Letztes “update” :
18/03/2026
Durch Curarin narkotisierend   Pancuronium bromide  
Injektion
Stabilität der Lösung Gemengestabilität Stabilitätbeeinflussende Faktoren Kompatibilitäten Applikationsart Literaturverzeichnis pdf
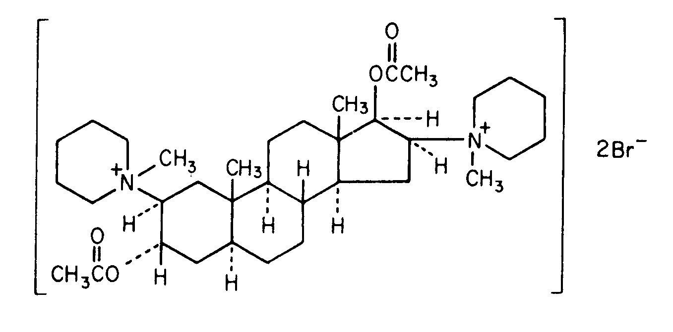
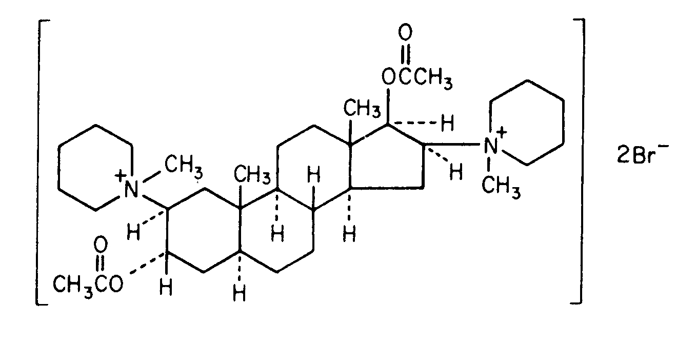
   Chemische Struktur  

Handelsmarke   Handelsmarke     

Handelsnamen sind als beispielhaft anzusehen. Sonstige Bestandteile können je nach Hersteller oder Land verschieden sein

Pancuronium bromide injection Kanada, Vereinigte Staaten von Amerika
Kompatibilitäten   Injektion   Kompatibilitäten : Pancuronium bromide              
Dieser Bildschirm zeigt die Kompatibilitäten oder Inkompatibilitäten mit der Art der Inkompatibilität (hier: Ausfällung, Farbänderung, Modifikation einer Emulsion usw.) an. Die hier gezeigten Kompatibilitäten sind meist nur physikalisch, wobei die chemische Stabilität jedes Moleküls selten bewertet wird. Die Bewertung dieser Gemische wurde untersucht, um die Möglichkeit einer Verabreichung über eine Y-Verbindung zu berücksichtigen. Diese Daten können daher nicht zur Herstellung von Mischungen im Voraus in Beuteln oder Spritzen verwendet werden. Sie finden diese Informationen auf dem Bildschirm "Stabilität in Mischung».
Molekül Lösungsmittel Literaturverzeichnis
kompatibel
Injektion Pancuronium bromide 0.05 mg/ml
Injektion Aminophylline 1 mg/ml
5% Glucose 402
kompatibel
Injektion Pancuronium bromide 0.05 mg/ml
Injektion Cefazolin sodium 10 mg/ml
5% Glucose 402
kompatibel
Injektion Pancuronium bromide 0.05 mg/ml
Injektion Cefuroxime sodium 7.5 mg/ml
5% Glucose 402
kompatibel
Injektion Pancuronium bromide 0.05 mg/ml
Injektion Cimetidine hydrochloride 6 mg/ml
5% Glucose 402
kompatibel
Injektion Pancuronium bromide 0.2 mg/ml
Injektion Ciprofloxacin lactate 2 mg/ml
5% Glucose 285
kompatibel
Injektion Pancuronium bromide 0.05 mg/ml
Injektion Co-trimoxazole 3.2/0.64 mg/ml
5% Glucose 402
kompatibel
Injektion Pancuronium bromide
Injektion Dexmedetomidine
5042
Sofortiger Niederschlag nicht kompatibel
Injektion Pancuronium bromide 0.05 mg/ml
Injektion Diazepam 5 mg/ml
5% Glucose 402
kompatibel
Injektion Pancuronium bromide 0.05 mg/ml
Injektion Dobutamine hydrochloride 1 mg/ml
5% Glucose 402
kompatibel
Injektion Pancuronium bromide 0.05 mg/ml
Injektion Dopamine hydrochloride 1.6 mg/ml
5% Glucose 402
kompatibel
Injektion Pancuronium bromide 0.05 mg/ml
Injektion Epinephrine hydrochloride 4 µg/ml
5% Glucose 402
kompatibel
Injektion Pancuronium bromide 0.05 mg/ml
Injektion Esmolol hydrochloride 10 mg/ml
5% Glucose 402
Sofortige Trübung nicht kompatibel
Injektion Pancuronium bromide
Injektion Etomidate
5011
kompatibel
Injektion Pancuronium bromide 2 mg/ml
Injektion Etomidate 2 mg/ml
Kein 319
kompatibel
Injektion Pancuronium bromide 0.1 mg/ml
Injektion Fenoldopam mesylate 80 µg/ml
0,9% Natriumchlorid 1803
kompatibel
Injektion Pancuronium bromide 0.05 mg/ml
Injektion Fentanyl citrate 10 µg/ml
5% Glucose 402
kompatibel
Injektion Pancuronium bromide 0,5 mg/ml
Injektion Fluconazole 2 mg/ml
0,9% Natriumchlorid 255
kompatibel
Injektion Pancuronium bromide 0.05 mg/ml
Injektion Gentamicin sulfate 2 mg/ml
5% Glucose 402
kompatibel
Injektion Pancuronium bromide 0.05 mg/ml
Injektion Heparin sodium 40 UI/ml
5% Glucose 402
kompatibel
Injektion Pancuronium bromide 0.05 mg/ml
Injektion Hydrocortisone sodium succinate 1 mg/ml
5% Glucose 402
kompatibel
Injektion Pancuronium bromide
5% Glucose 755
kompatibel
Injektion Pancuronium bromide
Ringer Lactat - Lösung 755
kompatibel
Injektion Pancuronium bromide 0.1 mg/ml
Injektion Hetastarch 60 mg/ml
spezifische Lösungsmittel 1721
kompatibel
Injektion Pancuronium bromide 0.05 mg/ml
Injektion Isoprenaline hydrochloride 0.004 mg/ml
5% Glucose 402
kompatibel
Injektion Pancuronium bromide 2 mg/ml
Injektion Ketamine hydrochloride 50 mg/ml
2109
kompatibel
Injektion Pancuronium bromide 1 mg/ml
Injektion Levofloxacine 5 mg/ml
5% Glucose 1072
kompatibel
Injektion Pancuronium bromide 0.05 mg/ml
Injektion Lorazepam 0.5 mg/ml
5% Glucose 402
kompatibel
Injektion Pancuronium bromide 0.05 mg/ml
Injektion Midazolam hydrochloride 0.05 mg/ml
5% Glucose 402
kompatibel
Injektion Pancuronium bromide 2 mg/ml
Injektion Milrinone lactate 0.8 mg/ml
5% Glucose 813
kompatibel
Injektion Pancuronium bromide 0.05 mg/ml
Injektion Morphine sulfate 1 mg/ml
5% Glucose 402
kompatibel
Injektion Pancuronium bromide 2 mg/ml
Injektion Naloxone hydrochloride 0.4 mg/ml
Kein 3408
kompatibel
Injektion Pancuronium bromide 0.05 mg/ml
Injektion Nitroglycerin 0.4 mg/ml
5% Glucose 402
kompatibel
Injektion Pancuronium bromide 0.05 mg/ml
Injektion Nitroprusside sodium 0.2 mg/ml
5% Glucose 402
kompatibel
Injektion Pancuronium bromide 0.1 mg/ml
Injektion Oritavancin 0.8 >>2 mg/ml
5% Glucose 3152
Sofortiger Niederschlag nicht kompatibel
Injektion Pancuronium bromide
Injektion Pantoprazole sodium
2090
kompatibel
Injektion Pancuronium bromide 1 mg/ml
Injektion Propofol 10 mg/ml
Kein 300
Instabilität der Emulsion nach 4 Stunden nicht kompatibel
Injektion Pancuronium bromide 1 mg/ml
Injektion Propofol
660
kompatibel
Injektion Pancuronium bromide 2 mg/ml
Injektion Propofol 2 mg/ml
Kein 319
kompatibel
Injektion Pancuronium bromide 0.05 mg/ml
Injektion Ranitidine hydrochloride 0.5 mg/ml
5% Glucose 402
Sofortiger Niederschlag nicht kompatibel
Injektion Pancuronium bromide 2 mg/ml
Injektion Salbutamol sulfate 1 mg/ml
Kein 3216
Sofortiger Niederschlag nicht kompatibel
Injektion Pancuronium bromide
Injektion Thiopental sodium
2079
Sofortiger Niederschlag nicht kompatibel
Injektion Pancuronium bromide 2 mg/ml
Injektion Thiopental sodium 25 mg/ml
0,9% Natriumchlorid 3767
Sofortiger Niederschlag nicht kompatibel
Injektion Pancuronium bromide 2 mg/ml
Injektion Thiopental sodium 25 mg/ml
Wasser für injektable präparate 319
kompatibel
Injektion Pancuronium bromide 0.008 mg/ml
Injektion Verapamil hydrochloride 0.08 mg/ml
5% Glucose 1057
kompatibel
Injektion Pancuronium bromide
0,9% Natriumchlorid 755
Nicht spezifizierte Inkompatibilität nicht kompatibel
Injektion Pancuronium bromide
Injektion Thiopental sodium
755
kompatibel
Injektion Pancuronium bromide 0.05 mg/ml
Injektion Vancomycin hydrochloride 5 mg/ml
5% Glucose 402
kompatibel
Injektion Pancuronium bromide 0.008 mg/ml
Injektion Verapamil hydrochloride 0.08 mg/ml
0,9% Natriumchlorid 1057

  Mentions Légales