Utolsó frissítés :
18/03/2026
Izombénító   Pancuronium bromide  
Injekció
Az oldatok stabilitása A keverékek stabilitása Stabilitást befolyásoló tényezők Kompatibilitás Az alkalmazás módja Irodalom pdf
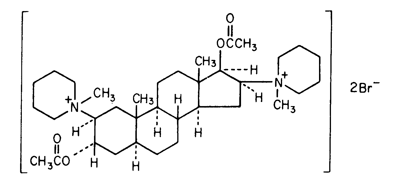
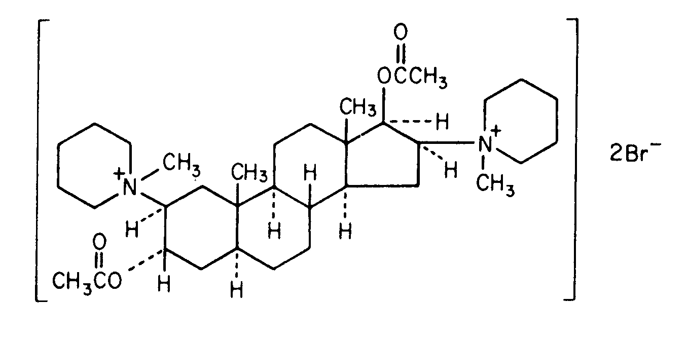
   Kémiai szerkezet   

Kereskedelmi név   Kereskedelmi név     

A kereskedelmi név meghatározó jelentőségű: a készítmények összetétele országonként, előállítóként eltérő lehet

Pancuronium bromide injection Amerikai Egyesült Államok, Kanada
Kompatibilitás   Injekció   Kompatibilitás : Pancuronium bromide              
Ovdje su prikazane kompatibilnosti ili nekompatibilnosti s tipom nekompatibilnosti (taloženje, promjena boje, modifikacija emulzije itd.) u ovom slučaju. Kompatibilnosti prikazane ovdje najčešće su fizikalne dok se kemijska stabilnost molekule rijetko procjenjuje. Procjena ovih mikstura je proučavana kako bi se razmotrila mogućnost primjene lijeka putem Y-mjesta. Ovi se podaci ne smiju koristiti za pripremu mikstura unaprijed u vrećicama ili štrcaljkama. Ova vrsta informacije se može pronaći u odjeljku « stabilnost u miksturama ».
Vegyület Oldószer Irodalom
Összeegyeztethető
Injekció Pancuronium bromide 0.05 mg/ml
Injekció Aminophylline 1 mg/ml
5% glükóz 402
Összeegyeztethető
Injekció Pancuronium bromide 0.05 mg/ml
Injekció Cefazolin sodium 10 mg/ml
5% glükóz 402
Összeegyeztethető
Injekció Pancuronium bromide 0.05 mg/ml
Injekció Cefuroxime sodium 7.5 mg/ml
5% glükóz 402
Összeegyeztethető
Injekció Pancuronium bromide 0.05 mg/ml
Injekció Cimetidine hydrochloride 6 mg/ml
5% glükóz 402
Összeegyeztethető
Injekció Pancuronium bromide 0.2 mg/ml
Injekció Ciprofloxacin lactate 2 mg/ml
5% glükóz 285
Összeegyeztethető
Injekció Pancuronium bromide 0.05 mg/ml
Injekció Co-trimoxazole 3.2/0.64 mg/ml
5% glükóz 402
Összeegyeztethető
Injekció Pancuronium bromide
Injekció Dexmedetomidine
5042
Azonnali csapadék Összeegyeztethetetlen
Injekció Pancuronium bromide 0.05 mg/ml
Injekció Diazepam 5 mg/ml
5% glükóz 402
Összeegyeztethető
Injekció Pancuronium bromide 0.05 mg/ml
Injekció Dobutamine hydrochloride 1 mg/ml
5% glükóz 402
Összeegyeztethető
Injekció Pancuronium bromide 0.05 mg/ml
Injekció Dopamine hydrochloride 1.6 mg/ml
5% glükóz 402
Összeegyeztethető
Injekció Pancuronium bromide 0.05 mg/ml
Injekció Epinephrine hydrochloride 4 µg/ml
5% glükóz 402
Összeegyeztethető
Injekció Pancuronium bromide 0.05 mg/ml
Injekció Esmolol hydrochloride 10 mg/ml
5% glükóz 402
Azonnali zavarosság Összeegyeztethetetlen
Injekció Pancuronium bromide
Injekció Etomidate
5011
Összeegyeztethető
Injekció Pancuronium bromide 2 mg/ml
Injekció Etomidate 2 mg/ml
Egy sem 319
Összeegyeztethető
Injekció Pancuronium bromide 0.1 mg/ml
Injekció Fenoldopam mesylate 80 µg/ml
0,9% nátrium-klorid 1803
Összeegyeztethető
Injekció Pancuronium bromide 0.05 mg/ml
Injekció Fentanyl citrate 10 µg/ml
5% glükóz 402
Összeegyeztethető
Injekció Pancuronium bromide 0,5 mg/ml
Injekció Fluconazole 2 mg/ml
0,9% nátrium-klorid 255
Összeegyeztethető
Injekció Pancuronium bromide 0.05 mg/ml
Injekció Gentamicin sulfate 2 mg/ml
5% glükóz 402
Összeegyeztethető
Injekció Pancuronium bromide 0.05 mg/ml
Injekció Heparin sodium 40 UI/ml
5% glükóz 402
Összeegyeztethető
Injekció Pancuronium bromide 0.05 mg/ml
Injekció Hydrocortisone sodium succinate 1 mg/ml
5% glükóz 402
Összeegyeztethető
Injekció Pancuronium bromide
5% glükóz 755
Összeegyeztethető
Injekció Pancuronium bromide
Ringer-laktát oldat 755
Összeegyeztethető
Injekció Pancuronium bromide 0.1 mg/ml
Injekció Hetastarch 60 mg/ml
egyedi oldószer 1721
Összeegyeztethető
Injekció Pancuronium bromide 0.05 mg/ml
Injekció Isoprenaline hydrochloride 0.004 mg/ml
5% glükóz 402
Összeegyeztethető
Injekció Pancuronium bromide 2 mg/ml
Injekció Ketamine hydrochloride 50 mg/ml
2109
Összeegyeztethető
Injekció Pancuronium bromide 1 mg/ml
Injekció Levofloxacine 5 mg/ml
5% glükóz 1072
Összeegyeztethető
Injekció Pancuronium bromide 0.05 mg/ml
Injekció Lorazepam 0.5 mg/ml
5% glükóz 402
Összeegyeztethető
Injekció Pancuronium bromide 0.05 mg/ml
Injekció Midazolam hydrochloride 0.05 mg/ml
5% glükóz 402
Összeegyeztethető
Injekció Pancuronium bromide 2 mg/ml
Injekció Milrinone lactate 0.8 mg/ml
5% glükóz 813
Összeegyeztethető
Injekció Pancuronium bromide 0.05 mg/ml
Injekció Morphine sulfate 1 mg/ml
5% glükóz 402
Összeegyeztethető
Injekció Pancuronium bromide 2 mg/ml
Injekció Naloxone hydrochloride 0.4 mg/ml
Egy sem 3408
Összeegyeztethető
Injekció Pancuronium bromide 0.05 mg/ml
Injekció Nitroglycerin 0.4 mg/ml
5% glükóz 402
Összeegyeztethető
Injekció Pancuronium bromide 0.05 mg/ml
Injekció Nitroprusside sodium 0.2 mg/ml
5% glükóz 402
Összeegyeztethető
Injekció Pancuronium bromide 0.1 mg/ml
Injekció Oritavancin 0.8 >>2 mg/ml
5% glükóz 3152
Azonnali csapadék Összeegyeztethetetlen
Injekció Pancuronium bromide
Injekció Pantoprazole sodium
2090
Összeegyeztethető
Injekció Pancuronium bromide 1 mg/ml
Injekció Propofol 10 mg/ml
Egy sem 300
Az emulzió instabilitása 4 óra múlva Összeegyeztethetetlen
Injekció Pancuronium bromide 1 mg/ml
Injekció Propofol
660
Összeegyeztethető
Injekció Pancuronium bromide 2 mg/ml
Injekció Propofol 2 mg/ml
Egy sem 319
Összeegyeztethető
Injekció Pancuronium bromide 0.05 mg/ml
Injekció Ranitidine hydrochloride 0.5 mg/ml
5% glükóz 402
Azonnali csapadék Összeegyeztethetetlen
Injekció Pancuronium bromide 2 mg/ml
Injekció Salbutamol sulfate 1 mg/ml
Egy sem 3216
Azonnali csapadék Összeegyeztethetetlen
Injekció Pancuronium bromide
Injekció Thiopental sodium
2079
Azonnali csapadék Összeegyeztethetetlen
Injekció Pancuronium bromide 2 mg/ml
Injekció Thiopental sodium 25 mg/ml
0,9% nátrium-klorid 3767
Azonnali csapadék Összeegyeztethetetlen
Injekció Pancuronium bromide 2 mg/ml
Injekció Thiopental sodium 25 mg/ml
Injekcióhoz való víz 319
Összeegyeztethető
Injekció Pancuronium bromide 0.008 mg/ml
Injekció Verapamil hydrochloride 0.08 mg/ml
5% glükóz 1057
Összeegyeztethető
Injekció Pancuronium bromide
0,9% nátrium-klorid 755
Meghatározatlan összeférhetetlenség Összeegyeztethetetlen
Injekció Pancuronium bromide
Injekció Thiopental sodium
755
Összeegyeztethető
Injekció Pancuronium bromide 0.05 mg/ml
Injekció Vancomycin hydrochloride 5 mg/ml
5% glükóz 402
Összeegyeztethető
Injekció Pancuronium bromide 0.008 mg/ml
Injekció Verapamil hydrochloride 0.08 mg/ml
0,9% nátrium-klorid 1057

  Mentions Légales