Ostatnia aktualizacja :
18/03/2026
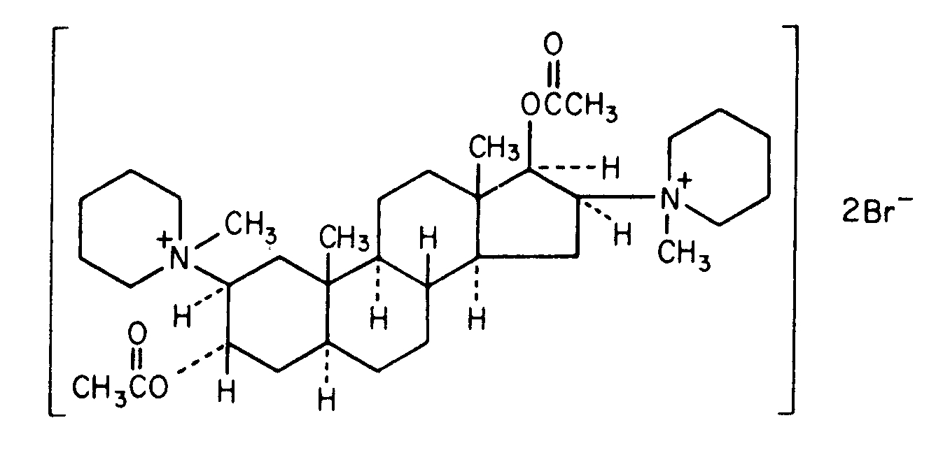
Lek kuraropodobny   Pancuronium bromide  
Injekcje
Trwałość roztworów Trwałość w mieszaninie Czynnik wpływający na trwałość Zgodność Sposób podania Bibliografia pdf
   Struktura chemiczna  

Nazwa handlowa   Nazwa handlowa     

Trade names are indicative and excipients composition can be different depending on the country and manufacturers

Pancuronium bromide injection Kanada, Stany Zjednoczone Ameryki
Zgodność   Injekcje   Zgodność : Pancuronium bromide              
Ekran ten wskazuje na kompatybilności lub niezgodności z, w tym przypadku, rodzajem niezgodności (strącanie, zmiana koloru, modyfikacja emulsji, itp.). Przedstawione tutaj kompatybilności są głównie fizyczne, a stabilność chemiczna każdej cząsteczki jest rzadko oceniana. Ocenę tych mieszanin badano w celu rozważenia możliwości podania pacjentowi w miejscu Y. Dane te nie mogą być wykorzystywane do sporządzania mieszanin z wyprzedzeniem w workach lub strzykawkach. Tego typu informacje są dostępne na ekranie „Stabilność w mieszaninie”.
Związek Rozpuszczalnik Bibliografia
Zgodny
Injekcje Pancuronium bromide 0.05 mg/ml
Injekcje Aminophylline 1 mg/ml
Glukoza 5% 402
Zgodny
Injekcje Pancuronium bromide 0.05 mg/ml
Injekcje Cefazolin sodium 10 mg/ml
Glukoza 5% 402
Zgodny
Injekcje Pancuronium bromide 0.05 mg/ml
Injekcje Cefuroxime sodium 7.5 mg/ml
Glukoza 5% 402
Zgodny
Injekcje Pancuronium bromide 0.05 mg/ml
Injekcje Cimetidine hydrochloride 6 mg/ml
Glukoza 5% 402
Zgodny
Injekcje Pancuronium bromide 0.2 mg/ml
Injekcje Ciprofloxacin lactate 2 mg/ml
Glukoza 5% 285
Zgodny
Injekcje Pancuronium bromide 0.05 mg/ml
Injekcje Co-trimoxazole 3.2/0.64 mg/ml
Glukoza 5% 402
Zgodny
Injekcje Pancuronium bromide
Injekcje Dexmedetomidine
5042
Natychmiastowe opady Niekompatybilny
Injekcje Pancuronium bromide 0.05 mg/ml
Injekcje Diazepam 5 mg/ml
Glukoza 5% 402
Zgodny
Injekcje Pancuronium bromide 0.05 mg/ml
Injekcje Dobutamine hydrochloride 1 mg/ml
Glukoza 5% 402
Zgodny
Injekcje Pancuronium bromide 0.05 mg/ml
Injekcje Dopamine hydrochloride 1.6 mg/ml
Glukoza 5% 402
Zgodny
Injekcje Pancuronium bromide 0.05 mg/ml
Injekcje Epinephrine hydrochloride 4 µg/ml
Glukoza 5% 402
Zgodny
Injekcje Pancuronium bromide 0.05 mg/ml
Injekcje Esmolol hydrochloride 10 mg/ml
Glukoza 5% 402
Natychmiastowe zmętnienie Niekompatybilny
Injekcje Pancuronium bromide
Injekcje Etomidate
5011
Zgodny
Injekcje Pancuronium bromide 2 mg/ml
Injekcje Etomidate 2 mg/ml
Żaden 319
Zgodny
Injekcje Pancuronium bromide 0.1 mg/ml
Injekcje Fenoldopam mesylate 80 µg/ml
Chlorek sodu 0,9% 1803
Zgodny
Injekcje Pancuronium bromide 0.05 mg/ml
Injekcje Fentanyl citrate 10 µg/ml
Glukoza 5% 402
Zgodny
Injekcje Pancuronium bromide 0,5 mg/ml
Injekcje Fluconazole 2 mg/ml
Chlorek sodu 0,9% 255
Zgodny
Injekcje Pancuronium bromide 0.05 mg/ml
Injekcje Gentamicin sulfate 2 mg/ml
Glukoza 5% 402
Zgodny
Injekcje Pancuronium bromide 0.05 mg/ml
Injekcje Heparin sodium 40 UI/ml
Glukoza 5% 402
Zgodny
Injekcje Pancuronium bromide 0.05 mg/ml
Injekcje Hydrocortisone sodium succinate 1 mg/ml
Glukoza 5% 402
Zgodny
Injekcje Pancuronium bromide
Glukoza 5% 755
Zgodny
Injekcje Pancuronium bromide
Roztwór Ringera z mleczanem sodowym 755
Zgodny
Injekcje Pancuronium bromide 0.1 mg/ml
Injekcje Hetastarch 60 mg/ml
danego rozpuszczalnika 1721
Zgodny
Injekcje Pancuronium bromide 0.05 mg/ml
Injekcje Isoprenaline hydrochloride 0.004 mg/ml
Glukoza 5% 402
Zgodny
Injekcje Pancuronium bromide 2 mg/ml
Injekcje Ketamine hydrochloride 50 mg/ml
2109
Zgodny
Injekcje Pancuronium bromide 1 mg/ml
Injekcje Levofloxacine 5 mg/ml
Glukoza 5% 1072
Zgodny
Injekcje Pancuronium bromide 0.05 mg/ml
Injekcje Lorazepam 0.5 mg/ml
Glukoza 5% 402
Zgodny
Injekcje Pancuronium bromide 0.05 mg/ml
Injekcje Midazolam hydrochloride 0.05 mg/ml
Glukoza 5% 402
Zgodny
Injekcje Pancuronium bromide 2 mg/ml
Injekcje Milrinone lactate 0.8 mg/ml
Glukoza 5% 813
Zgodny
Injekcje Pancuronium bromide 0.05 mg/ml
Injekcje Morphine sulfate 1 mg/ml
Glukoza 5% 402
Zgodny
Injekcje Pancuronium bromide 2 mg/ml
Injekcje Naloxone hydrochloride 0.4 mg/ml
Żaden 3408
Zgodny
Injekcje Pancuronium bromide 0.05 mg/ml
Injekcje Nitroglycerin 0.4 mg/ml
Glukoza 5% 402
Zgodny
Injekcje Pancuronium bromide 0.05 mg/ml
Injekcje Nitroprusside sodium 0.2 mg/ml
Glukoza 5% 402
Zgodny
Injekcje Pancuronium bromide 0.1 mg/ml
Injekcje Oritavancin 0.8 >>2 mg/ml
Glukoza 5% 3152
Natychmiastowe opady Niekompatybilny
Injekcje Pancuronium bromide
Injekcje Pantoprazole sodium
2090
Zgodny
Injekcje Pancuronium bromide 1 mg/ml
Injekcje Propofol 10 mg/ml
Żaden 300
Niestabilność emulsji po 4 godzinach Niekompatybilny
Injekcje Pancuronium bromide 1 mg/ml
Injekcje Propofol
660
Zgodny
Injekcje Pancuronium bromide 2 mg/ml
Injekcje Propofol 2 mg/ml
Żaden 319
Zgodny
Injekcje Pancuronium bromide 0.05 mg/ml
Injekcje Ranitidine hydrochloride 0.5 mg/ml
Glukoza 5% 402
Natychmiastowe opady Niekompatybilny
Injekcje Pancuronium bromide 2 mg/ml
Injekcje Salbutamol sulfate 1 mg/ml
Żaden 3216
Natychmiastowe opady Niekompatybilny
Injekcje Pancuronium bromide
Injekcje Thiopental sodium
2079
Natychmiastowe opady Niekompatybilny
Injekcje Pancuronium bromide 2 mg/ml
Injekcje Thiopental sodium 25 mg/ml
Chlorek sodu 0,9% 3767
Natychmiastowe opady Niekompatybilny
Injekcje Pancuronium bromide 2 mg/ml
Injekcje Thiopental sodium 25 mg/ml
Woda do wstrzyknięć 319
Zgodny
Injekcje Pancuronium bromide 0.008 mg/ml
Injekcje Verapamil hydrochloride 0.08 mg/ml
Glukoza 5% 1057
Zgodny
Injekcje Pancuronium bromide
Chlorek sodu 0,9% 755
Nieokreślona niezgodność Niekompatybilny
Injekcje Pancuronium bromide
Injekcje Thiopental sodium
755
Zgodny
Injekcje Pancuronium bromide 0.05 mg/ml
Injekcje Vancomycin hydrochloride 5 mg/ml
Glukoza 5% 402
Zgodny
Injekcje Pancuronium bromide 0.008 mg/ml
Injekcje Verapamil hydrochloride 0.08 mg/ml
Chlorek sodu 0,9% 1057

  Mentions Légales