg/ml
Injektion Hetastarch 60 mg/ml
specifikt opløsningsmiddel 1721
Kompatibel
Injektion Pancuronium bromide 0.05 mg/ml
Injektion Isoprenaline hydrochloride 0.004 mg/ml
5 % Glukose 402
Kompatibel
Injektion Pancuronium bromide 2 mg/ml
Injektion Ketamine hydrochloride 50 mg/ml
2109
Kompatibel
Injektion Pancuronium bromide 1 mg/ml
Injektion Levofloxacine 5 mg/ml
5 % Glukose 1072
Kompatibel
Injektion Pancuronium bromide 0.05 mg/ml
Injektion Lorazepam 0.5 mg/ml
5 % Glukose 402
Kompatibel
Injektion Pancuronium bromide 0.05 mg/ml
Injektion Midazolam hydrochloride 0.05 mg/ml
5 % Glukose 402
Kompatibel
Injektion Pancuronium bromide 2 mg/ml
Injektion Milrinone lactate 0.8 mg/ml
5 % Glukose 813
Kompatibel
Injektion Pancuronium bromide 0.05 mg/ml
Injektion Morphine sulfate 1 mg/ml
5 % Glukose 402
Kompatibel
Injektion Pancuronium bromide 2 mg/ml
Injektion Naloxone hydrochloride 0.4 mg/ml
Ingen 3408
Kompatibel
Injektion Pancuronium bromide 0.05 mg/ml
Injektion Nitroglycerin 0.4 mg/ml
5 % Glukose 402
Kompatibel
Injektion Pancuronium bromide 0.05 mg/ml
Injektion Nitroprusside sodium 0.2 mg/ml
5 % Glukose 402
Kompatibel
Injektion Pancuronium bromide 0.1 mg/ml
Injektion Oritavancin 0.8 >>2 mg/ml
5 % Glukose 3152
Umiddelbar nedbør Uforenelig
Injektion Pancuronium bromide
Injektion Pantoprazole sodium
2090
Kompatibel
Injektion Pancuronium bromide 1 mg/ml
Injektion Propofol 10 mg/ml
Ingen 300
Ustabilitet af emulsionen efter 4 timer Uforenelig
Injektion Pancuronium bromide 1 mg/ml
Injektion Propofol
660
Kompatibel
Injektion Pancuronium bromide 2 mg/ml
Injektion Propofol 2 mg/ml
Ingen 319
Kompatibel
Injektion Pancuronium bromide 0.05 mg/ml
Injektion Ranitidine hydrochloride 0.5 mg/ml
5 % Glukose 402
Umiddelbar nedbør Uforenelig
Injektion Pancuronium bromide 2 mg/ml
Injektion Salbutamol sulfate 1 mg/ml
Ingen 3216
Umiddelbar nedbør Uforenelig
Injektion Pancuronium bromide
Injektion Thiopental sodium
2079
Umiddelbar nedbør Uforenelig
Injektion Pancuronium bromide 2 mg/ml
Injektion Thiopental sodium 25 mg/ml
0,9 % Natriumklorid 3767
Umiddelbar nedbør Uforenelig
Injektion Pancuronium bromide 2 mg/ml
Injektion Thiopental sodium 25 mg/ml
Vand til injektion 319
Kompatibel
Injektion Pancuronium bromide 0.008 mg/ml
Injektion Verapamil hydrochloride 0.08 mg/ml
5 % Glukose 1057
Kompatibel
Injektion Pancuronium bromide
0,9 % Natriumklorid 755
Uspecificeret inkompatibilitet Uforenelig
Injektion Pancuronium bromide
Injektion Thiopental sodium
755
Kompatibel
Injektion Pancuronium bromide 0.05 mg/ml
Injektion Vancomycin hydrochloride 5 mg/ml
5 % Glukose 402
Kompatibel
Injektion Pancuronium bromide 0.008 mg/ml
Injektion Verapamil hydrochloride 0.08 mg/ml
0,9 % Natriumklorid 1057

  Mentions Légales