Pēdējā atjaunošana :
18/03/2026
Kurarīnmimētiķis   Pancuronium bromide  
Injekcija
Šķīduma stabilitāte Maisījuma stabilitāte Stabilitāti ietekmējoši faktori Saderība Levadīšanas veids Literatūras saraksts pdf
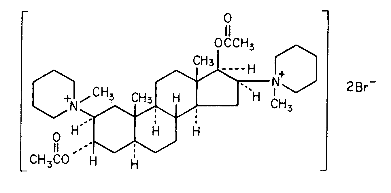
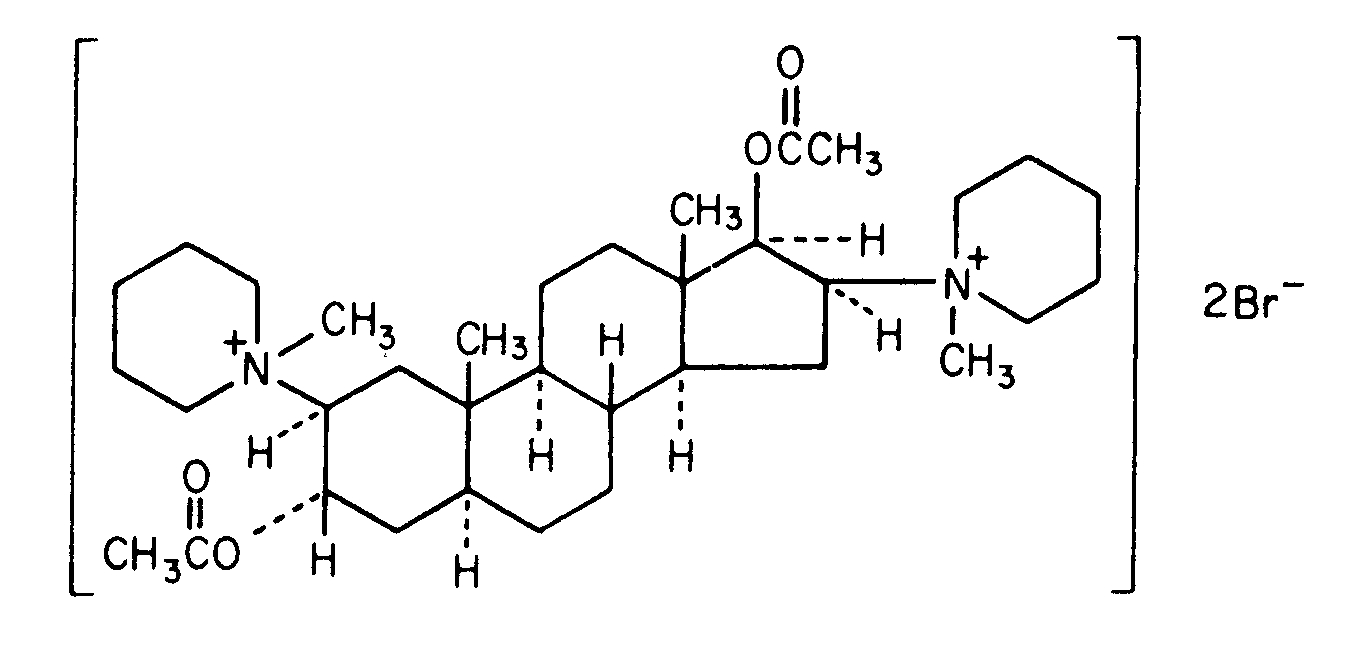
   Ķīmiskā uzbūve   

Oriģinālais nosaukums   Oriģinālais nosaukums     

Tirdzniecības nosaukumi ir apzīmējoši un palīgvielas var atšķirties dažādām valstīm un laboratorijām

Pancuronium bromide injection Amerikas Savienotās Valstis, Kanāda
Saderība   Injekcija   Saderība : Pancuronium bromide              
Šī tabula parāda zāļu saderību vai nesaderību, pēc iespējas arī nesaderības tipu (precipitācija, krāsas maiņa, emulsijas sadalīšanās utt). Parādītas šeit saderības ir pārsvarā tikai fizikālās, pēc iespējas tiek parādīta ķīmiskā stabilitāte katrai molekulai. Šo maisījumu analīze tikai veikta, lai izprastu iespējamību ievadīt zāles Y-savienojuma vietā sistēmā pacientam. Šie dati nevar tikt izmantoti, lai pagatavot zāļu maisījumus vēlākai lietošanai maisos vai šļircēs. Šī informācija ir pieejama sadaļā "Maisījuma stabilitāte".
Savienojums Šķīdinātājs Literatūras saraksts
Savietojams
Injekcija Pancuronium bromide 0.05 mg/ml
Injekcija Aminophylline 1 mg/ml
5% glikoze 402
Savietojams
Injekcija Pancuronium bromide 0.05 mg/ml
Injekcija Cefazolin sodium 10 mg/ml
5% glikoze 402
Savietojams
Injekcija Pancuronium bromide 0.05 mg/ml
Injekcija Cefuroxime sodium 7.5 mg/ml
5% glikoze 402
Savietojams
Injekcija Pancuronium bromide 0.05 mg/ml
Injekcija Cimetidine hydrochloride 6 mg/ml
5% glikoze 402
Savietojams
Injekcija Pancuronium bromide 0.2 mg/ml
Injekcija Ciprofloxacin lactate 2 mg/ml
5% glikoze 285
Savietojams
Injekcija Pancuronium bromide 0.05 mg/ml
Injekcija Co-trimoxazole 3.2/0.64 mg/ml
5% glikoze 402
Savietojams
Injekcija Pancuronium bromide
Injekcija Dexmedetomidine
5042
Tūlītēji nokrišņi Nesavienojams
Injekcija Pancuronium bromide 0.05 mg/ml
Injekcija Diazepam 5 mg/ml
5% glikoze 402
Savietojams
Injekcija Pancuronium bromide 0.05 mg/ml
Injekcija Dobutamine hydrochloride 1 mg/ml
5% glikoze 402
Savietojams
Injekcija Pancuronium bromide 0.05 mg/ml
Injekcija Dopamine hydrochloride 1.6 mg/ml
5% glikoze 402
Savietojams
Injekcija Pancuronium bromide 0.05 mg/ml
Injekcija Epinephrine hydrochloride 4 µg/ml
5% glikoze 402
Savietojams
Injekcija Pancuronium bromide 0.05 mg/ml
Injekcija Esmolol hydrochloride 10 mg/ml
5% glikoze 402
Tūlītēja duļķainība Nesavienojams
Injekcija Pancuronium bromide
Injekcija Etomidate
5011
Savietojams
Injekcija Pancuronium bromide 2 mg/ml
Injekcija Etomidate 2 mg/ml
Nekāds 319
Savietojams
Injekcija Pancuronium bromide 0.1 mg/ml
Injekcija Fenoldopam mesylate 80 µg/ml
Nātrija hlorīds 0.9% 1803
Savietojams
Injekcija Pancuronium bromide 0.05 mg/ml
Injekcija Fentanyl citrate 10 µg/ml
5% glikoze 402
Savietojams
Injekcija Pancuronium bromide 0,5 mg/ml
Injekcija Fluconazole 2 mg/ml
Nātrija hlorīds 0.9% 255
Savietojams
Injekcija Pancuronium bromide 0.05 mg/ml
Injekcija Gentamicin sulfate 2 mg/ml
5% glikoze 402
Savietojams
Injekcija Pancuronium bromide 0.05 mg/ml
Injekcija Heparin sodium 40 UI/ml
5% glikoze 402
Savietojams
Injekcija Pancuronium bromide 0.05 mg/ml
Injekcija Hydrocortisone sodium succinate 1 mg/ml
5% glikoze 402
Savietojams
Injekcija Pancuronium bromide
5% glikoze 755
Savietojams
Injekcija Pancuronium bromide
Ringera laktāta šķīdums 755
Savietojams
Injekcija Pancuronium bromide 0.1 mg/ml
Injekcija Hetastarch 60 mg/ml
īpašu šķīdinātāju 1721
Savietojams
Injekcija Pancuronium bromide 0.05 mg/ml
Injekcija Isoprenaline hydrochloride 0.004 mg/ml
5% glikoze 402
Savietojams
Injekcija Pancuronium bromide 2 mg/ml
Injekcija Ketamine hydrochloride 50 mg/ml
2109
Savietojams
Injekcija Pancuronium bromide 1 mg/ml
Injekcija Levofloxacine 5 mg/ml
5% glikoze 1072
Savietojams
Injekcija Pancuronium bromide 0.05 mg/ml
Injekcija Lorazepam 0.5 mg/ml
5% glikoze 402
Savietojams
Injekcija Pancuronium bromide 0.05 mg/ml
Injekcija Midazolam hydrochloride 0.05 mg/ml
5% glikoze 402
Savietojams
Injekcija Pancuronium bromide 2 mg/ml
Injekcija Milrinone lactate 0.8 mg/ml
5% glikoze 813
Savietojams
Injekcija Pancuronium bromide 0.05 mg/ml
Injekcija Morphine sulfate 1 mg/ml
5% glikoze 402
Savietojams
Injekcija Pancuronium bromide 2 mg/ml
Injekcija Naloxone hydrochloride 0.4 mg/ml
Nekāds 3408
Savietojams
Injekcija Pancuronium bromide 0.05 mg/ml
Injekcija Nitroglycerin 0.4 mg/ml
5% glikoze 402
Savietojams
Injekcija Pancuronium bromide 0.05 mg/ml
Injekcija Nitroprusside sodium 0.2 mg/ml
5% glikoze 402
Savietojams
Injekcija Pancuronium bromide 0.1 mg/ml
Injekcija Oritavancin 0.8 >>2 mg/ml
5% glikoze 3152
Tūlītēji nokrišņi Nesavienojams
Injekcija Pancuronium bromide
Injekcija Pantoprazole sodium
2090
Savietojams
Injekcija Pancuronium bromide 1 mg/ml
Injekcija Propofol 10 mg/ml
Nekāds 300
Emulsijas nestabilitāte pēc 4 stundām Nesavienojams
Injekcija Pancuronium bromide 1 mg/ml
Injekcija Propofol
660
Savietojams
Injekcija Pancuronium bromide 2 mg/ml
Injekcija Propofol 2 mg/ml
Nekāds 319
Savietojams
Injekcija Pancuronium bromide 0.05 mg/ml
Injekcija Ranitidine hydrochloride 0.5 mg/ml
5% glikoze 402
Tūlītēji nokrišņi Nesavienojams
Injekcija Pancuronium bromide 2 mg/ml
Injekcija Salbutamol sulfate 1 mg/ml
Nekāds 3216
Tūlītēji nokrišņi Nesavienojams
Injekcija Pancuronium bromide
Injekcija Thiopental sodium
2079
Tūlītēji nokrišņi Nesavienojams
Injekcija Pancuronium bromide 2 mg/ml
Injekcija Thiopental sodium 25 mg/ml
Nātrija hlorīds 0.9% 3767
Tūlītēji nokrišņi Nesavienojams
Injekcija Pancuronium bromide 2 mg/ml
Injekcija Thiopental sodium 25 mg/ml
Ūdens injekcijām 319
Savietojams
Injekcija Pancuronium bromide 0.008 mg/ml
Injekcija Verapamil hydrochloride 0.08 mg/ml
5% glikoze 1057
Savietojams
Injekcija Pancuronium bromide
Nātrija hlorīds 0.9% 755
Neprecizēta nesaderība Nesavienojams
Injekcija Pancuronium bromide
Injekcija Thiopental sodium
755
Savietojams
Injekcija Pancuronium bromide 0.05 mg/ml
Injekcija Vancomycin hydrochloride 5 mg/ml
5% glikoze 402
Savietojams
Injekcija Pancuronium bromide 0.008 mg/ml
Injekcija Verapamil hydrochloride 0.08 mg/ml
Nātrija hlorīds 0.9% 1057

  Mentions Légales