Laatste update :
18/03/2026
Curarimimeticum   Pancuronium bromide  
injecteerbaar geneesmiddel
Stabiliteit in oplossing Stabiliteit in mengsels Factoren die de stabiliteit beïnvloeden Verenigbaarheden Toedieningswijze Literatuur pdf
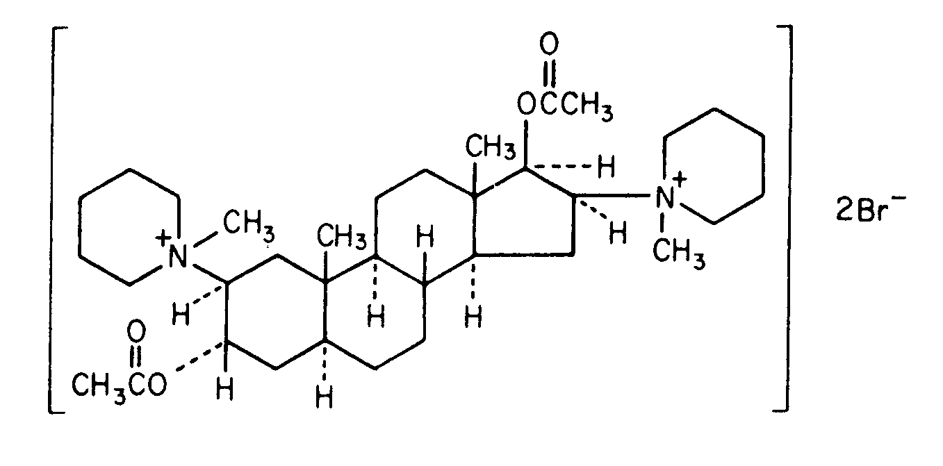
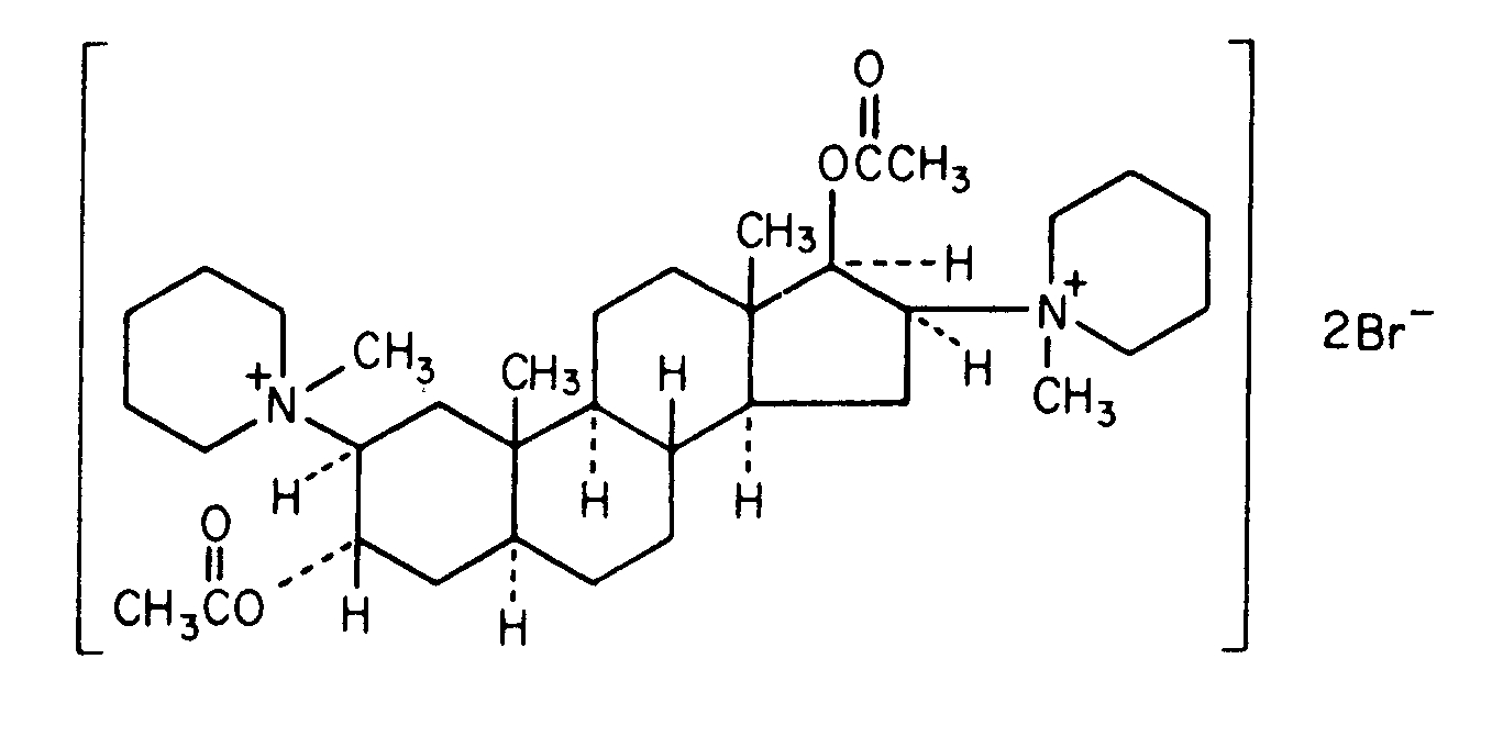
   Molecuulstructuur  

Merknamen in verschillende landen   Merknamen in verschillende landen     

Handelsnamen zijn slechts een indicatie; de samenstelling van hulpstoffen kan per land variëren afhankelijk van de fabrikant

Pancuronium bromide injection Canada, USA
Verenigbaarheden   injecteerbaar geneesmiddel   Verenigbaarheden : Pancuronium bromide              
In dit scherm worden de verenigbaarheden en onverenigbaarheden weergegeven. In het geval van een onverenigbaarheid wordt ook het type (neerslag, kleurverandering, modificatie van een emulsie, etc) weergegeven. De weergegeven verenigbaarheden zijn meestal alleen op uiterlijk beoordeeld, er heeft zelden een chemische beoordeling van iedere component plaatsgevonden. De verenigbaarheden betreffen gelijktijdige toediening aan de patient middels de Y-site. De data kan niet gebruikt worden in de beoordeling van verenigbaarheden van componenten in infuuszakken of spuiten. Die informatie is te vinden onder ‘stabiliteit in mengsels’.
Stof Oplosmiddel Literatuur
Verenigbaar
injecteerbaar geneesmiddel Pancuronium bromide 0.05 mg/ml
injecteerbaar geneesmiddel Aminophylline 1 mg/ml
Glucose 5% 402
Verenigbaar
injecteerbaar geneesmiddel Pancuronium bromide 0.05 mg/ml
injecteerbaar geneesmiddel Cefazolin sodium 10 mg/ml
Glucose 5% 402
Verenigbaar
injecteerbaar geneesmiddel Pancuronium bromide 0.05 mg/ml
injecteerbaar geneesmiddel Cefuroxime sodium 7.5 mg/ml
Glucose 5% 402
Verenigbaar
injecteerbaar geneesmiddel Pancuronium bromide 0.05 mg/ml
injecteerbaar geneesmiddel Cimetidine hydrochloride 6 mg/ml
Glucose 5% 402
Verenigbaar
injecteerbaar geneesmiddel Pancuronium bromide 0.2 mg/ml
injecteerbaar geneesmiddel Ciprofloxacin lactate 2 mg/ml
Glucose 5% 285
Verenigbaar
injecteerbaar geneesmiddel Pancuronium bromide 0.05 mg/ml
injecteerbaar geneesmiddel Co-trimoxazole 3.2/0.64 mg/ml
Glucose 5% 402
Verenigbaar
injecteerbaar geneesmiddel Pancuronium bromide
injecteerbaar geneesmiddel Dexmedetomidine
5042
Onmiddellijke neerslag Onverenigbaar
injecteerbaar geneesmiddel Pancuronium bromide 0.05 mg/ml
injecteerbaar geneesmiddel Diazepam 5 mg/ml
Glucose 5% 402
Verenigbaar
injecteerbaar geneesmiddel Pancuronium bromide 0.05 mg/ml
injecteerbaar geneesmiddel Dobutamine hydrochloride 1 mg/ml
Glucose 5% 402
Verenigbaar
injecteerbaar geneesmiddel Pancuronium bromide 0.05 mg/ml
injecteerbaar geneesmiddel Dopamine hydrochloride 1.6 mg/ml
Glucose 5% 402
Verenigbaar
injecteerbaar geneesmiddel Pancuronium bromide 0.05 mg/ml
injecteerbaar geneesmiddel Epinephrine hydrochloride 4 µg/ml
Glucose 5% 402
Verenigbaar
injecteerbaar geneesmiddel Pancuronium bromide 0.05 mg/ml
injecteerbaar geneesmiddel Esmolol hydrochloride 10 mg/ml
Glucose 5% 402
Onmiddellijke troebelheid Onverenigbaar
injecteerbaar geneesmiddel Pancuronium bromide
injecteerbaar geneesmiddel Etomidate
5011
Verenigbaar
injecteerbaar geneesmiddel Pancuronium bromide 2 mg/ml
injecteerbaar geneesmiddel Etomidate 2 mg/ml
Geen 319
Verenigbaar
injecteerbaar geneesmiddel Pancuronium bromide 0.1 mg/ml
injecteerbaar geneesmiddel Fenoldopam mesylate 80 µg/ml
Natriumchloride 0,9% 1803
Verenigbaar
injecteerbaar geneesmiddel Pancuronium bromide 0.05 mg/ml
injecteerbaar geneesmiddel Fentanyl citrate 10 µg/ml
Glucose 5% 402
Verenigbaar
injecteerbaar geneesmiddel Pancuronium bromide 0,5 mg/ml
injecteerbaar geneesmiddel Fluconazole 2 mg/ml
Natriumchloride 0,9% 255
Verenigbaar
injecteerbaar geneesmiddel Pancuronium bromide 0.05 mg/ml
injecteerbaar geneesmiddel Gentamicin sulfate 2 mg/ml
Glucose 5% 402
Verenigbaar
injecteerbaar geneesmiddel Pancuronium bromide 0.05 mg/ml
injecteerbaar geneesmiddel Heparin sodium 40 UI/ml
Glucose 5% 402
Verenigbaar
injecteerbaar geneesmiddel Pancuronium bromide 0.05 mg/ml
injecteerbaar geneesmiddel Hydrocortisone sodium succinate 1 mg/ml
Glucose 5% 402
Verenigbaar
injecteerbaar geneesmiddel Pancuronium bromide
Glucose 5% 755
Verenigbaar
injecteerbaar geneesmiddel Pancuronium bromide
Ringer-lactaat 755
Verenigbaar
injecteerbaar geneesmiddel Pancuronium bromide 0.1 mg/ml
injecteerbaar geneesmiddel Hetastarch 60 mg/ml
specifieke solvent 1721
Verenigbaar
injecteerbaar geneesmiddel Pancuronium bromide 0.05 mg/ml
injecteerbaar geneesmiddel Isoprenaline hydrochloride 0.004 mg/ml
Glucose 5% 402
Verenigbaar
injecteerbaar geneesmiddel Pancuronium bromide 2 mg/ml
injecteerbaar geneesmiddel Ketamine hydrochloride 50 mg/ml
2109
Verenigbaar
injecteerbaar geneesmiddel Pancuronium bromide 1 mg/ml
injecteerbaar geneesmiddel Levofloxacine 5 mg/ml
Glucose 5% 1072
Verenigbaar
injecteerbaar geneesmiddel Pancuronium bromide 0.05 mg/ml
injecteerbaar geneesmiddel Lorazepam 0.5 mg/ml
Glucose 5% 402
Verenigbaar
injecteerbaar geneesmiddel Pancuronium bromide 0.05 mg/ml
injecteerbaar geneesmiddel Midazolam hydrochloride 0.05 mg/ml
Glucose 5% 402
Verenigbaar
injecteerbaar geneesmiddel Pancuronium bromide 2 mg/ml
injecteerbaar geneesmiddel Milrinone lactate 0.8 mg/ml
Glucose 5% 813
Verenigbaar
injecteerbaar geneesmiddel Pancuronium bromide 0.05 mg/ml
injecteerbaar geneesmiddel Morphine sulfate 1 mg/ml
Glucose 5% 402
Verenigbaar
injecteerbaar geneesmiddel Pancuronium bromide 2 mg/ml
injecteerbaar geneesmiddel Naloxone hydrochloride 0.4 mg/ml
Geen 3408
Verenigbaar
injecteerbaar geneesmiddel Pancuronium bromide 0.05 mg/ml
injecteerbaar geneesmiddel Nitroglycerin 0.4 mg/ml
Glucose 5% 402
Verenigbaar
injecteerbaar geneesmiddel Pancuronium bromide 0.05 mg/ml
injecteerbaar geneesmiddel Nitroprusside sodium 0.2 mg/ml
Glucose 5% 402
Verenigbaar
injecteerbaar geneesmiddel Pancuronium bromide 0.1 mg/ml
injecteerbaar geneesmiddel Oritavancin 0.8 >>2 mg/ml
Glucose 5% 3152
Onmiddellijke neerslag Onverenigbaar
injecteerbaar geneesmiddel Pancuronium bromide
injecteerbaar geneesmiddel Pantoprazole sodium
2090
Verenigbaar
injecteerbaar geneesmiddel Pancuronium bromide 1 mg/ml
injecteerbaar geneesmiddel Propofol 10 mg/ml
Geen 300
Instabiliteit van de emulsie na 4 uur Onverenigbaar
injecteerbaar geneesmiddel Pancuronium bromide 1 mg/ml
injecteerbaar geneesmiddel Propofol
660
Verenigbaar
injecteerbaar geneesmiddel Pancuronium bromide 2 mg/ml
injecteerbaar geneesmiddel Propofol 2 mg/ml
Geen 319
Verenigbaar
injecteerbaar geneesmiddel Pancuronium bromide 0.05 mg/ml
injecteerbaar geneesmiddel Ranitidine hydrochloride 0.5 mg/ml
Glucose 5% 402
Onmiddellijke neerslag Onverenigbaar
injecteerbaar geneesmiddel Pancuronium bromide 2 mg/ml
injecteerbaar geneesmiddel Salbutamol sulfate 1 mg/ml
Geen 3216
Onmiddellijke neerslag Onverenigbaar
injecteerbaar geneesmiddel Pancuronium bromide
injecteerbaar geneesmiddel Thiopental sodium
2079
Onmiddellijke neerslag Onverenigbaar
injecteerbaar geneesmiddel Pancuronium bromide 2 mg/ml
injecteerbaar geneesmiddel Thiopental sodium 25 mg/ml
Natriumchloride 0,9% 3767
Onmiddellijke neerslag Onverenigbaar
injecteerbaar geneesmiddel Pancuronium bromide 2 mg/ml
injecteerbaar geneesmiddel Thiopental sodium 25 mg/ml
Water voor injectie 319
Verenigbaar
injecteerbaar geneesmiddel Pancuronium bromide 0.008 mg/ml
injecteerbaar geneesmiddel Verapamil hydrochloride 0.08 mg/ml
Glucose 5% 1057
Verenigbaar
injecteerbaar geneesmiddel Pancuronium bromide
Natriumchloride 0,9% 755
Niet-gespecificeerde incompatibiliteit Onverenigbaar
injecteerbaar geneesmiddel Pancuronium bromide
injecteerbaar geneesmiddel Thiopental sodium
755
Verenigbaar
injecteerbaar geneesmiddel Pancuronium bromide 0.05 mg/ml
injecteerbaar geneesmiddel Vancomycin hydrochloride 5 mg/ml
Glucose 5% 402
Verenigbaar
injecteerbaar geneesmiddel Pancuronium bromide 0.008 mg/ml
injecteerbaar geneesmiddel Verapamil hydrochloride 0.08 mg/ml
Natriumchloride 0,9% 1057

  Mentions Légales