Последно актуализиране :
18/03/2026
Кураре-миметик   Pancuronium bromide  
Инжекция/Инжекционен
Стабилност на разтвори Стабилност на смеси Фактори, повлияващи стабилността Съвместимост Път на въвеждане Библиография Pdf
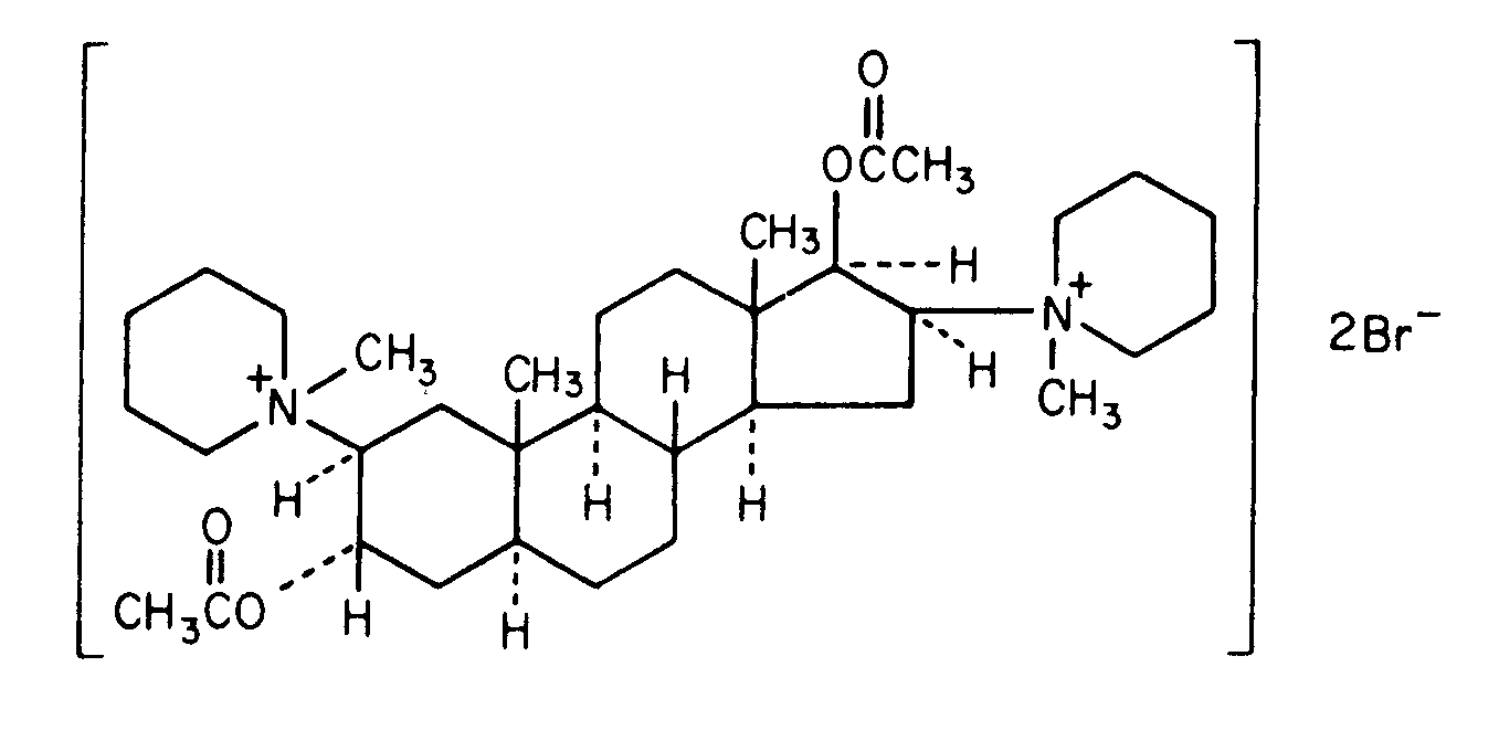
   Химична структура  

Търговско наименование   Търговско наименование     

Търговските имена са примерни и съставът на помощните вещества може да бъде различен в зависимост от държавата и лабораториите

Pancuronium bromide injection Канада, Съединени Американски щати / САЩ
Съвместимост   Инжекция/Инжекционен   Съвместимост : Pancuronium bromide              
Този екран показва съвместимостта или несъвместимостта с, в този случай, вида на несъвместимостта (утаяване, промяна на цвета, модификация на емулсия и др.). Показаните тук съвместимости са предимно физически, като рядко се оценява химическата стабилност на всяка молекула. Оценката на тези смеси беше проучена, за да се разгледа възможността за приложение на Y-място на пациента. Тези данни не могат да се използват за предварително приготвяне на смеси в торбички или спринцовки. Този тип информация е достъпна на екрана "Стабилност в сместа".
Състав / молекула Разтворител Библиография
съвместим
Инжекция/Инжекционен Pancuronium bromide 0.05 mg/ml
Инжекция/Инжекционен Aminophylline 1 mg/ml
Glucose 5% 402
съвместим
Инжекция/Инжекционен Pancuronium bromide 0.05 mg/ml
Инжекция/Инжекционен Cefazolin sodium 10 mg/ml
Glucose 5% 402
съвместим
Инжекция/Инжекционен Pancuronium bromide 0.05 mg/ml
Инжекция/Инжекционен Cefuroxime sodium 7.5 mg/ml
Glucose 5% 402
съвместим
Инжекция/Инжекционен Pancuronium bromide 0.05 mg/ml
Инжекция/Инжекционен Cimetidine hydrochloride 6 mg/ml
Glucose 5% 402
съвместим
Инжекция/Инжекционен Pancuronium bromide 0.2 mg/ml
Инжекция/Инжекционен Ciprofloxacin lactate 2 mg/ml
Glucose 5% 285
съвместим
Инжекция/Инжекционен Pancuronium bromide 0.05 mg/ml
Инжекция/Инжекционен Co-trimoxazole 3.2/0.64 mg/ml
Glucose 5% 402
съвместим
Инжекция/Инжекционен Pancuronium bromide
Инжекция/Инжекционен Dexmedetomidine
5042
Незабавни валежи Несъвместим
Инжекция/Инжекционен Pancuronium bromide 0.05 mg/ml
Инжекция/Инжекционен Diazepam 5 mg/ml
Glucose 5% 402
съвместим
Инжекция/Инжекционен Pancuronium bromide 0.05 mg/ml
Инжекция/Инжекционен Dobutamine hydrochloride 1 mg/ml
Glucose 5% 402
съвместим
Инжекция/Инжекционен Pancuronium bromide 0.05 mg/ml
Инжекция/Инжекционен Dopamine hydrochloride 1.6 mg/ml
Glucose 5% 402
съвместим
Инжекция/Инжекционен Pancuronium bromide 0.05 mg/ml
Инжекция/Инжекционен Epinephrine hydrochloride 4 µg/ml
Glucose 5% 402
съвместим
Инжекция/Инжекционен Pancuronium bromide 0.05 mg/ml
Инжекция/Инжекционен Esmolol hydrochloride 10 mg/ml
Glucose 5% 402
Незабавна мътност Несъвместим
Инжекция/Инжекционен Pancuronium bromide
Инжекция/Инжекционен Etomidate
5011
съвместим
Инжекция/Инжекционен Pancuronium bromide 2 mg/ml
Инжекция/Инжекционен Etomidate 2 mg/ml
Няма 319
съвместим
Инжекция/Инжекционен Pancuronium bromide 0.1 mg/ml
Инжекция/Инжекционен Fenoldopam mesylate 80 µg/ml
Sodium chloride 0,9% 1803
съвместим
Инжекция/Инжекционен Pancuronium bromide 0.05 mg/ml
Инжекция/Инжекционен Fentanyl citrate 10 µg/ml
Glucose 5% 402
съвместим
Инжекция/Инжекционен Pancuronium bromide 0,5 mg/ml
Инжекция/Инжекционен Fluconazole 2 mg/ml
Sodium chloride 0,9% 255
съвместим
Инжекция/Инжекционен Pancuronium bromide 0.05 mg/ml
Инжекция/Инжекционен Gentamicin sulfate 2 mg/ml
Glucose 5% 402
съвместим
Инжекция/Инжекционен Pancuronium bromide 0.05 mg/ml
Инжекция/Инжекционен Heparin sodium 40 UI/ml
Glucose 5% 402
съвместим
Инжекция/Инжекционен Pancuronium bromide 0.05 mg/ml
Инжекция/Инжекционен Hydrocortisone sodium succinate 1 mg/ml
Glucose 5% 402
съвместим
Инжекция/Инжекционен Pancuronium bromide
Glucose 5% 755
съвместим
Инжекция/Инжекционен Pancuronium bromide
Ринтер лактат 755
съвместим
Инжекция/Инжекционен Pancuronium bromide 0.1 mg/ml
Инжекция/Инжекционен Hetastarch 60 mg/ml
Специфична разтворител 1721
съвместим
Инжекция/Инжекционен Pancuronium bromide 0.05 mg/ml
Инжекция/Инжекционен Isoprenaline hydrochloride 0.004 mg/ml
Glucose 5% 402
съвместим
Инжекция/Инжекционен Pancuronium bromide 2 mg/ml
Инжекция/Инжекционен Ketamine hydrochloride 50 mg/ml
2109
съвместим
Инжекция/Инжекционен Pancuronium bromide 1 mg/ml
Инжекция/Инжекционен Levofloxacine 5 mg/ml
Glucose 5% 1072
съвместим
Инжекция/Инжекционен Pancuronium bromide 0.05 mg/ml
Инжекция/Инжекционен Lorazepam 0.5 mg/ml
Glucose 5% 402
съвместим
Инжекция/Инжекционен Pancuronium bromide 0.05 mg/ml
Инжекция/Инжекционен Midazolam hydrochloride 0.05 mg/ml
Glucose 5% 402
съвместим
Инжекция/Инжекционен Pancuronium bromide 2 mg/ml
Инжекция/Инжекционен Milrinone lactate 0.8 mg/ml
Glucose 5% 813
съвместим
Инжекция/Инжекционен Pancuronium bromide 0.05 mg/ml
Инжекция/Инжекционен Morphine sulfate 1 mg/ml
Glucose 5% 402
съвместим
Инжекция/Инжекционен Pancuronium bromide 2 mg/ml
Инжекция/Инжекционен Naloxone hydrochloride 0.4 mg/ml
Няма 3408
съвместим
Инжекция/Инжекционен Pancuronium bromide 0.05 mg/ml
Инжекция/Инжекционен Nitroglycerin 0.4 mg/ml
Glucose 5% 402
съвместим
Инжекция/Инжекционен Pancuronium bromide 0.05 mg/ml
Инжекция/Инжекционен Nitroprusside sodium 0.2 mg/ml
Glucose 5% 402
съвместим
Инжекция/Инжекционен Pancuronium bromide 0.1 mg/ml
Инжекция/Инжекционен Oritavancin 0.8 >>2 mg/ml
Glucose 5% 3152
Незабавни валежи Несъвместим
Инжекция/Инжекционен Pancuronium bromide
Инжекция/Инжекционен Pantoprazole sodium
2090
съвместим
Инжекция/Инжекционен Pancuronium bromide 1 mg/ml
Инжекция/Инжекционен Propofol 10 mg/ml
Няма 300
Нестабилност на емулсията след 4 часа Несъвместим
Инжекция/Инжекционен Pancuronium bromide 1 mg/ml
Инжекция/Инжекционен Propofol
660
съвместим
Инжекция/Инжекционен Pancuronium bromide 2 mg/ml
Инжекция/Инжекционен Propofol 2 mg/ml
Няма 319
съвместим
Инжекция/Инжекционен Pancuronium bromide 0.05 mg/ml
Инжекция/Инжекционен Ranitidine hydrochloride 0.5 mg/ml
Glucose 5% 402
Незабавни валежи Несъвместим
Инжекция/Инжекционен Pancuronium bromide 2 mg/ml
Инжекция/Инжекционен Salbutamol sulfate 1 mg/ml
Няма 3216
Незабавни валежи Несъвместим
Инжекция/Инжекционен Pancuronium bromide
Инжекция/Инжекционен Thiopental sodium
2079
Незабавни валежи Несъвместим
Инжекция/Инжекционен Pancuronium bromide 2 mg/ml
Инжекция/Инжекционен Thiopental sodium 25 mg/ml
Sodium chloride 0,9% 3767
Незабавни валежи Несъвместим
Инжекция/Инжекционен Pancuronium bromide 2 mg/ml
Инжекция/Инжекционен Thiopental sodium 25 mg/ml
Вода за инжекции 319
съвместим
Инжекция/Инжекционен Pancuronium bromide 0.008 mg/ml
Инжекция/Инжекционен Verapamil hydrochloride 0.08 mg/ml
Glucose 5% 1057
съвместим
Инжекция/Инжекционен Pancuronium bromide
Sodium chloride 0,9% 755
Неопределена несъвместимост Несъвместим
Инжекция/Инжекционен Pancuronium bromide
Инжекция/Инжекционен Thiopental sodium
755
съвместим
Инжекция/Инжекционен Pancuronium bromide 0.05 mg/ml
Инжекция/Инжекционен Vancomycin hydrochloride 5 mg/ml
Glucose 5% 402
съвместим
Инжекция/Инжекционен Pancuronium bromide 0.008 mg/ml
Инжекция/Инжекционен Verapamil hydrochloride 0.08 mg/ml
Sodium chloride 0,9% 1057

  Mentions Légales