Letztes “update” :
27/11/2025
Durch Curarin narkotisierend   Pancuronium bromide  
Injektion
Stabilität der Lösung Gemengestabilität Stabilitätbeeinflussende Faktoren Kompatibilitäten Applikationsart Literaturverzeichnis pdf
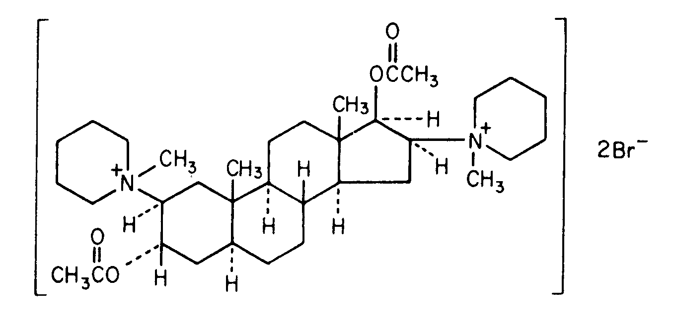
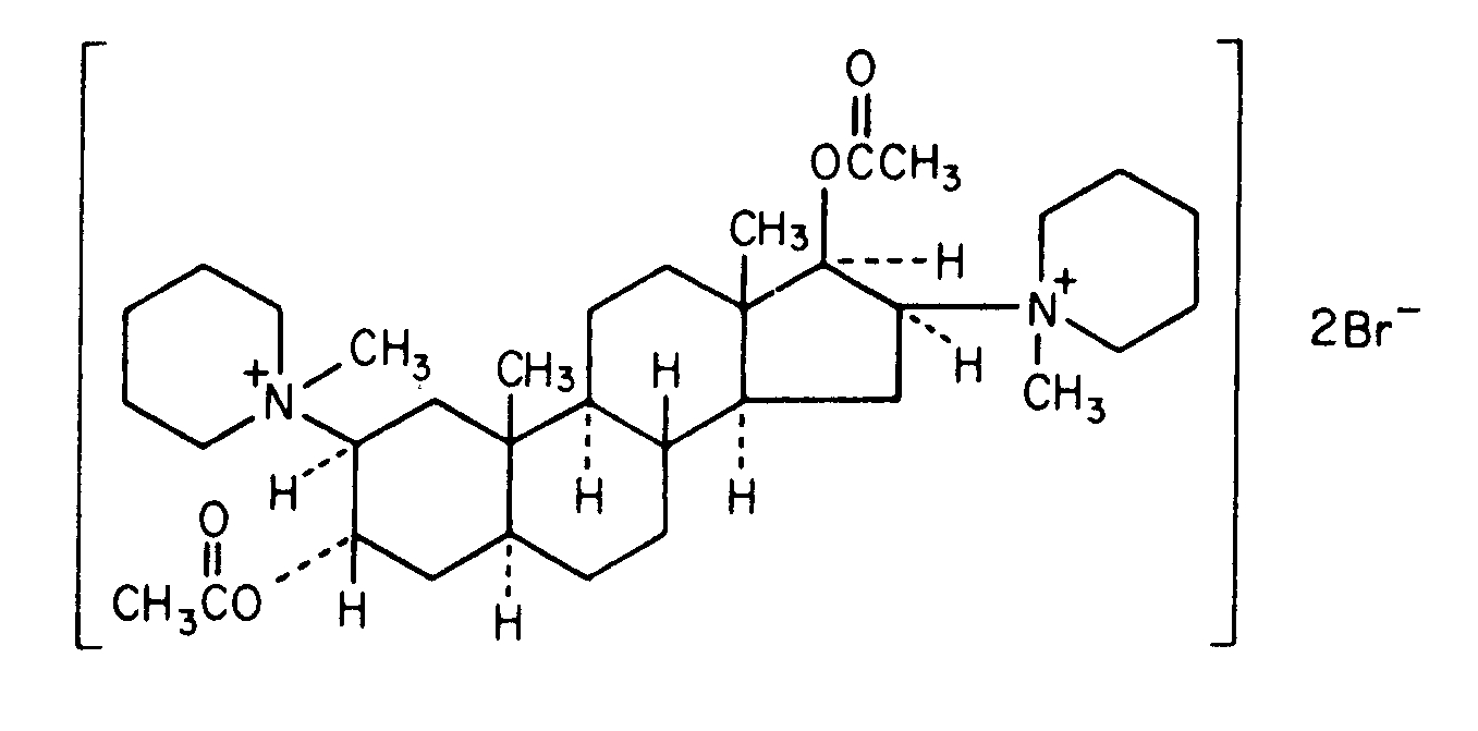
   Chemische Struktur  

Handelsmarke   Handelsmarke     

Handelsnamen sind als beispielhaft anzusehen. Sonstige Bestandteile können je nach Hersteller oder Land verschieden sein

Pancuronium bromide injection Kanada, Vereinigte Staaten von Amerika
Applikationsart   Applikationsart :Pancuronium bromide     
Verabreichung
Intravenös
Intravenöse Perfusion
Intramuskulär

  Mentions Légales