Poslední aktualizace :
18/03/2026
Kurarimimetikas   Pancuronium bromide  
Įpurškimas
Tirpalų stabilumas Mišinių stabilumas Stabilumą lemiantys veiksniai Suderinamumas Leidimo būdai Bibliografija pdf
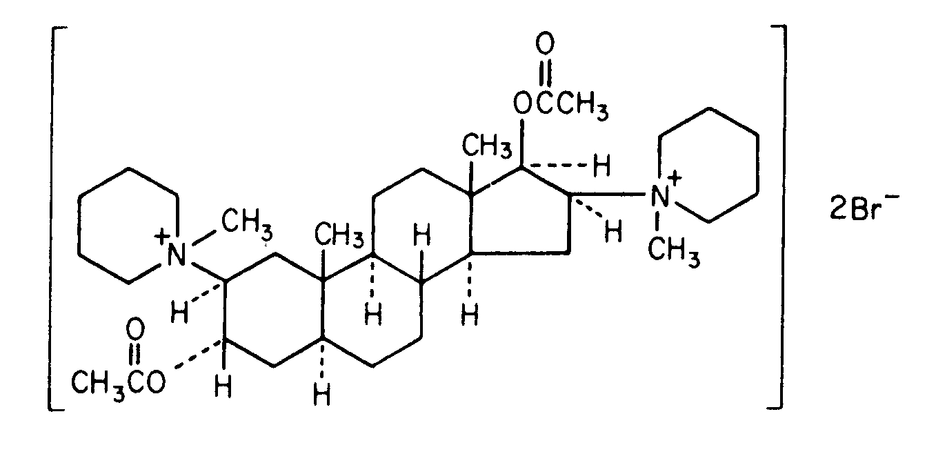
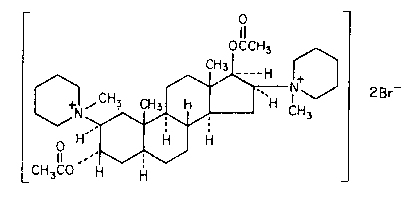
   Cheminė sandara  

Prekinis pavadinimas   Prekinis pavadinimas     

Trade names are indicative and excipients composition can be different depending on the country and manufacturers

Pancuronium bromide injection Jungtinės Amerikos Valstijos, Kanada
Suderinamumas   Įpurškimas   Suderinamumas : Pancuronium bromide              
explication_incompatibilite_molecules
Molekulė Tirpiklis Nuorodos
Suderinamas
Įpurškimas Pancuronium bromide 0.05 mg/ml
Įpurškimas Aminophylline 1 mg/ml
Gliukozė 5% 402
Suderinamas
Įpurškimas Pancuronium bromide 0.05 mg/ml
Įpurškimas Cefazolin sodium 10 mg/ml
Gliukozė 5% 402
Suderinamas
Įpurškimas Pancuronium bromide 0.05 mg/ml
Įpurškimas Cefuroxime sodium 7.5 mg/ml
Gliukozė 5% 402
Suderinamas
Įpurškimas Pancuronium bromide 0.05 mg/ml
Įpurškimas Cimetidine hydrochloride 6 mg/ml
Gliukozė 5% 402
Suderinamas
Įpurškimas Pancuronium bromide 0.2 mg/ml
Įpurškimas Ciprofloxacin lactate 2 mg/ml
Gliukozė 5% 285
Suderinamas
Įpurškimas Pancuronium bromide 0.05 mg/ml
Įpurškimas Co-trimoxazole 3.2/0.64 mg/ml
Gliukozė 5% 402
Suderinamas
Įpurškimas Pancuronium bromide
Įpurškimas Dexmedetomidine
5042
Nedelsiant krituliai Nesuderinamas
Įpurškimas Pancuronium bromide 0.05 mg/ml
Įpurškimas Diazepam 5 mg/ml
Gliukozė 5% 402
Suderinamas
Įpurškimas Pancuronium bromide 0.05 mg/ml
Įpurškimas Dobutamine hydrochloride 1 mg/ml
Gliukozė 5% 402
Suderinamas
Įpurškimas Pancuronium bromide 0.05 mg/ml
Įpurškimas Dopamine hydrochloride 1.6 mg/ml
Gliukozė 5% 402
Suderinamas
Įpurškimas Pancuronium bromide 0.05 mg/ml
Įpurškimas Epinephrine hydrochloride 4 µg/ml
Gliukozė 5% 402
Suderinamas
Įpurškimas Pancuronium bromide 0.05 mg/ml
Įpurškimas Esmolol hydrochloride 10 mg/ml
Gliukozė 5% 402
Tiesioginis drumstumas Nesuderinamas
Įpurškimas Pancuronium bromide
Įpurškimas Etomidate
5011
Suderinamas
Įpurškimas Pancuronium bromide 2 mg/ml
Įpurškimas Etomidate 2 mg/ml
Nėra 319
Suderinamas
Įpurškimas Pancuronium bromide 0.1 mg/ml
Įpurškimas Fenoldopam mesylate 80 µg/ml
Natrio chloridas 0,9% 1803
Suderinamas
Įpurškimas Pancuronium bromide 0.05 mg/ml
Įpurškimas Fentanyl citrate 10 µg/ml
Gliukozė 5% 402
Suderinamas
Įpurškimas Pancuronium bromide 0,5 mg/ml
Įpurškimas Fluconazole 2 mg/ml
Natrio chloridas 0,9% 255
Suderinamas
Įpurškimas Pancuronium bromide 0.05 mg/ml
Įpurškimas Gentamicin sulfate 2 mg/ml
Gliukozė 5% 402
Suderinamas
Įpurškimas Pancuronium bromide 0.05 mg/ml
Įpurškimas Heparin sodium 40 UI/ml
Gliukozė 5% 402
Suderinamas
Įpurškimas Pancuronium bromide 0.05 mg/ml
Įpurškimas Hydrocortisone sodium succinate 1 mg/ml
Gliukozė 5% 402
Suderinamas
Įpurškimas Pancuronium bromide
Gliukozė 5% 755
Suderinamas
Įpurškimas Pancuronium bromide
Ringerio laktato tirpalas 755
Suderinamas
Įpurškimas Pancuronium bromide 0.1 mg/ml
Įpurškimas Hetastarch 60 mg/ml
specifinis tirpiklis 1721
Suderinamas
Įpurškimas Pancuronium bromide 0.05 mg/ml
Įpurškimas Isoprenaline hydrochloride 0.004 mg/ml
Gliukozė 5% 402
Suderinamas
Įpurškimas Pancuronium bromide 2 mg/ml
Įpurškimas Ketamine hydrochloride 50 mg/ml
2109
Suderinamas
Įpurškimas Pancuronium bromide 1 mg/ml
Įpurškimas Levofloxacine 5 mg/ml
Gliukozė 5% 1072
Suderinamas
Įpurškimas Pancuronium bromide 0.05 mg/ml
Įpurškimas Lorazepam 0.5 mg/ml
Gliukozė 5% 402
Suderinamas
Įpurškimas Pancuronium bromide 0.05 mg/ml
Įpurškimas Midazolam hydrochloride 0.05 mg/ml
Gliukozė 5% 402
Suderinamas
Įpurškimas Pancuronium bromide 2 mg/ml
Įpurškimas Milrinone lactate 0.8 mg/ml
Gliukozė 5% 813
Suderinamas
Įpurškimas Pancuronium bromide 0.05 mg/ml
Įpurškimas Morphine sulfate 1 mg/ml
Gliukozė 5% 402
Suderinamas
Įpurškimas Pancuronium bromide 2 mg/ml
Įpurškimas Naloxone hydrochloride 0.4 mg/ml
Nėra 3408
Suderinamas
Įpurškimas Pancuronium bromide 0.05 mg/ml
Įpurškimas Nitroglycerin 0.4 mg/ml
Gliukozė 5% 402
Suderinamas
Įpurškimas Pancuronium bromide 0.05 mg/ml
Įpurškimas Nitroprusside sodium 0.2 mg/ml
Gliukozė 5% 402
Suderinamas
Įpurškimas Pancuronium bromide 0.1 mg/ml
Įpurškimas Oritavancin 0.8 >>2 mg/ml
Gliukozė 5% 3152
Nedelsiant krituliai Nesuderinamas
Įpurškimas Pancuronium bromide
Įpurškimas Pantoprazole sodium
2090
Suderinamas
Įpurškimas Pancuronium bromide 1 mg/ml
Įpurškimas Propofol 10 mg/ml
Nėra 300
Emulsijos nestabilumas po 4 valandų Nesuderinamas
Įpurškimas Pancuronium bromide 1 mg/ml
Įpurškimas Propofol
660
Suderinamas
Įpurškimas Pancuronium bromide 2 mg/ml
Įpurškimas Propofol 2 mg/ml
Nėra 319
Suderinamas
Įpurškimas Pancuronium bromide 0.05 mg/ml
Įpurškimas Ranitidine hydrochloride 0.5 mg/ml
Gliukozė 5% 402
Nedelsiant krituliai Nesuderinamas
Įpurškimas Pancuronium bromide 2 mg/ml
Įpurškimas Salbutamol sulfate 1 mg/ml
Nėra 3216
Nedelsiant krituliai Nesuderinamas
Įpurškimas Pancuronium bromide
Įpurškimas Thiopental sodium
2079
Nedelsiant krituliai Nesuderinamas
Įpurškimas Pancuronium bromide 2 mg/ml
Įpurškimas Thiopental sodium 25 mg/ml
Natrio chloridas 0,9% 3767
Nedelsiant krituliai Nesuderinamas
Įpurškimas Pancuronium bromide 2 mg/ml
Įpurškimas Thiopental sodium 25 mg/ml
Vanduo injekcijoms 319
Suderinamas
Įpurškimas Pancuronium bromide 0.008 mg/ml
Įpurškimas Verapamil hydrochloride 0.08 mg/ml
Gliukozė 5% 1057
Suderinamas
Įpurškimas Pancuronium bromide
Natrio chloridas 0,9% 755
Nepatikslintas nesuderinamumas Nesuderinamas
Įpurškimas Pancuronium bromide
Įpurškimas Thiopental sodium
755
Suderinamas
Įpurškimas Pancuronium bromide 0.05 mg/ml
Įpurškimas Vancomycin hydrochloride 5 mg/ml
Gliukozė 5% 402
Suderinamas
Įpurškimas Pancuronium bromide 0.008 mg/ml
Įpurškimas Verapamil hydrochloride 0.08 mg/ml
Natrio chloridas 0,9% 1057

  Mentions Légales