Dernière mise à jour :
27/11/2025
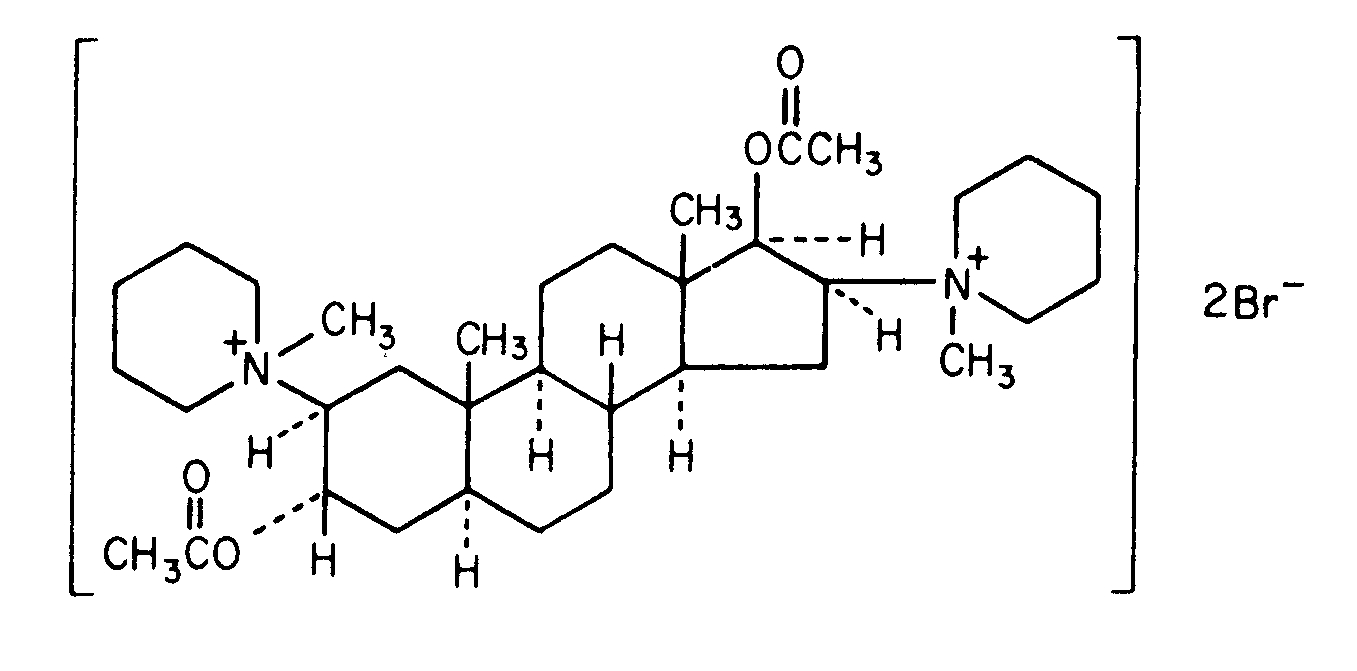
Curarisant   Pancuronium bromide  
injectable
Stabilité des solutions Stabilité en mélange Facteur influençant la stabilité Compatibilités Voie d’administration Bibliographie pdf
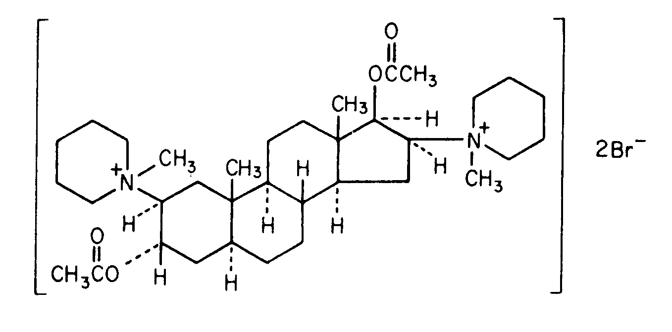
   Structure chimique  

Noms commerciaux   Noms commerciaux     

Les noms commerciaux sont donnés à titre indicatif et la composition en excipients peut être différente selon les pays et selon les laboratoires

Pancuronium bromide injection Canada, Etats Unis d’Amérique
Compatibilités   injectable   Compatibilités : Pancuronium bromide              
Cet écran indique les compatibilités ou incompatibilités avec, dans ce cas, le type d'incompatibilité (précipitation, changement de couleur, modification d'une émulsion, etc.). Les compatibilités présentées ici sont pour la plupart uniquement physiques, la stabilité chimique de chaque molécule étant rarement évaluée. L'évaluation de ces mélanges a été étudiée pour envisager la possibilité d'une administration en site Y au patient. Ces données ne peuvent pas être utilisées pour préparer des mélanges à l'avance dans des poches de perfusion ou des seringues. Ce type d'informations est disponible dans l'écran « Stabilité en mélange ».
Molécule Solvant Bibliographie
Compatible
injectable Pancuronium bromide 0.05 mg/ml
injectable Aminophylline 1 mg/ml
Glucose 5% 402
Compatible
injectable Pancuronium bromide 0.05 mg/ml
injectable Cefazolin sodium 10 mg/ml
Glucose 5% 402
Compatible
injectable Pancuronium bromide 0.05 mg/ml
injectable Cefuroxime sodium 7.5 mg/ml
Glucose 5% 402
Compatible
injectable Pancuronium bromide 0.05 mg/ml
injectable Cimetidine hydrochloride 6 mg/ml
Glucose 5% 402
Compatible
injectable Pancuronium bromide 0.2 mg/ml
injectable Ciprofloxacin lactate 2 mg/ml
Glucose 5% 285
Compatible
injectable Pancuronium bromide 0.05 mg/ml
injectable Co-trimoxazole 3.2/0.64 mg/ml
Glucose 5% 402
Compatible
injectable Pancuronium bromide
injectable Dexmedetomidine
5042
Précipitation immédiate Incompatible
injectable Pancuronium bromide 0.05 mg/ml
injectable Diazepam 5 mg/ml
Glucose 5% 402
Compatible
injectable Pancuronium bromide 0.05 mg/ml
injectable Dobutamine hydrochloride 1 mg/ml
Glucose 5% 402
Compatible
injectable Pancuronium bromide 0.05 mg/ml
injectable Dopamine hydrochloride 1.6 mg/ml
Glucose 5% 402
Compatible
injectable Pancuronium bromide 0.05 mg/ml
injectable Epinephrine hydrochloride 4 µg/ml
Glucose 5% 402
Compatible
injectable Pancuronium bromide 0.05 mg/ml
injectable Esmolol hydrochloride 10 mg/ml
Glucose 5% 402
Turbidité immédiate Incompatible
injectable Pancuronium bromide
injectable Etomidate
5011
Compatible
injectable Pancuronium bromide 2 mg/ml
injectable Etomidate 2 mg/ml
Aucun 319
Compatible
injectable Pancuronium bromide 0.1 mg/ml
injectable Fenoldopam mesylate 80 µg/ml
Chlorure de sodium 0,9% 1803
Compatible
injectable Pancuronium bromide 0.05 mg/ml
injectable Fentanyl citrate 10 µg/ml
Glucose 5% 402
Compatible
injectable Pancuronium bromide 0,5 mg/ml
injectable Fluconazole 2 mg/ml
Chlorure de sodium 0,9% 255
Compatible
injectable Pancuronium bromide 0.05 mg/ml
injectable Gentamicin sulfate 2 mg/ml
Glucose 5% 402
Compatible
injectable Pancuronium bromide 0.05 mg/ml
injectable Heparin sodium 40 UI/ml
Glucose 5% 402
Compatible
injectable Pancuronium bromide 0.1 mg/ml
injectable Hetastarch 60 mg/ml
Solvant spécifique 1721
Compatible
injectable Pancuronium bromide 1 mg/ml
injectable Levofloxacine 5 mg/ml
Glucose 5% 1072
Compatible
injectable Pancuronium bromide
Glucose 5% 755
Compatible
injectable Pancuronium bromide 2 mg/ml
injectable Ketamine hydrochloride 50 mg/ml
2109
Compatible
injectable Pancuronium bromide
Ringer lactate 755
Compatible
injectable Pancuronium bromide 0.05 mg/ml
injectable Hydrocortisone sodium succinate 1 mg/ml
Glucose 5% 402
Compatible
injectable Pancuronium bromide 0.05 mg/ml
injectable Isoprenaline hydrochloride 0.004 mg/ml
Glucose 5% 402
Compatible
injectable Pancuronium bromide 0.05 mg/ml
injectable Lorazepam 0.5 mg/ml
Glucose 5% 402
Compatible
injectable Pancuronium bromide 0.05 mg/ml
injectable Midazolam hydrochloride 0.05 mg/ml
Glucose 5% 402
Compatible
injectable Pancuronium bromide 2 mg/ml
injectable Milrinone lactate 0.8 mg/ml
Glucose 5% 813
Compatible
injectable Pancuronium bromide 0.05 mg/ml
injectable Morphine sulfate 1 mg/ml
Glucose 5% 402
Compatible
injectable Pancuronium bromide 2 mg/ml
injectable Naloxone hydrochloride 0.4 mg/ml
Aucun 3408
Compatible
injectable Pancuronium bromide 0.05 mg/ml
injectable Nitroglycerin 0.4 mg/ml
Glucose 5% 402
Compatible
injectable Pancuronium bromide 0.05 mg/ml
injectable Nitroprusside sodium 0.2 mg/ml
Glucose 5% 402
Compatible
injectable Pancuronium bromide 0.1 mg/ml
injectable Oritavancin 0.8 >>2 mg/ml
Glucose 5% 3152
Précipitation immédiate Incompatible
injectable Pancuronium bromide
injectable Pantoprazole sodium
2090
Compatible
injectable Pancuronium bromide 2 mg/ml
injectable Propofol 2 mg/ml
Aucun 319
Compatible
injectable Pancuronium bromide 1 mg/ml
injectable Propofol 10 mg/ml
Aucun 300
Instabilité de l'émulsion à 4 heures Incompatible
injectable Pancuronium bromide 1 mg/ml
injectable Propofol
660
Précipitation immédiate Incompatible
injectable Pancuronium bromide 2 mg/ml
injectable Salbutamol sulfate 1 mg/ml
Aucun 3216
Précipitation immédiate Incompatible
injectable Pancuronium bromide 2 mg/ml
injectable Thiopental sodium 25 mg/ml
Eau pour préparation injectable 319
Précipitation immédiate Incompatible
injectable Pancuronium bromide 2 mg/ml
injectable Thiopental sodium 25 mg/ml
Chlorure de sodium 0,9% 3767
Compatible
injectable Pancuronium bromide 0.008 mg/ml
injectable Verapamil hydrochloride 0.08 mg/ml
NaCl 0,9% ou glucose 5% 1057
Compatible
injectable Pancuronium bromide
Chlorure de sodium 0,9% 755
Compatible
injectable Pancuronium bromide 0.05 mg/ml
injectable Ranitidine hydrochloride 0.5 mg/ml
Glucose 5% 402
Précipitation immédiate Incompatible
injectable Pancuronium bromide
injectable Thiopental sodium
2079
Incompatibilité non précisée Incompatible
injectable Pancuronium bromide
injectable Thiopental sodium
755
Compatible
injectable Pancuronium bromide 0.05 mg/ml
injectable Vancomycin hydrochloride 5 mg/ml
Glucose 5% 402

  Mentions Légales