Ultimele actualizari :
18/03/2026
Curarizant   Pancuronium bromide  
Injectabil
Stabilitatea in solutie Stabilitatea in amestec Factorii care influenteaza stabilitatea Compatibilitate Microunde Bibliografie pdf
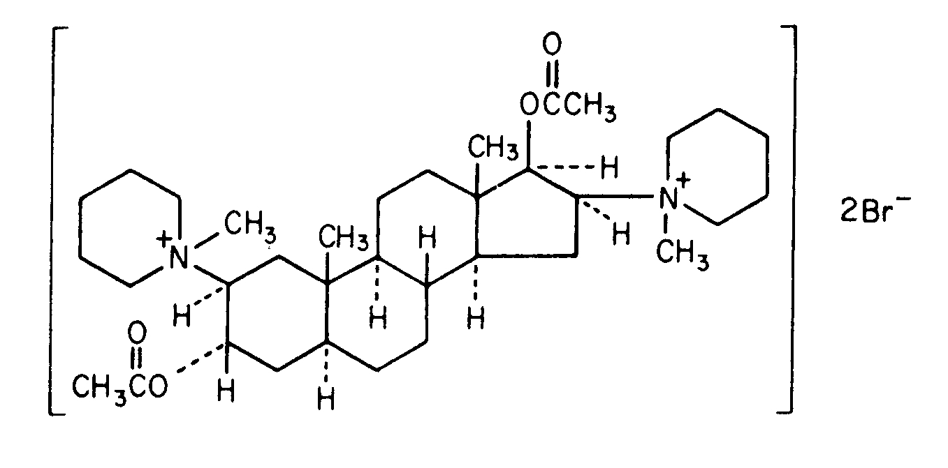
   Formula chimica  

Denumirea comerciala   Denumirea comerciala     

Trade names are indicative and excipients composition can be different depending on the country and manufacturers

Pancuronium bromide injection Canada, SUA
Compatibilitate   Injectabil   Compatibilitate : Pancuronium bromide              
Acest ecran indică compatibilitățile sau incompatibilitățile cu, în acest caz, tipul de incompatibilitate (precipitații, schimbarea culorii, modificarea unei emulsii etc.). Compatibilitățile prezentate aici sunt în mare parte numai fizice, stabilitatea chimică a fiecărei molecule fiind rareori evaluată. Evaluarea acestor amestecuri a fost studiată pentru a lua în considerare posibilitatea administrării site-ului Y la pacient. Aceste date nu pot fi utilizate pentru prepararea în prealabil a amestecurilor în pungi sau seringi. Acest tip de informații este disponibil în ecranul „Stabilitate în amestec».
Molecula (substanta activa) Solvent Bibiografie
Compatibil
Injectabil Pancuronium bromide 0.05 mg/ml
Injectabil Aminophylline 1 mg/ml
Glucoza 5% 402
Compatibil
Injectabil Pancuronium bromide 0.05 mg/ml
Injectabil Cefazolin sodium 10 mg/ml
Glucoza 5% 402
Compatibil
Injectabil Pancuronium bromide 0.05 mg/ml
Injectabil Cefuroxime sodium 7.5 mg/ml
Glucoza 5% 402
Compatibil
Injectabil Pancuronium bromide 0.05 mg/ml
Injectabil Cimetidine hydrochloride 6 mg/ml
Glucoza 5% 402
Compatibil
Injectabil Pancuronium bromide 0.2 mg/ml
Injectabil Ciprofloxacin lactate 2 mg/ml
Glucoza 5% 285
Compatibil
Injectabil Pancuronium bromide 0.05 mg/ml
Injectabil Co-trimoxazole 3.2/0.64 mg/ml
Glucoza 5% 402
Compatibil
Injectabil Pancuronium bromide
Injectabil Dexmedetomidine
5042
Precipitații imediate Incompatibil
Injectabil Pancuronium bromide 0.05 mg/ml
Injectabil Diazepam 5 mg/ml
Glucoza 5% 402
Compatibil
Injectabil Pancuronium bromide 0.05 mg/ml
Injectabil Dobutamine hydrochloride 1 mg/ml
Glucoza 5% 402
Compatibil
Injectabil Pancuronium bromide 0.05 mg/ml
Injectabil Dopamine hydrochloride 1.6 mg/ml
Glucoza 5% 402
Compatibil
Injectabil Pancuronium bromide 0.05 mg/ml
Injectabil Epinephrine hydrochloride 4 µg/ml
Glucoza 5% 402
Compatibil
Injectabil Pancuronium bromide 0.05 mg/ml
Injectabil Esmolol hydrochloride 10 mg/ml
Glucoza 5% 402
Turbiditate imediată Incompatibil
Injectabil Pancuronium bromide
Injectabil Etomidate
5011
Compatibil
Injectabil Pancuronium bromide 2 mg/ml
Injectabil Etomidate 2 mg/ml
fara 319
Compatibil
Injectabil Pancuronium bromide 0.1 mg/ml
Injectabil Fenoldopam mesylate 80 µg/ml
clorura de sodiu 0,9% 1803
Compatibil
Injectabil Pancuronium bromide 0.05 mg/ml
Injectabil Fentanyl citrate 10 µg/ml
Glucoza 5% 402
Compatibil
Injectabil Pancuronium bromide 0,5 mg/ml
Injectabil Fluconazole 2 mg/ml
clorura de sodiu 0,9% 255
Compatibil
Injectabil Pancuronium bromide 0.05 mg/ml
Injectabil Gentamicin sulfate 2 mg/ml
Glucoza 5% 402
Compatibil
Injectabil Pancuronium bromide 0.05 mg/ml
Injectabil Heparin sodium 40 UI/ml
Glucoza 5% 402
Compatibil
Injectabil Pancuronium bromide 0.05 mg/ml
Injectabil Hydrocortisone sodium succinate 1 mg/ml
Glucoza 5% 402
Compatibil
Injectabil Pancuronium bromide
Glucoza 5% 755
Compatibil
Injectabil Pancuronium bromide
Solutie Ringer lactat 755
Compatibil
Injectabil Pancuronium bromide 0.1 mg/ml
Injectabil Hetastarch 60 mg/ml
specific de solvent 1721
Compatibil
Injectabil Pancuronium bromide 0.05 mg/ml
Injectabil Isoprenaline hydrochloride 0.004 mg/ml
Glucoza 5% 402
Compatibil
Injectabil Pancuronium bromide 2 mg/ml
Injectabil Ketamine hydrochloride 50 mg/ml
2109
Compatibil
Injectabil Pancuronium bromide 1 mg/ml
Injectabil Levofloxacine 5 mg/ml
Glucoza 5% 1072
Compatibil
Injectabil Pancuronium bromide 0.05 mg/ml
Injectabil Lorazepam 0.5 mg/ml
Glucoza 5% 402
Compatibil
Injectabil Pancuronium bromide 0.05 mg/ml
Injectabil Midazolam hydrochloride 0.05 mg/ml
Glucoza 5% 402
Compatibil
Injectabil Pancuronium bromide 2 mg/ml
Injectabil Milrinone lactate 0.8 mg/ml
Glucoza 5% 813
Compatibil
Injectabil Pancuronium bromide 0.05 mg/ml
Injectabil Morphine sulfate 1 mg/ml
Glucoza 5% 402
Compatibil
Injectabil Pancuronium bromide 2 mg/ml
Injectabil Naloxone hydrochloride 0.4 mg/ml
fara 3408
Compatibil
Injectabil Pancuronium bromide 0.05 mg/ml
Injectabil Nitroglycerin 0.4 mg/ml
Glucoza 5% 402
Compatibil
Injectabil Pancuronium bromide 0.05 mg/ml
Injectabil Nitroprusside sodium 0.2 mg/ml
Glucoza 5% 402
Compatibil
Injectabil Pancuronium bromide 0.1 mg/ml
Injectabil Oritavancin 0.8 >>2 mg/ml
Glucoza 5% 3152
Precipitații imediate Incompatibil
Injectabil Pancuronium bromide
Injectabil Pantoprazole sodium
2090
Compatibil
Injectabil Pancuronium bromide 1 mg/ml
Injectabil Propofol 10 mg/ml
fara 300
Instabilitatea emulsiei după 4 ore Incompatibil
Injectabil Pancuronium bromide 1 mg/ml
Injectabil Propofol
660
Compatibil
Injectabil Pancuronium bromide 2 mg/ml
Injectabil Propofol 2 mg/ml
fara 319
Compatibil
Injectabil Pancuronium bromide 0.05 mg/ml
Injectabil Ranitidine hydrochloride 0.5 mg/ml
Glucoza 5% 402
Precipitații imediate Incompatibil
Injectabil Pancuronium bromide 2 mg/ml
Injectabil Salbutamol sulfate 1 mg/ml
fara 3216
Precipitații imediate Incompatibil
Injectabil Pancuronium bromide
Injectabil Thiopental sodium
2079
Precipitații imediate Incompatibil
Injectabil Pancuronium bromide 2 mg/ml
Injectabil Thiopental sodium 25 mg/ml
clorura de sodiu 0,9% 3767
Precipitații imediate Incompatibil
Injectabil Pancuronium bromide 2 mg/ml
Injectabil Thiopental sodium 25 mg/ml
apa pentru preparate injectabile 319
Compatibil
Injectabil Pancuronium bromide 0.008 mg/ml
Injectabil Verapamil hydrochloride 0.08 mg/ml
Glucoza 5% 1057
Compatibil
Injectabil Pancuronium bromide
clorura de sodiu 0,9% 755
Incompatibilitate nespecificată Incompatibil
Injectabil Pancuronium bromide
Injectabil Thiopental sodium
755
Compatibil
Injectabil Pancuronium bromide 0.05 mg/ml
Injectabil Vancomycin hydrochloride 5 mg/ml
Glucoza 5% 402
Compatibil
Injectabil Pancuronium bromide 0.008 mg/ml
Injectabil Verapamil hydrochloride 0.08 mg/ml
clorura de sodiu 0,9% 1057

  Mentions Légales