Senaste uppdateringen :
18/03/2026
Muskel avslappande medel   Pancuronium bromide  
injektion
Lösningars stabilitet Stabilitet i blandningar Faktorer som påverkar stabiliteten Kompatibilitet Administreringssätt Hänvisningar pdf
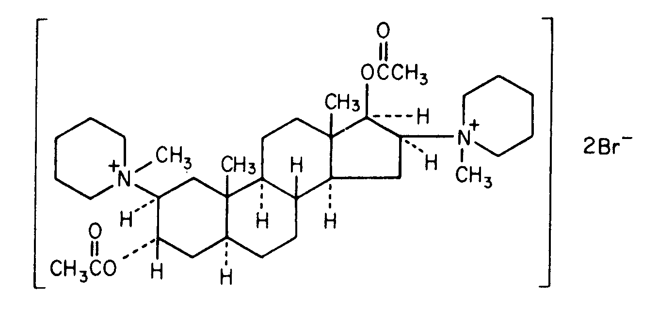
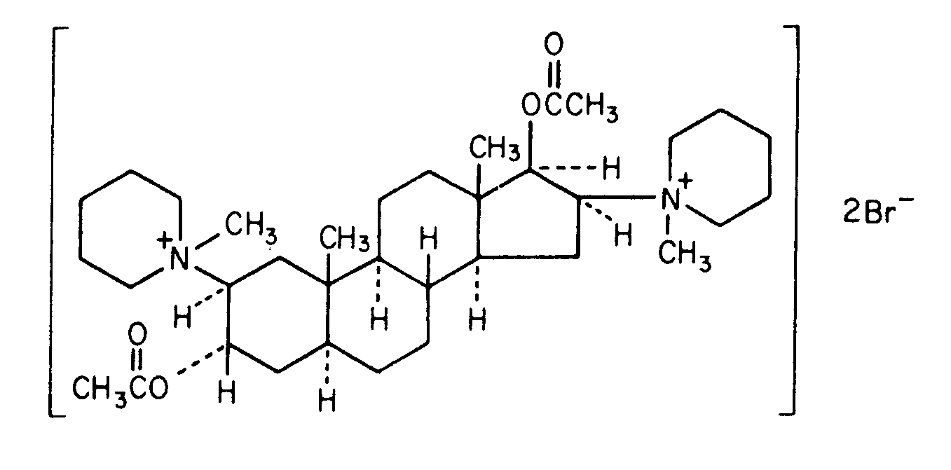
   Molekylstruktur  

Varunamn   Varunamn     

Angivna handelsnamn på läkemedel är enbart vägledande då formulering inklusive hjälpämnen kan variera mellan länder och tillverkare

Pancuronium bromide injection Förenta Staterna, Kanada
Kompatibilitet   injektion   Kompatibilitet : Pancuronium bromide              
Den här skärmen visar kompatibiliteten eller inkompatibiliteten med, i detta fall, typen av inkompatibilitet (utfällning, färgförändring, modifiering av en emulsion, etc.). De kompatibiliteter som visas här är oftast endast fysiska, varvid den kemiska stabiliteten för varje molekyl sällan utvärderas. Utvärderingen av dessa blandningar studerades för att överväga möjligheten för Y-platsadministrering till patienten. Dessa data kan inte användas för att göra blandningar i förväg i påsar eller sprutor. Denna typ av information finns på skärmen "Stabilitet i blandning".
Substans Lösningsmedel Hänvisningar
Kompatibel
injektion Pancuronium bromide 0.05 mg/ml
injektion Aminophylline 1 mg/ml
Glukos 5 % 402
Kompatibel
injektion Pancuronium bromide 0.05 mg/ml
injektion Cefazolin sodium 10 mg/ml
Glukos 5 % 402
Kompatibel
injektion Pancuronium bromide 0.05 mg/ml
injektion Cefuroxime sodium 7.5 mg/ml
Glukos 5 % 402
Kompatibel
injektion Pancuronium bromide 0.05 mg/ml
injektion Cimetidine hydrochloride 6 mg/ml
Glukos 5 % 402
Kompatibel
injektion Pancuronium bromide 0.2 mg/ml
injektion Ciprofloxacin lactate 2 mg/ml
Glukos 5 % 285
Kompatibel
injektion Pancuronium bromide 0.05 mg/ml
injektion Co-trimoxazole 3.2/0.64 mg/ml
Glukos 5 % 402
Kompatibel
injektion Pancuronium bromide
injektion Dexmedetomidine
5042
Omedelbar nederbörd Oförenlig
injektion Pancuronium bromide 0.05 mg/ml
injektion Diazepam 5 mg/ml
Glukos 5 % 402
Kompatibel
injektion Pancuronium bromide 0.05 mg/ml
injektion Dobutamine hydrochloride 1 mg/ml
Glukos 5 % 402
Kompatibel
injektion Pancuronium bromide 0.05 mg/ml
injektion Dopamine hydrochloride 1.6 mg/ml
Glukos 5 % 402
Kompatibel
injektion Pancuronium bromide 0.05 mg/ml
injektion Epinephrine hydrochloride 4 µg/ml
Glukos 5 % 402
Kompatibel
injektion Pancuronium bromide 0.05 mg/ml
injektion Esmolol hydrochloride 10 mg/ml
Glukos 5 % 402
Omedelbar grumlighet Oförenlig
injektion Pancuronium bromide
injektion Etomidate
5011
Kompatibel
injektion Pancuronium bromide 2 mg/ml
injektion Etomidate 2 mg/ml
Ingen 319
Kompatibel
injektion Pancuronium bromide 0.1 mg/ml
injektion Fenoldopam mesylate 80 µg/ml
Natriumklorid 0,9 % 1803
Kompatibel
injektion Pancuronium bromide 0.05 mg/ml
injektion Fentanyl citrate 10 µg/ml
Glukos 5 % 402
Kompatibel
injektion Pancuronium bromide 0,5 mg/ml
injektion Fluconazole 2 mg/ml
Natriumklorid 0,9 % 255
Kompatibel
injektion Pancuronium bromide 0.05 mg/ml
injektion Gentamicin sulfate 2 mg/ml
Glukos 5 % 402
Kompatibel
injektion Pancuronium bromide 0.05 mg/ml
injektion Heparin sodium 40 UI/ml
Glukos 5 % 402
Kompatibel
injektion Pancuronium bromide 0.05 mg/ml
injektion Hydrocortisone sodium succinate 1 mg/ml
Glukos 5 % 402
Kompatibel
injektion Pancuronium bromide
Glukos 5 % 755
Kompatibel
injektion Pancuronium bromide
Ringer-laktatlösning 755
Kompatibel
injektion Pancuronium bromide 0.1 mg/ml
injektion Hetastarch 60 mg/ml
specifikt lösningsmedel 1721
Kompatibel
injektion Pancuronium bromide 0.05 mg/ml
injektion Isoprenaline hydrochloride 0.004 mg/ml
Glukos 5 % 402
Kompatibel
injektion Pancuronium bromide 2 mg/ml
injektion Ketamine hydrochloride 50 mg/ml
2109
Kompatibel
injektion Pancuronium bromide 1 mg/ml
injektion Levofloxacine 5 mg/ml
Glukos 5 % 1072
Kompatibel
injektion Pancuronium bromide 0.05 mg/ml
injektion Lorazepam 0.5 mg/ml
Glukos 5 % 402
Kompatibel
injektion Pancuronium bromide 0.05 mg/ml
injektion Midazolam hydrochloride 0.05 mg/ml
Glukos 5 % 402
Kompatibel
injektion Pancuronium bromide 2 mg/ml
injektion Milrinone lactate 0.8 mg/ml
Glukos 5 % 813
Kompatibel
injektion Pancuronium bromide 0.05 mg/ml
injektion Morphine sulfate 1 mg/ml
Glukos 5 % 402
Kompatibel
injektion Pancuronium bromide 2 mg/ml
injektion Naloxone hydrochloride 0.4 mg/ml
Ingen 3408
Kompatibel
injektion Pancuronium bromide 0.05 mg/ml
injektion Nitroglycerin 0.4 mg/ml
Glukos 5 % 402
Kompatibel
injektion Pancuronium bromide 0.05 mg/ml
injektion Nitroprusside sodium 0.2 mg/ml
Glukos 5 % 402
Kompatibel
injektion Pancuronium bromide 0.1 mg/ml
injektion Oritavancin 0.8 >>2 mg/ml
Glukos 5 % 3152
Omedelbar nederbörd Oförenlig
injektion Pancuronium bromide
injektion Pantoprazole sodium
2090
Kompatibel
injektion Pancuronium bromide 1 mg/ml
injektion Propofol 10 mg/ml
Ingen 300
Emulsionens instabilitet efter 4 timmar Oförenlig
injektion Pancuronium bromide 1 mg/ml
injektion Propofol
660
Kompatibel
injektion Pancuronium bromide 2 mg/ml
injektion Propofol 2 mg/ml
Ingen 319
Kompatibel
injektion Pancuronium bromide 0.05 mg/ml
injektion Ranitidine hydrochloride 0.5 mg/ml
Glukos 5 % 402
Omedelbar nederbörd Oförenlig
injektion Pancuronium bromide 2 mg/ml
injektion Salbutamol sulfate 1 mg/ml
Ingen 3216
Omedelbar nederbörd Oförenlig
injektion Pancuronium bromide
injektion Thiopental sodium
2079
Omedelbar nederbörd Oförenlig
injektion Pancuronium bromide 2 mg/ml
injektion Thiopental sodium 25 mg/ml
Natriumklorid 0,9 % 3767
Omedelbar nederbörd Oförenlig
injektion Pancuronium bromide 2 mg/ml
injektion Thiopental sodium 25 mg/ml
Vatten för injektion 319
Kompatibel
injektion Pancuronium bromide 0.008 mg/ml
injektion Verapamil hydrochloride 0.08 mg/ml
Glukos 5 % 1057
Kompatibel
injektion Pancuronium bromide
Natriumklorid 0,9 % 755
Ospecificerad inkompatibilitet Oförenlig
injektion Pancuronium bromide
injektion Thiopental sodium
755
Kompatibel
injektion Pancuronium bromide 0.05 mg/ml
injektion Vancomycin hydrochloride 5 mg/ml
Glukos 5 % 402
Kompatibel
injektion Pancuronium bromide 0.008 mg/ml
injektion Verapamil hydrochloride 0.08 mg/ml
Natriumklorid 0,9 % 1057

  Mentions Légales