Last update :
18/03/2026
Curarimimetic   Pancuronium bromide  
injection
Stability in solutions Stability of mixtures Factors which affect stability Compatibility Route of administration References pdf
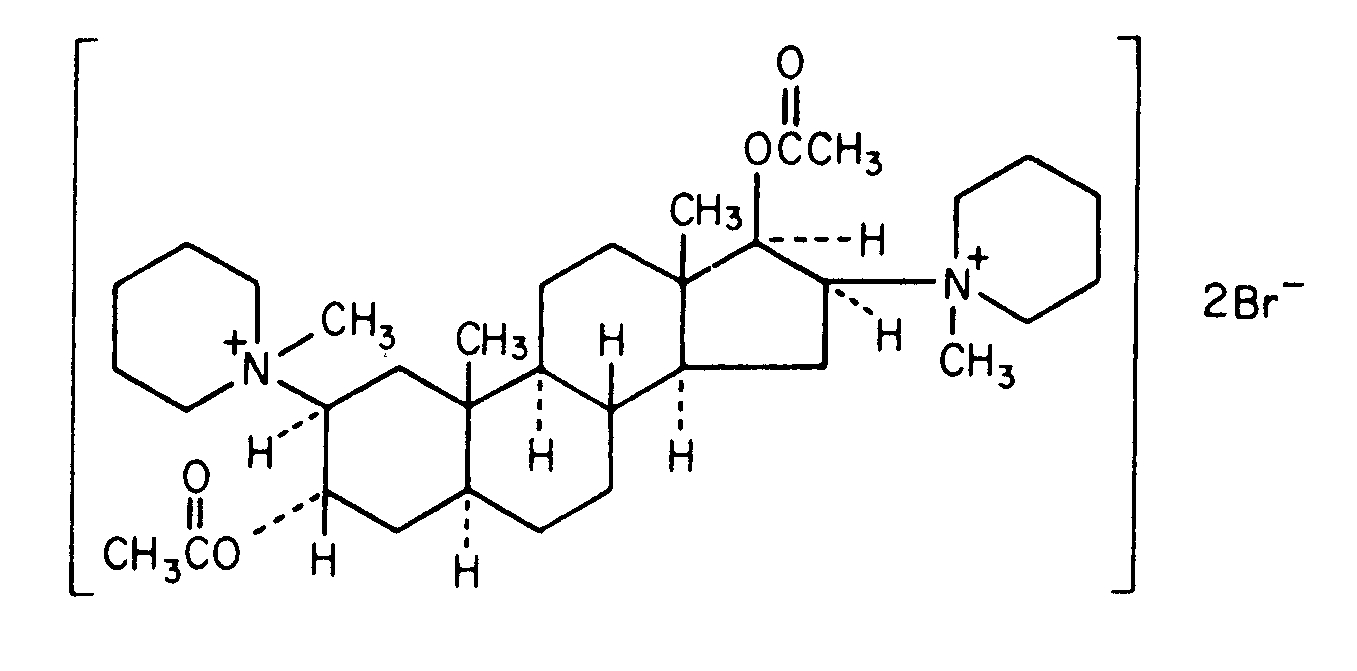
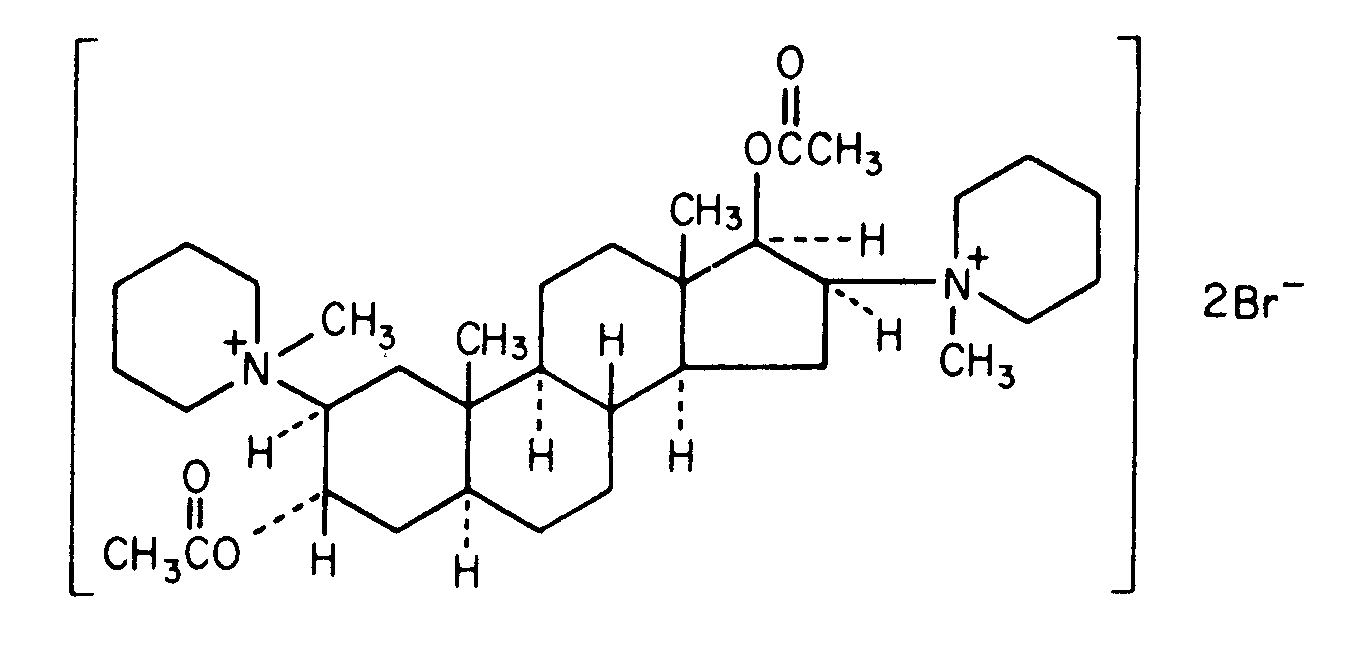
   Chemical structure  

Tradename   Tradename     

Trade names are indicative and excipients composition can be different depending on the country and manufacturers

Pancuronium bromide injection Canada, United States of America
Compatibility   injection   Compatibility : Pancuronium bromide              
This screen indicates the compatibilities or incompatibilities with, in this case, the type of incompatibility (precipitation, color change, modification of an emulsion, etc.). The compatibilities shown here are mostly physical only, with the chemical stability of each molecule rarely being assessed. The evaluation of these mixtures was studied to consider the possibility of Y-site administration to the patient. These data cannot be used for making mixtures in advance in bags or syringes. This type of information is available in the screen "Stability in mixture ».
Compound Solvent References
Compatible
injection Pancuronium bromide 0.05 mg/ml
injection Aminophylline 1 mg/ml
Glucose 5% 402
Compatible
injection Pancuronium bromide 0.05 mg/ml
injection Cefazolin sodium 10 mg/ml
Glucose 5% 402
Compatible
injection Pancuronium bromide 0.05 mg/ml
injection Cefuroxime sodium 7.5 mg/ml
Glucose 5% 402
Compatible
injection Pancuronium bromide 0.05 mg/ml
injection Cimetidine hydrochloride 6 mg/ml
Glucose 5% 402
Compatible
injection Pancuronium bromide 0.2 mg/ml
injection Ciprofloxacin lactate 2 mg/ml
Glucose 5% 285
Compatible
injection Pancuronium bromide 0.05 mg/ml
injection Co-trimoxazole 3.2/0.64 mg/ml
Glucose 5% 402
Compatible
injection Pancuronium bromide
injection Dexmedetomidine
5042
Immediate precipitation Incompatible
injection Pancuronium bromide 0.05 mg/ml
injection Diazepam 5 mg/ml
Glucose 5% 402
Compatible
injection Pancuronium bromide 0.05 mg/ml
injection Dobutamine hydrochloride 1 mg/ml
Glucose 5% 402
Compatible
injection Pancuronium bromide 0.05 mg/ml
injection Dopamine hydrochloride 1.6 mg/ml
Glucose 5% 402
Compatible
injection Pancuronium bromide 0.05 mg/ml
injection Epinephrine hydrochloride 4 µg/ml
Glucose 5% 402
Compatible
injection Pancuronium bromide 0.05 mg/ml
injection Esmolol hydrochloride 10 mg/ml
Glucose 5% 402
Immediate turbidity Incompatible
injection Pancuronium bromide
injection Etomidate
5011
Compatible
injection Pancuronium bromide 2 mg/ml
injection Etomidate 2 mg/ml
None 319
Compatible
injection Pancuronium bromide 0.1 mg/ml
injection Fenoldopam mesylate 80 µg/ml
Sodium chloride 0,9% 1803
Compatible
injection Pancuronium bromide 0.05 mg/ml
injection Fentanyl citrate 10 µg/ml
Glucose 5% 402
Compatible
injection Pancuronium bromide 0,5 mg/ml
injection Fluconazole 2 mg/ml
Sodium chloride 0,9% 255
Compatible
injection Pancuronium bromide 0.05 mg/ml
injection Gentamicin sulfate 2 mg/ml
Glucose 5% 402
Compatible
injection Pancuronium bromide 0.05 mg/ml
injection Heparin sodium 40 UI/ml
Glucose 5% 402
Compatible
injection Pancuronium bromide 0.05 mg/ml
injection Hydrocortisone sodium succinate 1 mg/ml
Glucose 5% 402
Compatible
injection Pancuronium bromide
Glucose 5% 755
Compatible
injection Pancuronium bromide
Ringer’s lactate solution 755
Compatible
injection Pancuronium bromide 0.1 mg/ml
injection Hetastarch 60 mg/ml
specific solvent 1721
Compatible
injection Pancuronium bromide 0.05 mg/ml
injection Isoprenaline hydrochloride 0.004 mg/ml
Glucose 5% 402
Compatible
injection Pancuronium bromide 2 mg/ml
injection Ketamine hydrochloride 50 mg/ml
2109
Compatible
injection Pancuronium bromide 1 mg/ml
injection Levofloxacine 5 mg/ml
Glucose 5% 1072
Compatible
injection Pancuronium bromide 0.05 mg/ml
injection Lorazepam 0.5 mg/ml
Glucose 5% 402
Compatible
injection Pancuronium bromide 0.05 mg/ml
injection Midazolam hydrochloride 0.05 mg/ml
Glucose 5% 402
Compatible
injection Pancuronium bromide 2 mg/ml
injection Milrinone lactate 0.8 mg/ml
Glucose 5% 813
Compatible
injection Pancuronium bromide 0.05 mg/ml
injection Morphine sulfate 1 mg/ml
Glucose 5% 402
Compatible
injection Pancuronium bromide 2 mg/ml
injection Naloxone hydrochloride 0.4 mg/ml
None 3408
Compatible
injection Pancuronium bromide 0.05 mg/ml
injection Nitroglycerin 0.4 mg/ml
Glucose 5% 402
Compatible
injection Pancuronium bromide 0.05 mg/ml
injection Nitroprusside sodium 0.2 mg/ml
Glucose 5% 402
Compatible
injection Pancuronium bromide 0.1 mg/ml
injection Oritavancin 0.8 >>2 mg/ml
Glucose 5% 3152
Immediate precipitation Incompatible
injection Pancuronium bromide
injection Pantoprazole sodium
2090
Compatible
injection Pancuronium bromide 1 mg/ml
injection Propofol 10 mg/ml
None 300
Instability of the emulsion after 4 hours Incompatible
injection Pancuronium bromide 1 mg/ml
injection Propofol
660
Compatible
injection Pancuronium bromide 2 mg/ml
injection Propofol 2 mg/ml
None 319
Compatible
injection Pancuronium bromide 0.05 mg/ml
injection Ranitidine hydrochloride 0.5 mg/ml
Glucose 5% 402
Immediate precipitation Incompatible
injection Pancuronium bromide 2 mg/ml
injection Salbutamol sulfate 1 mg/ml
None 3216
Immediate precipitation Incompatible
injection Pancuronium bromide
injection Thiopental sodium
2079
Immediate precipitation Incompatible
injection Pancuronium bromide 2 mg/ml
injection Thiopental sodium 25 mg/ml
Sodium chloride 0,9% 3767
Immediate precipitation Incompatible
injection Pancuronium bromide 2 mg/ml
injection Thiopental sodium 25 mg/ml
Water for Injection 319
Compatible
injection Pancuronium bromide 0.008 mg/ml
injection Verapamil hydrochloride 0.08 mg/ml
Glucose 5% 1057
Compatible
injection Pancuronium bromide
Sodium chloride 0,9% 755
Unspecified incompatibility Incompatible
injection Pancuronium bromide
injection Thiopental sodium
755
Compatible
injection Pancuronium bromide 0.05 mg/ml
injection Vancomycin hydrochloride 5 mg/ml
Glucose 5% 402
Compatible
injection Pancuronium bromide 0.008 mg/ml
injection Verapamil hydrochloride 0.08 mg/ml
Sodium chloride 0,9% 1057

  Mentions Légales