Poslední aktualizace :
18/03/2026
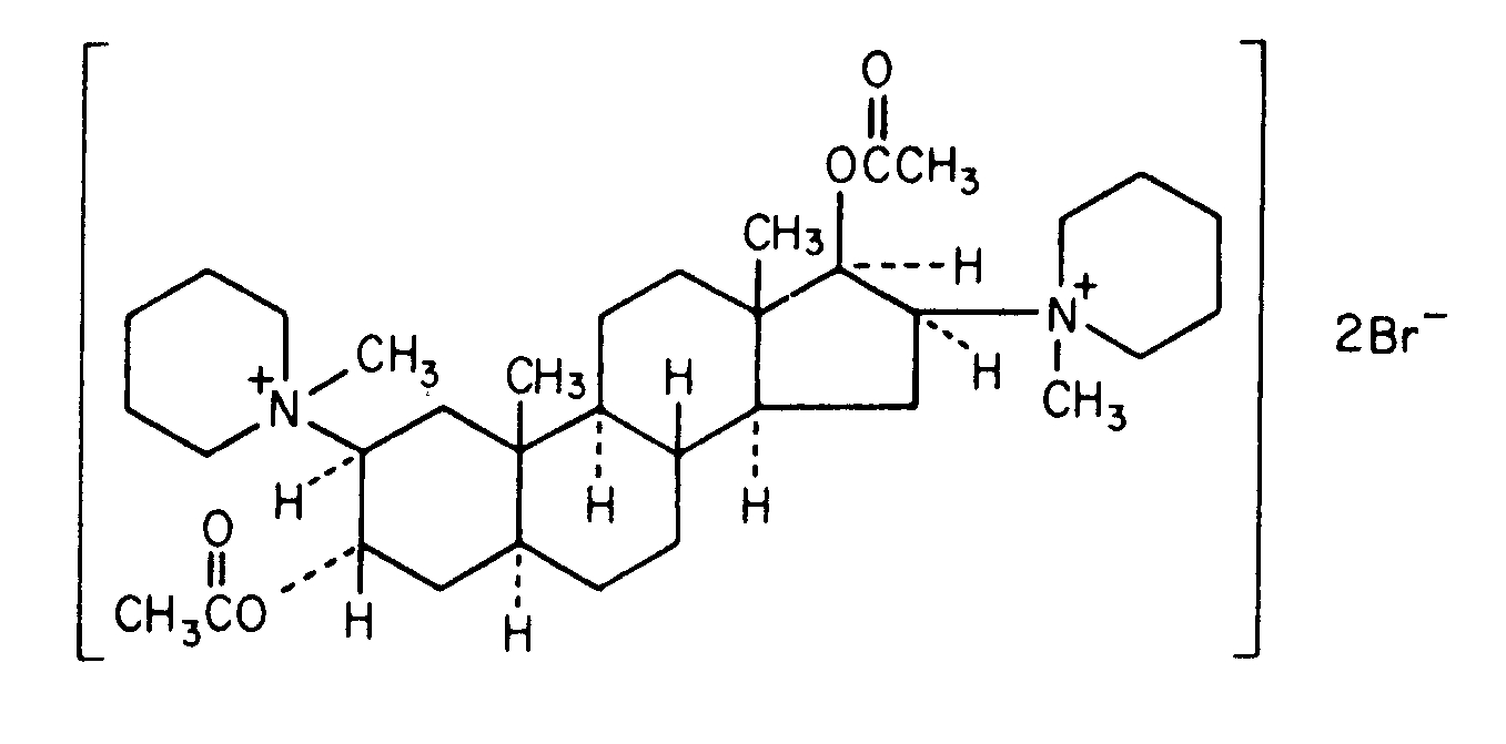
Kuraremimetický   Pancuronium bromide  
injekce
Stabilita roztoků Stabilita směsí Faktory ovlivňující stabilitu Kompatibilita Způsoby aplikace Odkazy pdf
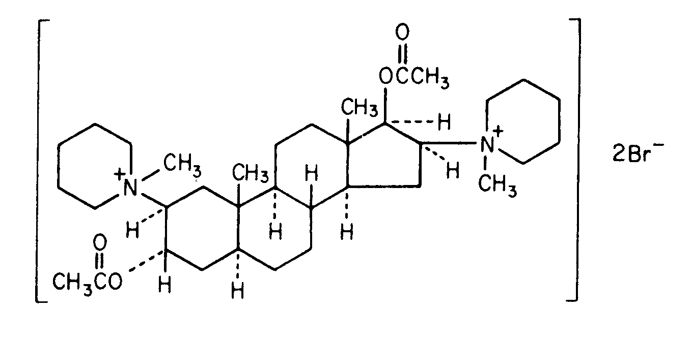
   Chemický vzorec  

Obchodní název   Obchodní název     

Trade names are indicative and excipients composition can be different depending on the country and manufacturers

Pancuronium bromide injection Kanada, USA
Kompatibilita   injekce   Kompatibilita : Pancuronium bromide              
Tato obrazovka ukazuje kompatibilitu nebo nekompatibilitu s, v tomto případě, typem nekompatibility (srážení, změna barvy, modifikace emulze atd.). Zde uvedené kompatibility jsou většinou pouze fyzikální, přičemž chemická stabilita každé molekuly je zřídka hodnocena. Hodnocení těchto směsí bylo studováno, aby se zvážila možnost podání Y-místa pacientovi. Tyto údaje nelze použít k přípravě směsí předem v pytlích nebo stříkačkách. Tento typ informací je k dispozici na obrazovce „Stabilita ve směsi“.
SlouËenina RozpouötÏdlo Odkazy
Kompatibilní
injekce Pancuronium bromide 0.05 mg/ml
injekce Aminophylline 1 mg/ml
GlukÛza 5% 402
Kompatibilní
injekce Pancuronium bromide 0.05 mg/ml
injekce Cefazolin sodium 10 mg/ml
GlukÛza 5% 402
Kompatibilní
injekce Pancuronium bromide 0.05 mg/ml
injekce Cefuroxime sodium 7.5 mg/ml
GlukÛza 5% 402
Kompatibilní
injekce Pancuronium bromide 0.05 mg/ml
injekce Cimetidine hydrochloride 6 mg/ml
GlukÛza 5% 402
Kompatibilní
injekce Pancuronium bromide 0.2 mg/ml
injekce Ciprofloxacin lactate 2 mg/ml
GlukÛza 5% 285
Kompatibilní
injekce Pancuronium bromide 0.05 mg/ml
injekce Co-trimoxazole 3.2/0.64 mg/ml
GlukÛza 5% 402
Kompatibilní
injekce Pancuronium bromide
injekce Dexmedetomidine
5042
Okamžité srážení Nekompatibilní
injekce Pancuronium bromide 0.05 mg/ml
injekce Diazepam 5 mg/ml
GlukÛza 5% 402
Kompatibilní
injekce Pancuronium bromide 0.05 mg/ml
injekce Dobutamine hydrochloride 1 mg/ml
GlukÛza 5% 402
Kompatibilní
injekce Pancuronium bromide 0.05 mg/ml
injekce Dopamine hydrochloride 1.6 mg/ml
GlukÛza 5% 402
Kompatibilní
injekce Pancuronium bromide 0.05 mg/ml
injekce Epinephrine hydrochloride 4 µg/ml
GlukÛza 5% 402
Kompatibilní
injekce Pancuronium bromide 0.05 mg/ml
injekce Esmolol hydrochloride 10 mg/ml
GlukÛza 5% 402
Okamžitá zákal Nekompatibilní
injekce Pancuronium bromide
injekce Etomidate
5011
Kompatibilní
injekce Pancuronium bromide 2 mg/ml
injekce Etomidate 2 mg/ml
Žádné 319
Kompatibilní
injekce Pancuronium bromide 0.1 mg/ml
injekce Fenoldopam mesylate 80 µg/ml
Chlorid sodný 0,9% 1803
Kompatibilní
injekce Pancuronium bromide 0.05 mg/ml
injekce Fentanyl citrate 10 µg/ml
GlukÛza 5% 402
Kompatibilní
injekce Pancuronium bromide 0,5 mg/ml
injekce Fluconazole 2 mg/ml
Chlorid sodný 0,9% 255
Kompatibilní
injekce Pancuronium bromide 0.05 mg/ml
injekce Gentamicin sulfate 2 mg/ml
GlukÛza 5% 402
Kompatibilní
injekce Pancuronium bromide 0.05 mg/ml
injekce Heparin sodium 40 UI/ml
GlukÛza 5% 402
Kompatibilní
injekce Pancuronium bromide 0.05 mg/ml
injekce Hydrocortisone sodium succinate 1 mg/ml
GlukÛza 5% 402
Kompatibilní
injekce Pancuronium bromide
GlukÛza 5% 755
Kompatibilní
injekce Pancuronium bromide
RingerŐs laktátový roztok 755
Kompatibilní
injekce Pancuronium bromide 0.1 mg/ml
injekce Hetastarch 60 mg/ml
Zvláštní rozpouštědla 1721
Kompatibilní
injekce Pancuronium bromide 0.05 mg/ml
injekce Isoprenaline hydrochloride 0.004 mg/ml
GlukÛza 5% 402
Kompatibilní
injekce Pancuronium bromide 2 mg/ml
injekce Ketamine hydrochloride 50 mg/ml
2109
Kompatibilní
injekce Pancuronium bromide 1 mg/ml
injekce Levofloxacine 5 mg/ml
GlukÛza 5% 1072
Kompatibilní
injekce Pancuronium bromide 0.05 mg/ml
injekce Lorazepam 0.5 mg/ml
GlukÛza 5% 402
Kompatibilní
injekce Pancuronium bromide 0.05 mg/ml
injekce Midazolam hydrochloride 0.05 mg/ml
GlukÛza 5% 402
Kompatibilní
injekce Pancuronium bromide 2 mg/ml
injekce Milrinone lactate 0.8 mg/ml
GlukÛza 5% 813
Kompatibilní
injekce Pancuronium bromide 0.05 mg/ml
injekce Morphine sulfate 1 mg/ml
GlukÛza 5% 402
Kompatibilní
injekce Pancuronium bromide 2 mg/ml
injekce Naloxone hydrochloride 0.4 mg/ml
Žádné 3408
Kompatibilní
injekce Pancuronium bromide 0.05 mg/ml
injekce Nitroglycerin 0.4 mg/ml
GlukÛza 5% 402
Kompatibilní
injekce Pancuronium bromide 0.05 mg/ml
injekce Nitroprusside sodium 0.2 mg/ml
GlukÛza 5% 402
Kompatibilní
injekce Pancuronium bromide 0.1 mg/ml
injekce Oritavancin 0.8 >>2 mg/ml
GlukÛza 5% 3152
Okamžité srážení Nekompatibilní
injekce Pancuronium bromide
injekce Pantoprazole sodium
2090
Kompatibilní
injekce Pancuronium bromide 1 mg/ml
injekce Propofol 10 mg/ml
Žádné 300
Nestabilita emulze po 4 hodinách Nekompatibilní
injekce Pancuronium bromide 1 mg/ml
injekce Propofol
660
Kompatibilní
injekce Pancuronium bromide 2 mg/ml
injekce Propofol 2 mg/ml
Žádné 319
Kompatibilní
injekce Pancuronium bromide 0.05 mg/ml
injekce Ranitidine hydrochloride 0.5 mg/ml
GlukÛza 5% 402
Okamžité srážení Nekompatibilní
injekce Pancuronium bromide 2 mg/ml
injekce Salbutamol sulfate 1 mg/ml
Žádné 3216
Okamžité srážení Nekompatibilní
injekce Pancuronium bromide
injekce Thiopental sodium
2079
Okamžité srážení Nekompatibilní
injekce Pancuronium bromide 2 mg/ml
injekce Thiopental sodium 25 mg/ml
Chlorid sodný 0,9% 3767
Okamžité srážení Nekompatibilní
injekce Pancuronium bromide 2 mg/ml
injekce Thiopental sodium 25 mg/ml
Voda pro injekci 319
Kompatibilní
injekce Pancuronium bromide 0.008 mg/ml
injekce Verapamil hydrochloride 0.08 mg/ml
GlukÛza 5% 1057
Kompatibilní
injekce Pancuronium bromide
Chlorid sodný 0,9% 755
Nespecifikovaná nekompatibilita Nekompatibilní
injekce Pancuronium bromide
injekce Thiopental sodium
755
Kompatibilní
injekce Pancuronium bromide 0.05 mg/ml
injekce Vancomycin hydrochloride 5 mg/ml
GlukÛza 5% 402
Kompatibilní
injekce Pancuronium bromide 0.008 mg/ml
injekce Verapamil hydrochloride 0.08 mg/ml
Chlorid sodný 0,9% 1057

  Mentions Légales