最新更新 :
18/03/2026
仿箭毒药   Pancuronium bromide  
注射液
溶液稳定性 混合物稳定性 影响稳定性的因素 兼容性 用药途径 引用文献 PDF
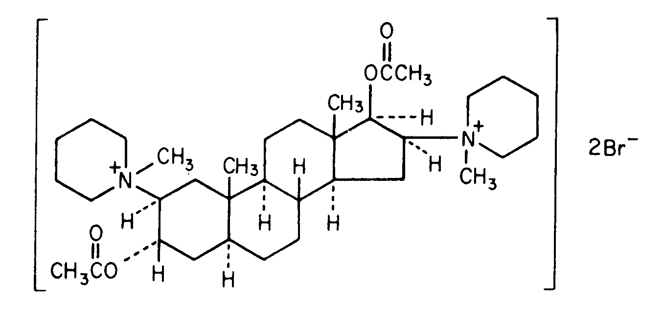
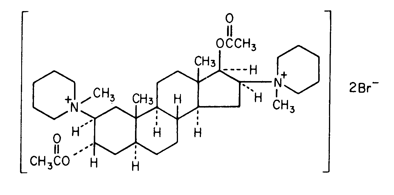
   化学式  

商品名   商品名     

商品名仅供参考, 药品所用的辅料可能依国家或厂商不同有所不同。

Pancuronium bromide injection 加拿大, 美国
兼容性   注射液   兼容性 : Pancuronium bromide              
This screen indicates the compatibilities or incompatibilities with, in this case, the type of incompatibility (precipitation, color change, modification of an emulsion, etc.). The compatibilities shown here are mostly physical only, with the chemical stability of each molecule rarely being assessed. The evaluation of these mixtures was studied to consider the possibility of Y-site administration to the patient. These data cannot be used for making mixtures in advance in bags or syringes. This type of information is available in the screen "Stability in mixture ».
分子 溶剂 引用文献
兼容
注射液 Pancuronium bromide 0.05 mg/ml
注射液 Aminophylline 1 mg/ml
葡萄糖5% 402
兼容
注射液 Pancuronium bromide 0.05 mg/ml
注射液 Cefazolin sodium 10 mg/ml
葡萄糖5% 402
兼容
注射液 Pancuronium bromide 0.05 mg/ml
注射液 Cefuroxime sodium 7.5 mg/ml
葡萄糖5% 402
兼容
注射液 Pancuronium bromide 0.05 mg/ml
注射液 Cimetidine hydrochloride 6 mg/ml
葡萄糖5% 402
兼容
注射液 Pancuronium bromide 0.2 mg/ml
注射液 Ciprofloxacin lactate 2 mg/ml
葡萄糖5% 285
兼容
注射液 Pancuronium bromide 0.05 mg/ml
注射液 Co-trimoxazole 3.2/0.64 mg/ml
葡萄糖5% 402
兼容
注射液 Pancuronium bromide
注射液 Dexmedetomidine
5042
立即沉澱 不相容
注射液 Pancuronium bromide 0.05 mg/ml
注射液 Diazepam 5 mg/ml
葡萄糖5% 402
兼容
注射液 Pancuronium bromide 0.05 mg/ml
注射液 Dobutamine hydrochloride 1 mg/ml
葡萄糖5% 402
兼容
注射液 Pancuronium bromide 0.05 mg/ml
注射液 Dopamine hydrochloride 1.6 mg/ml
葡萄糖5% 402
兼容
注射液 Pancuronium bromide 0.05 mg/ml
注射液 Epinephrine hydrochloride 4 µg/ml
葡萄糖5% 402
兼容
注射液 Pancuronium bromide 0.05 mg/ml
注射液 Esmolol hydrochloride 10 mg/ml
葡萄糖5% 402
立即渾濁 不相容
注射液 Pancuronium bromide
注射液 Etomidate
5011
兼容
注射液 Pancuronium bromide 2 mg/ml
注射液 Etomidate 2 mg/ml
无 319
兼容
注射液 Pancuronium bromide 0.1 mg/ml
注射液 Fenoldopam mesylate 80 µg/ml
NaCl 0,9% 1803
兼容
注射液 Pancuronium bromide 0.05 mg/ml
注射液 Fentanyl citrate 10 µg/ml
葡萄糖5% 402
兼容
注射液 Pancuronium bromide 0,5 mg/ml
注射液 Fluconazole 2 mg/ml
NaCl 0,9% 255
兼容
注射液 Pancuronium bromide 0.05 mg/ml
注射液 Gentamicin sulfate 2 mg/ml
葡萄糖5% 402
兼容
注射液 Pancuronium bromide 0.05 mg/ml
注射液 Heparin sodium 40 UI/ml
葡萄糖5% 402
兼容
注射液 Pancuronium bromide 0.05 mg/ml
注射液 Hydrocortisone sodium succinate 1 mg/ml
葡萄糖5% 402
兼容
注射液 Pancuronium bromide
葡萄糖5% 755
兼容
注射液 Pancuronium bromide
Ringer乳酸溶液 755
兼容
注射液 Pancuronium bromide 0.1 mg/ml
注射液 Hetastarch 60 mg/ml
特定溶液 1721
兼容
注射液 Pancuronium bromide 0.05 mg/ml
注射液 Isoprenaline hydrochloride 0.004 mg/ml
葡萄糖5% 402
兼容
注射液 Pancuronium bromide 2 mg/ml
注射液 Ketamine hydrochloride 50 mg/ml
2109
兼容
注射液 Pancuronium bromide 1 mg/ml
注射液 Levofloxacine 5 mg/ml
葡萄糖5% 1072
兼容
注射液 Pancuronium bromide 0.05 mg/ml
注射液 Lorazepam 0.5 mg/ml
葡萄糖5% 402
兼容
注射液 Pancuronium bromide 0.05 mg/ml
注射液 Midazolam hydrochloride 0.05 mg/ml
葡萄糖5% 402
兼容
注射液 Pancuronium bromide 2 mg/ml
注射液 Milrinone lactate 0.8 mg/ml
葡萄糖5% 813
兼容
注射液 Pancuronium bromide 0.05 mg/ml
注射液 Morphine sulfate 1 mg/ml
葡萄糖5% 402
兼容
注射液 Pancuronium bromide 2 mg/ml
注射液 Naloxone hydrochloride 0.4 mg/ml
无 3408
兼容
注射液 Pancuronium bromide 0.05 mg/ml
注射液 Nitroglycerin 0.4 mg/ml
葡萄糖5% 402
兼容
注射液 Pancuronium bromide 0.05 mg/ml
注射液 Nitroprusside sodium 0.2 mg/ml
葡萄糖5% 402
兼容
注射液 Pancuronium bromide 0.1 mg/ml
注射液 Oritavancin 0.8 >>2 mg/ml
葡萄糖5% 3152
立即沉澱 不相容
注射液 Pancuronium bromide
注射液 Pantoprazole sodium
2090
兼容
注射液 Pancuronium bromide 1 mg/ml
注射液 Propofol 10 mg/ml
无 300
4小時後乳液的不穩定性 不相容
注射液 Pancuronium bromide 1 mg/ml
注射液 Propofol
660
兼容
注射液 Pancuronium bromide 2 mg/ml
注射液 Propofol 2 mg/ml
无 319
兼容
注射液 Pancuronium bromide 0.05 mg/ml
注射液 Ranitidine hydrochloride 0.5 mg/ml
葡萄糖5% 402
立即沉澱 不相容
注射液 Pancuronium bromide 2 mg/ml
注射液 Salbutamol sulfate 1 mg/ml
无 3216
立即沉澱 不相容
注射液 Pancuronium bromide
注射液 Thiopental sodium
2079
立即沉澱 不相容
注射液 Pancuronium bromide 2 mg/ml
注射液 Thiopental sodium 25 mg/ml
NaCl 0,9% 3767
立即沉澱 不相容
注射液 Pancuronium bromide 2 mg/ml
注射液 Thiopental sodium 25 mg/ml
注射用水 319
兼容
注射液 Pancuronium bromide 0.008 mg/ml
注射液 Verapamil hydrochloride 0.08 mg/ml
葡萄糖5% 1057
兼容
注射液 Pancuronium bromide
NaCl 0,9% 755
未指定的不兼容性 不相容
注射液 Pancuronium bromide
注射液 Thiopental sodium
755
兼容
注射液 Pancuronium bromide 0.05 mg/ml
注射液 Vancomycin hydrochloride 5 mg/ml
葡萄糖5% 402
兼容
注射液 Pancuronium bromide 0.008 mg/ml
注射液 Verapamil hydrochloride 0.08 mg/ml
NaCl 0,9% 1057

  Mentions Légales