Son güncelleme :
18/03/2026
Kurarimimetik   Pancuronium bromide  
Enjeksiyon
Çözeltilerin stabilitesi Karışımlardaki stabilitesi Stabiliteyi etkileyen faktörler Uyumluluk Uygulama yöntemi Kaynaklar pdf
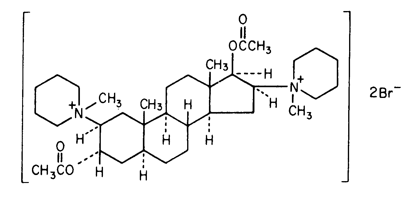
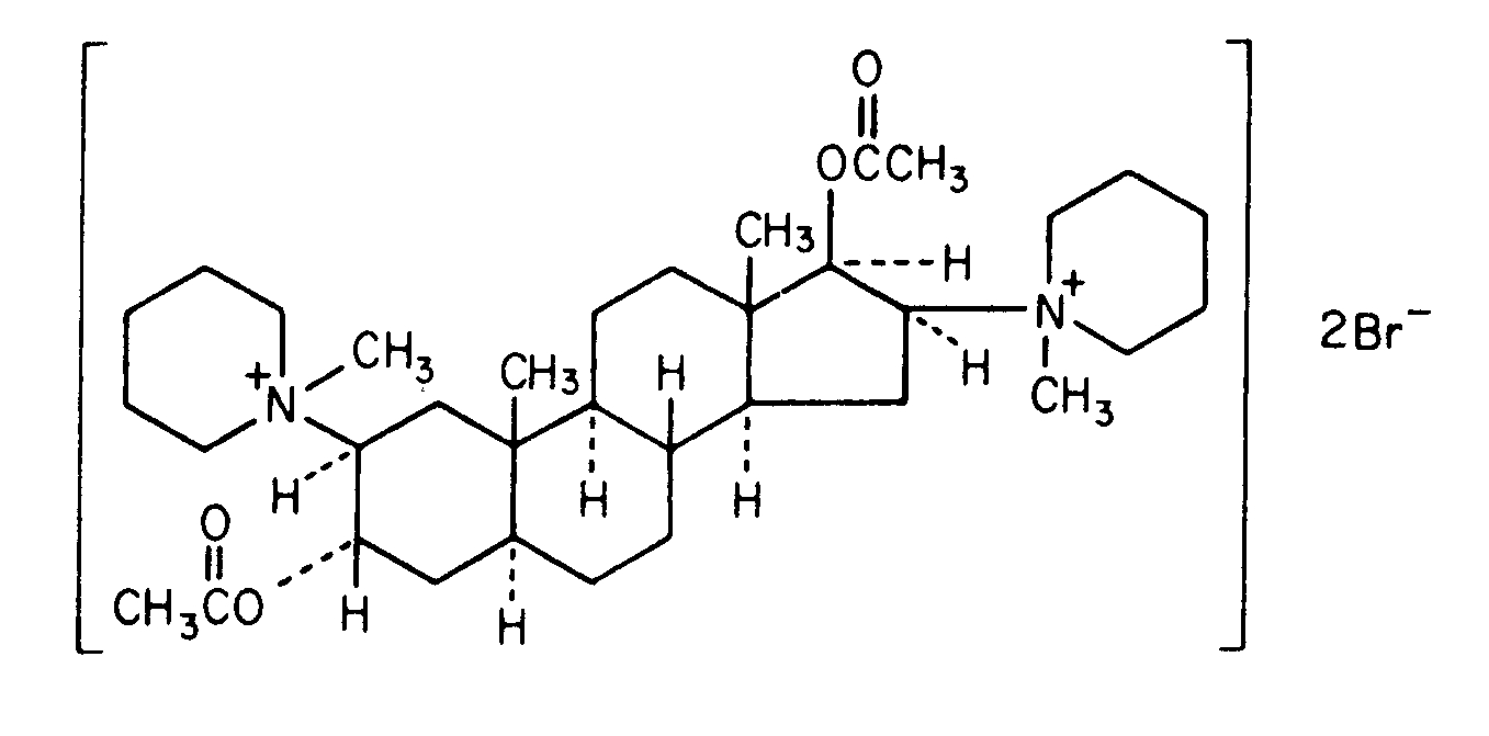
   Kimyasal yapı   

Ticari isim   Ticari isim     

Trade names are indicative and excipients composition can be different depending on the country and manufacturers

Pancuronium bromide injection Amerika Birleşik Devletleri, Kanada
Uyumluluk   Enjeksiyon    Uyumluluk : Pancuronium bromide              
Bu ekran, bu durumda uyumsuzluk tipiyle (çökelme, renk değişimi, bir emülsiyonun modifikasyonu, vb.) Uyumlulukları veya uyumsuzlukları gösterir. Burada gösterilen uyumluluklar çoğunlukla yalnızca fizikseldir ve her molekülün kimyasal stabilitesi nadiren değerlendirilir. Bu karışımların değerlendirilmesi, hastaya Y bölgesi uygulama olasılığını göz önünde bulundurmak için çalışıldı. Bu veriler önceden torba veya şırıngalarda karışım yapmak için kullanılamaz. Bu tür bilgiler "Karışımda stabilite" ekranında mevcuttur.
Bileşik Çözücü Kaynaklar
Uyumlu
Enjeksiyon Pancuronium bromide 0.05 mg/ml
Enjeksiyon Aminophylline 1 mg/ml
Glukoz %5 402
Uyumlu
Enjeksiyon Pancuronium bromide 0.05 mg/ml
Enjeksiyon Cefazolin sodium 10 mg/ml
Glukoz %5 402
Uyumlu
Enjeksiyon Pancuronium bromide 0.05 mg/ml
Enjeksiyon Cefuroxime sodium 7.5 mg/ml
Glukoz %5 402
Uyumlu
Enjeksiyon Pancuronium bromide 0.05 mg/ml
Enjeksiyon Cimetidine hydrochloride 6 mg/ml
Glukoz %5 402
Uyumlu
Enjeksiyon Pancuronium bromide 0.2 mg/ml
Enjeksiyon Ciprofloxacin lactate 2 mg/ml
Glukoz %5 285
Uyumlu
Enjeksiyon Pancuronium bromide 0.05 mg/ml
Enjeksiyon Co-trimoxazole 3.2/0.64 mg/ml
Glukoz %5 402
Uyumlu
Enjeksiyon Pancuronium bromide
Enjeksiyon Dexmedetomidine
5042
Acil yağış uyumsuz
Enjeksiyon Pancuronium bromide 0.05 mg/ml
Enjeksiyon Diazepam 5 mg/ml
Glukoz %5 402
Uyumlu
Enjeksiyon Pancuronium bromide 0.05 mg/ml
Enjeksiyon Dobutamine hydrochloride 1 mg/ml
Glukoz %5 402
Uyumlu
Enjeksiyon Pancuronium bromide 0.05 mg/ml
Enjeksiyon Dopamine hydrochloride 1.6 mg/ml
Glukoz %5 402
Uyumlu
Enjeksiyon Pancuronium bromide 0.05 mg/ml
Enjeksiyon Epinephrine hydrochloride 4 µg/ml
Glukoz %5 402
Uyumlu
Enjeksiyon Pancuronium bromide 0.05 mg/ml
Enjeksiyon Esmolol hydrochloride 10 mg/ml
Glukoz %5 402
Anında bulanıklık uyumsuz
Enjeksiyon Pancuronium bromide
Enjeksiyon Etomidate
5011
Uyumlu
Enjeksiyon Pancuronium bromide 2 mg/ml
Enjeksiyon Etomidate 2 mg/ml
Yok 319
Uyumlu
Enjeksiyon Pancuronium bromide 0.1 mg/ml
Enjeksiyon Fenoldopam mesylate 80 µg/ml
Sodyum klorür % 0,9 1803
Uyumlu
Enjeksiyon Pancuronium bromide 0.05 mg/ml
Enjeksiyon Fentanyl citrate 10 µg/ml
Glukoz %5 402
Uyumlu
Enjeksiyon Pancuronium bromide 0,5 mg/ml
Enjeksiyon Fluconazole 2 mg/ml
Sodyum klorür % 0,9 255
Uyumlu
Enjeksiyon Pancuronium bromide 0.05 mg/ml
Enjeksiyon Gentamicin sulfate 2 mg/ml
Glukoz %5 402
Uyumlu
Enjeksiyon Pancuronium bromide 0.05 mg/ml
Enjeksiyon Heparin sodium 40 UI/ml
Glukoz %5 402
Uyumlu
Enjeksiyon Pancuronium bromide 0.05 mg/ml
Enjeksiyon Hydrocortisone sodium succinate 1 mg/ml
Glukoz %5 402
Uyumlu
Enjeksiyon Pancuronium bromide
Glukoz %5 755
Uyumlu
Enjeksiyon Pancuronium bromide
Laktatlı ringer 755
Uyumlu
Enjeksiyon Pancuronium bromide 0.1 mg/ml
Enjeksiyon Hetastarch 60 mg/ml
çözücü Özgül 1721
Uyumlu
Enjeksiyon Pancuronium bromide 0.05 mg/ml
Enjeksiyon Isoprenaline hydrochloride 0.004 mg/ml
Glukoz %5 402
Uyumlu
Enjeksiyon Pancuronium bromide 2 mg/ml
Enjeksiyon Ketamine hydrochloride 50 mg/ml
2109
Uyumlu
Enjeksiyon Pancuronium bromide 1 mg/ml
Enjeksiyon Levofloxacine 5 mg/ml
Glukoz %5 1072
Uyumlu
Enjeksiyon Pancuronium bromide 0.05 mg/ml
Enjeksiyon Lorazepam 0.5 mg/ml
Glukoz %5 402
Uyumlu
Enjeksiyon Pancuronium bromide 0.05 mg/ml
Enjeksiyon Midazolam hydrochloride 0.05 mg/ml
Glukoz %5 402
Uyumlu
Enjeksiyon Pancuronium bromide 2 mg/ml
Enjeksiyon Milrinone lactate 0.8 mg/ml
Glukoz %5 813
Uyumlu
Enjeksiyon Pancuronium bromide 0.05 mg/ml
Enjeksiyon Morphine sulfate 1 mg/ml
Glukoz %5 402
Uyumlu
Enjeksiyon Pancuronium bromide 2 mg/ml
Enjeksiyon Naloxone hydrochloride 0.4 mg/ml
Yok 3408
Uyumlu
Enjeksiyon Pancuronium bromide 0.05 mg/ml
Enjeksiyon Nitroglycerin 0.4 mg/ml
Glukoz %5 402
Uyumlu
Enjeksiyon Pancuronium bromide 0.05 mg/ml
Enjeksiyon Nitroprusside sodium 0.2 mg/ml
Glukoz %5 402
Uyumlu
Enjeksiyon Pancuronium bromide 0.1 mg/ml
Enjeksiyon Oritavancin 0.8 >>2 mg/ml
Glukoz %5 3152
Acil yağış uyumsuz
Enjeksiyon Pancuronium bromide
Enjeksiyon Pantoprazole sodium
2090
Uyumlu
Enjeksiyon Pancuronium bromide 1 mg/ml
Enjeksiyon Propofol 10 mg/ml
Yok 300
4 saat sonra emülsiyonun kararsızlığı uyumsuz
Enjeksiyon Pancuronium bromide 1 mg/ml
Enjeksiyon Propofol
660
Uyumlu
Enjeksiyon Pancuronium bromide 2 mg/ml
Enjeksiyon Propofol 2 mg/ml
Yok 319
Uyumlu
Enjeksiyon Pancuronium bromide 0.05 mg/ml
Enjeksiyon Ranitidine hydrochloride 0.5 mg/ml
Glukoz %5 402
Acil yağış uyumsuz
Enjeksiyon Pancuronium bromide 2 mg/ml
Enjeksiyon Salbutamol sulfate 1 mg/ml
Yok 3216
Acil yağış uyumsuz
Enjeksiyon Pancuronium bromide
Enjeksiyon Thiopental sodium
2079
Acil yağış uyumsuz
Enjeksiyon Pancuronium bromide 2 mg/ml
Enjeksiyon Thiopental sodium 25 mg/ml
Sodyum klorür % 0,9 3767
Acil yağış uyumsuz
Enjeksiyon Pancuronium bromide 2 mg/ml
Enjeksiyon Thiopental sodium 25 mg/ml
Enjeksiyonluk su 319
Uyumlu
Enjeksiyon Pancuronium bromide 0.008 mg/ml
Enjeksiyon Verapamil hydrochloride 0.08 mg/ml
Glukoz %5 1057
Uyumlu
Enjeksiyon Pancuronium bromide
Sodyum klorür % 0,9 755
Belirtilmemiş uyumsuzluk uyumsuz
Enjeksiyon Pancuronium bromide
Enjeksiyon Thiopental sodium
755
Uyumlu
Enjeksiyon Pancuronium bromide 0.05 mg/ml
Enjeksiyon Vancomycin hydrochloride 5 mg/ml
Glukoz %5 402
Uyumlu
Enjeksiyon Pancuronium bromide 0.008 mg/ml
Enjeksiyon Verapamil hydrochloride 0.08 mg/ml
Sodyum klorür % 0,9 1057

  Mentions Légales