最新更新 :
18/03/2026
クラーレ様薬   Pancuronium bromide  
注射薬
溶媒内の安定性 混合時の安定性 安定性に影響する因子 互換性 投与経路 引用文献 PDF
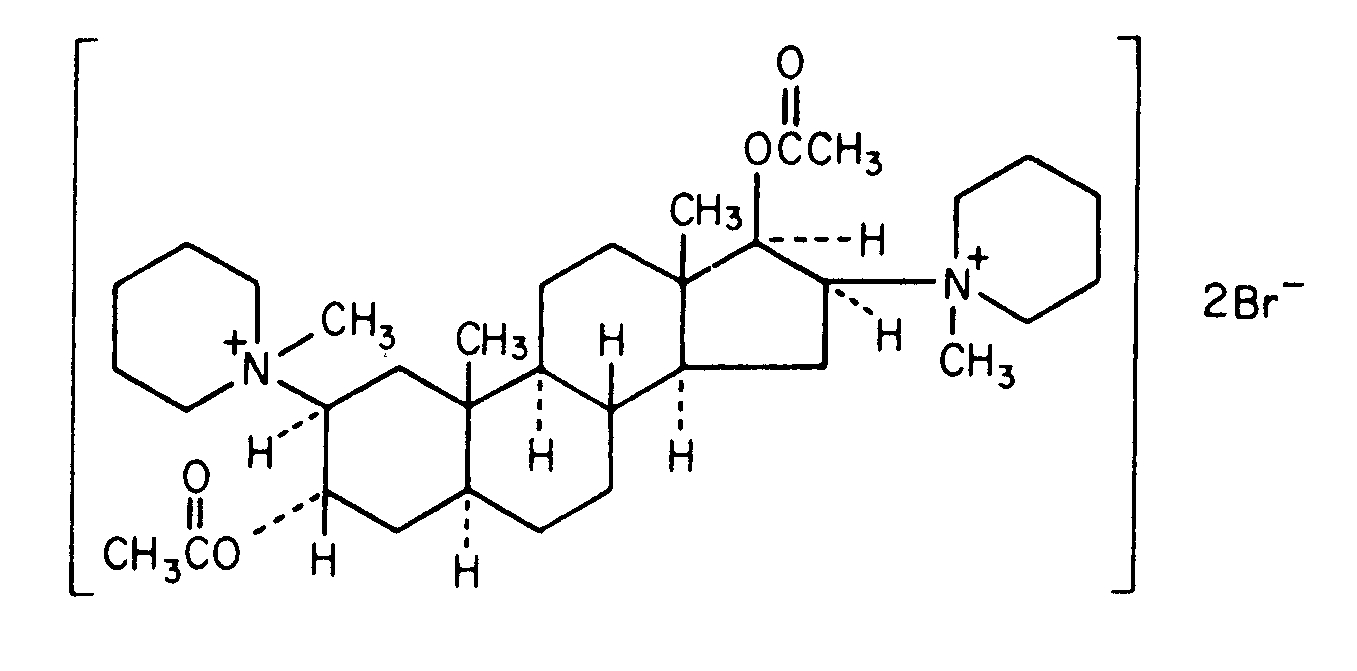
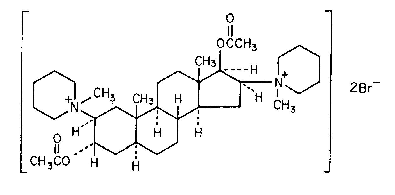
   化学構造  

商品名   商品名     

商品名、賦形剤は国、製薬会社ごとに異なることがあります

Pancuronium bromide injection アメリカ, カナダ
互換性   注射薬   互換性 : Pancuronium bromide              
This screen indicates the compatibilities or incompatibilities with, in this case, the type of incompatibility (precipitation, color change, modification of an emulsion, etc.). The compatibilities shown here are mostly physical only, with the chemical stability of each molecule rarely being assessed. The evaluation of these mixtures was studied to consider the possibility of Y-site administration to the patient. These data cannot be used for making mixtures in advance in bags or syringes. This type of information is available in the screen "Stability in mixture ».
化合物 溶媒 引用文献
対応
注射薬 Pancuronium bromide 0.05 mg/ml
注射薬 Aminophylline 1 mg/ml
グルコース5% 402
対応
注射薬 Pancuronium bromide 0.05 mg/ml
注射薬 Cefazolin sodium 10 mg/ml
グルコース5% 402
対応
注射薬 Pancuronium bromide 0.05 mg/ml
注射薬 Cefuroxime sodium 7.5 mg/ml
グルコース5% 402
対応
注射薬 Pancuronium bromide 0.05 mg/ml
注射薬 Cimetidine hydrochloride 6 mg/ml
グルコース5% 402
対応
注射薬 Pancuronium bromide 0.2 mg/ml
注射薬 Ciprofloxacin lactate 2 mg/ml
グルコース5% 285
対応
注射薬 Pancuronium bromide 0.05 mg/ml
注射薬 Co-trimoxazole 3.2/0.64 mg/ml
グルコース5% 402
対応
注射薬 Pancuronium bromide
注射薬 Dexmedetomidine
5042
即時降水 非互換
注射薬 Pancuronium bromide 0.05 mg/ml
注射薬 Diazepam 5 mg/ml
グルコース5% 402
対応
注射薬 Pancuronium bromide 0.05 mg/ml
注射薬 Dobutamine hydrochloride 1 mg/ml
グルコース5% 402
対応
注射薬 Pancuronium bromide 0.05 mg/ml
注射薬 Dopamine hydrochloride 1.6 mg/ml
グルコース5% 402
対応
注射薬 Pancuronium bromide 0.05 mg/ml
注射薬 Epinephrine hydrochloride 4 µg/ml
グルコース5% 402
対応
注射薬 Pancuronium bromide 0.05 mg/ml
注射薬 Esmolol hydrochloride 10 mg/ml
グルコース5% 402
すぐに濁り 非互換
注射薬 Pancuronium bromide
注射薬 Etomidate
5011
対応
注射薬 Pancuronium bromide 2 mg/ml
注射薬 Etomidate 2 mg/ml
なし 319
対応
注射薬 Pancuronium bromide 0.1 mg/ml
注射薬 Fenoldopam mesylate 80 µg/ml
NaCl 0,9% 1803
対応
注射薬 Pancuronium bromide 0.05 mg/ml
注射薬 Fentanyl citrate 10 µg/ml
グルコース5% 402
対応
注射薬 Pancuronium bromide 0,5 mg/ml
注射薬 Fluconazole 2 mg/ml
NaCl 0,9% 255
対応
注射薬 Pancuronium bromide 0.05 mg/ml
注射薬 Gentamicin sulfate 2 mg/ml
グルコース5% 402
対応
注射薬 Pancuronium bromide 0.05 mg/ml
注射薬 Heparin sodium 40 UI/ml
グルコース5% 402
対応
注射薬 Pancuronium bromide 0.05 mg/ml
注射薬 Hydrocortisone sodium succinate 1 mg/ml
グルコース5% 402
対応
注射薬 Pancuronium bromide
グルコース5% 755
対応
注射薬 Pancuronium bromide
乳酸リンゲル 755
対応
注射薬 Pancuronium bromide 0.1 mg/ml
注射薬 Hetastarch 60 mg/ml
特定の溶媒 1721
対応
注射薬 Pancuronium bromide 0.05 mg/ml
注射薬 Isoprenaline hydrochloride 0.004 mg/ml
グルコース5% 402
対応
注射薬 Pancuronium bromide 2 mg/ml
注射薬 Ketamine hydrochloride 50 mg/ml
2109
対応
注射薬 Pancuronium bromide 1 mg/ml
注射薬 Levofloxacine 5 mg/ml
グルコース5% 1072
対応
注射薬 Pancuronium bromide 0.05 mg/ml
注射薬 Lorazepam 0.5 mg/ml
グルコース5% 402
対応
注射薬 Pancuronium bromide 0.05 mg/ml
注射薬 Midazolam hydrochloride 0.05 mg/ml
グルコース5% 402
対応
注射薬 Pancuronium bromide 2 mg/ml
注射薬 Milrinone lactate 0.8 mg/ml
グルコース5% 813
対応
注射薬 Pancuronium bromide 0.05 mg/ml
注射薬 Morphine sulfate 1 mg/ml
グルコース5% 402
対応
注射薬 Pancuronium bromide 2 mg/ml
注射薬 Naloxone hydrochloride 0.4 mg/ml
なし 3408
対応
注射薬 Pancuronium bromide 0.05 mg/ml
注射薬 Nitroglycerin 0.4 mg/ml
グルコース5% 402
対応
注射薬 Pancuronium bromide 0.05 mg/ml
注射薬 Nitroprusside sodium 0.2 mg/ml
グルコース5% 402
対応
注射薬 Pancuronium bromide 0.1 mg/ml
注射薬 Oritavancin 0.8 >>2 mg/ml
グルコース5% 3152
即時降水 非互換
注射薬 Pancuronium bromide
注射薬 Pantoprazole sodium
2090
対応
注射薬 Pancuronium bromide 1 mg/ml
注射薬 Propofol 10 mg/ml
なし 300
4時間後のエマルジョンの不安定性 非互換
注射薬 Pancuronium bromide 1 mg/ml
注射薬 Propofol
660
対応
注射薬 Pancuronium bromide 2 mg/ml
注射薬 Propofol 2 mg/ml
なし 319
対応
注射薬 Pancuronium bromide 0.05 mg/ml
注射薬 Ranitidine hydrochloride 0.5 mg/ml
グルコース5% 402
即時降水 非互換
注射薬 Pancuronium bromide 2 mg/ml
注射薬 Salbutamol sulfate 1 mg/ml
なし 3216
即時降水 非互換
注射薬 Pancuronium bromide
注射薬 Thiopental sodium
2079
即時降水 非互換
注射薬 Pancuronium bromide 2 mg/ml
注射薬 Thiopental sodium 25 mg/ml
NaCl 0,9% 3767
即時降水 非互換
注射薬 Pancuronium bromide 2 mg/ml
注射薬 Thiopental sodium 25 mg/ml
注射用水 319
対応
注射薬 Pancuronium bromide 0.008 mg/ml
注射薬 Verapamil hydrochloride 0.08 mg/ml
グルコース5% 1057
対応
注射薬 Pancuronium bromide
NaCl 0,9% 755
不特定の非互換性 非互換
注射薬 Pancuronium bromide
注射薬 Thiopental sodium
755
対応
注射薬 Pancuronium bromide 0.05 mg/ml
注射薬 Vancomycin hydrochloride 5 mg/ml
グルコース5% 402
対応
注射薬 Pancuronium bromide 0.008 mg/ml
注射薬 Verapamil hydrochloride 0.08 mg/ml
NaCl 0,9% 1057

  Mentions Légales