Última actualización :
18/03/2026
Curarizante   Pancuronium bromide  
Inyectables
Estabilidad en solucion Estabilidad en mezcla Factores que influyen sobre la estabilidad Compatibilidades método de inyección Bibliografía pdf
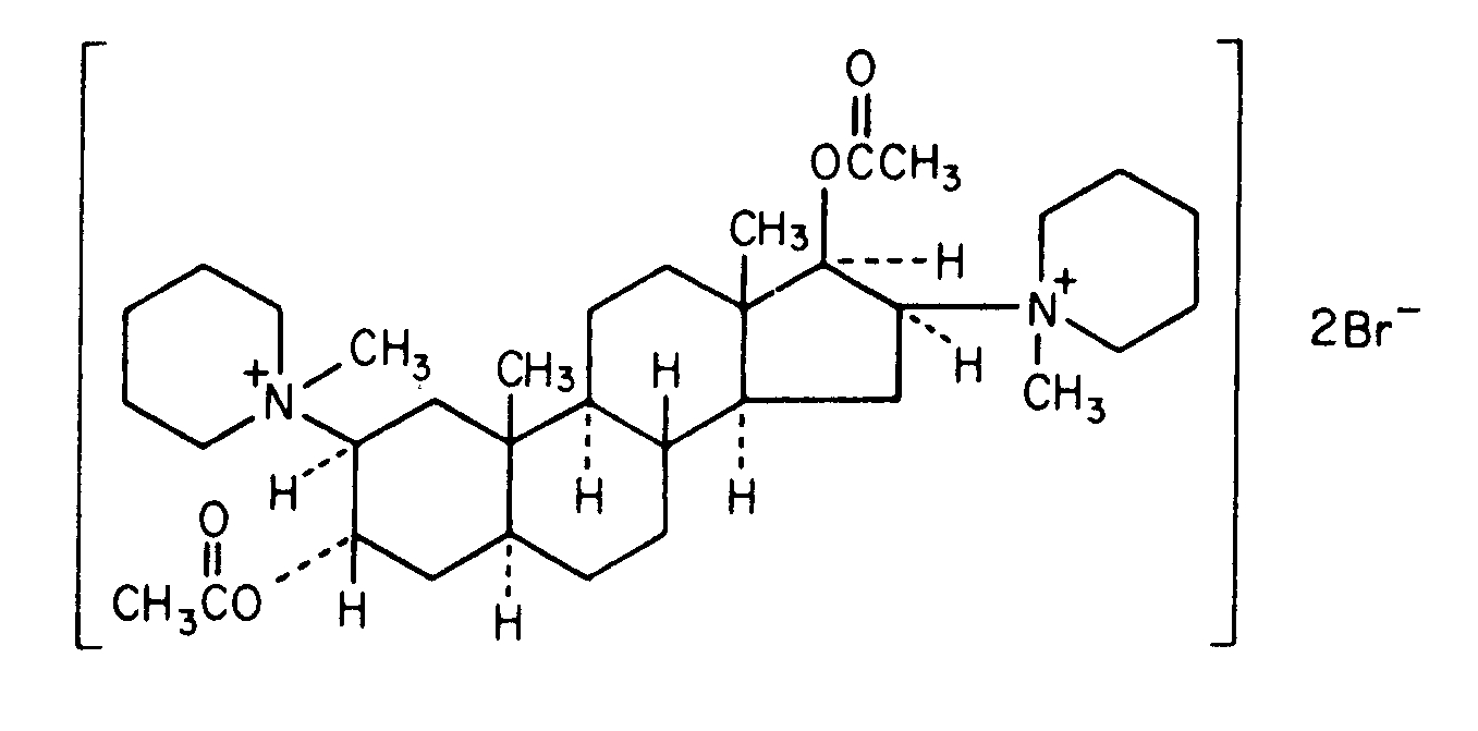
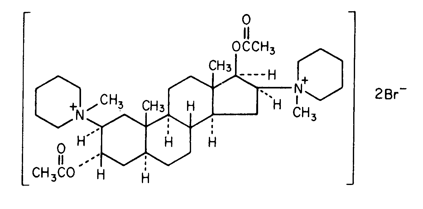
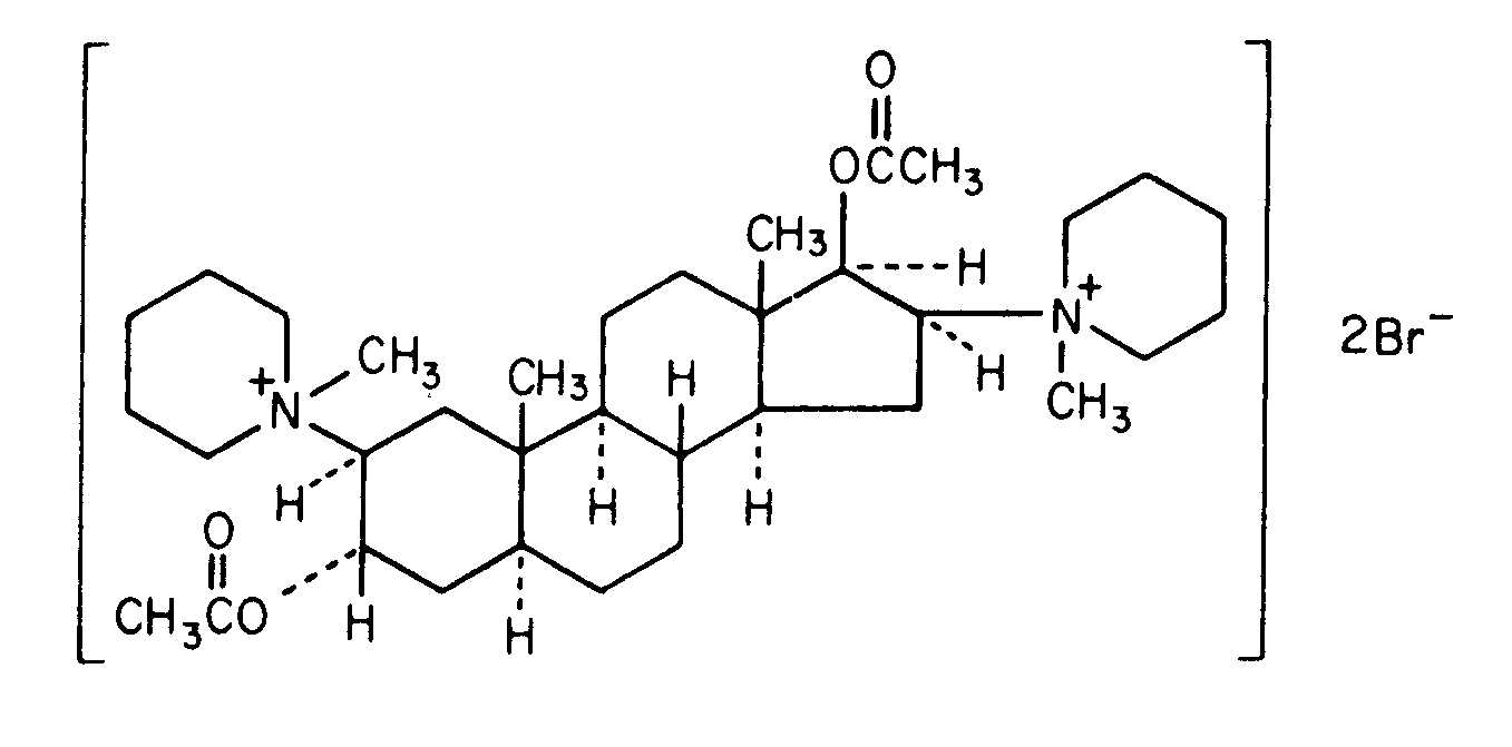
   Estructura química  

Nombre comercial   Nombre comercial     

Los nombres comerciales son orientativos y los excipientes de la formulación pueden ser distintos dependiendo del país y del laboratorio fabricante.

Pancuronium bromide injection Canadá, Estados Unidos de América
Compatibilidades   Inyectables   Compatibilidades : Pancuronium bromide              
Esta pantalla muestra las compatibilidades o incompatibilidades, así como el tipo de incompatibilidad (precipitación, cambio de color, modificación de una emulsión, etc). Las compatibilidades que se recogen aquí son fundamentalmente físicas, mostrando raramente la estabilidad química de la molécula. La evaluación de estas mezclas se estudió con el fin de de comprobar la posibilidad de administración en Y al paciente. Estos datos no pueden utilizarse en el caso de la preparación de mezclas dentro de bolsas o jeringas. Este tipo de información está disponible en la pantalla “Estabilidad en mezcla”.
Molécula Solvente Bibliografía
Compatible
Inyectables Pancuronium bromide 0.05 mg/ml
Inyectables Aminophylline 1 mg/ml
Glucosa 5% 402
Compatible
Inyectables Pancuronium bromide 0.05 mg/ml
Inyectables Cefazolin sodium 10 mg/ml
Glucosa 5% 402
Compatible
Inyectables Pancuronium bromide 0.05 mg/ml
Inyectables Cefuroxime sodium 7.5 mg/ml
Glucosa 5% 402
Compatible
Inyectables Pancuronium bromide 0.05 mg/ml
Inyectables Cimetidine hydrochloride 6 mg/ml
Glucosa 5% 402
Compatible
Inyectables Pancuronium bromide 0.2 mg/ml
Inyectables Ciprofloxacin lactate 2 mg/ml
Glucosa 5% 285
Compatible
Inyectables Pancuronium bromide 0.05 mg/ml
Inyectables Co-trimoxazole 3.2/0.64 mg/ml
Glucosa 5% 402
Compatible
Inyectables Pancuronium bromide
Inyectables Dexmedetomidine
5042
Precipitación inmediata Incompatible
Inyectables Pancuronium bromide 0.05 mg/ml
Inyectables Diazepam 5 mg/ml
Glucosa 5% 402
Compatible
Inyectables Pancuronium bromide 0.05 mg/ml
Inyectables Dobutamine hydrochloride 1 mg/ml
Glucosa 5% 402
Compatible
Inyectables Pancuronium bromide 0.05 mg/ml
Inyectables Dopamine hydrochloride 1.6 mg/ml
Glucosa 5% 402
Compatible
Inyectables Pancuronium bromide 0.05 mg/ml
Inyectables Epinephrine hydrochloride 4 µg/ml
Glucosa 5% 402
Compatible
Inyectables Pancuronium bromide 0.05 mg/ml
Inyectables Esmolol hydrochloride 10 mg/ml
Glucosa 5% 402
Turbidez inmediata Incompatible
Inyectables Pancuronium bromide
Inyectables Etomidate
5011
Compatible
Inyectables Pancuronium bromide 2 mg/ml
Inyectables Etomidate 2 mg/ml
Ninguno 319
Compatible
Inyectables Pancuronium bromide 0.1 mg/ml
Inyectables Fenoldopam mesylate 80 µg/ml
Cloruro de sodio 0,9% 1803
Compatible
Inyectables Pancuronium bromide 0.05 mg/ml
Inyectables Fentanyl citrate 10 µg/ml
Glucosa 5% 402
Compatible
Inyectables Pancuronium bromide 0,5 mg/ml
Inyectables Fluconazole 2 mg/ml
Cloruro de sodio 0,9% 255
Compatible
Inyectables Pancuronium bromide 0.05 mg/ml
Inyectables Gentamicin sulfate 2 mg/ml
Glucosa 5% 402
Compatible
Inyectables Pancuronium bromide 0.05 mg/ml
Inyectables Heparin sodium 40 UI/ml
Glucosa 5% 402
Compatible
Inyectables Pancuronium bromide 0.05 mg/ml
Inyectables Hydrocortisone sodium succinate 1 mg/ml
Glucosa 5% 402
Compatible
Inyectables Pancuronium bromide
Glucosa 5% 755
Compatible
Inyectables Pancuronium bromide
Ringer lactato 755
Compatible
Inyectables Pancuronium bromide 0.1 mg/ml
Inyectables Hetastarch 60 mg/ml
específico disolvente 1721
Compatible
Inyectables Pancuronium bromide 0.05 mg/ml
Inyectables Isoprenaline hydrochloride 0.004 mg/ml
Glucosa 5% 402
Compatible
Inyectables Pancuronium bromide 2 mg/ml
Inyectables Ketamine hydrochloride 50 mg/ml
2109
Compatible
Inyectables Pancuronium bromide 1 mg/ml
Inyectables Levofloxacine 5 mg/ml
Glucosa 5% 1072
Compatible
Inyectables Pancuronium bromide 0.05 mg/ml
Inyectables Lorazepam 0.5 mg/ml
Glucosa 5% 402
Compatible
Inyectables Pancuronium bromide 0.05 mg/ml
Inyectables Midazolam hydrochloride 0.05 mg/ml
Glucosa 5% 402
Compatible
Inyectables Pancuronium bromide 2 mg/ml
Inyectables Milrinone lactate 0.8 mg/ml
Glucosa 5% 813
Compatible
Inyectables Pancuronium bromide 0.05 mg/ml
Inyectables Morphine sulfate 1 mg/ml
Glucosa 5% 402
Compatible
Inyectables Pancuronium bromide 2 mg/ml
Inyectables Naloxone hydrochloride 0.4 mg/ml
Ninguno 3408
Compatible
Inyectables Pancuronium bromide 0.05 mg/ml
Inyectables Nitroglycerin 0.4 mg/ml
Glucosa 5% 402
Compatible
Inyectables Pancuronium bromide 0.05 mg/ml
Inyectables Nitroprusside sodium 0.2 mg/ml
Glucosa 5% 402
Compatible
Inyectables Pancuronium bromide 0.1 mg/ml
Inyectables Oritavancin 0.8 >>2 mg/ml
Glucosa 5% 3152
Precipitación inmediata Incompatible
Inyectables Pancuronium bromide
Inyectables Pantoprazole sodium
2090
Compatible
Inyectables Pancuronium bromide 1 mg/ml
Inyectables Propofol 10 mg/ml
Ninguno 300
Inestabilidad de la emulsión después de 4 horas. Incompatible
Inyectables Pancuronium bromide 1 mg/ml
Inyectables Propofol
660
Compatible
Inyectables Pancuronium bromide 2 mg/ml
Inyectables Propofol 2 mg/ml
Ninguno 319
Compatible
Inyectables Pancuronium bromide 0.05 mg/ml
Inyectables Ranitidine hydrochloride 0.5 mg/ml
Glucosa 5% 402
Precipitación inmediata Incompatible
Inyectables Pancuronium bromide 2 mg/ml
Inyectables Salbutamol sulfate 1 mg/ml
Ninguno 3216
Precipitación inmediata Incompatible
Inyectables Pancuronium bromide
Inyectables Thiopental sodium
2079
Precipitación inmediata Incompatible
Inyectables Pancuronium bromide 2 mg/ml
Inyectables Thiopental sodium 25 mg/ml
Cloruro de sodio 0,9% 3767
Precipitación inmediata Incompatible
Inyectables Pancuronium bromide 2 mg/ml
Inyectables Thiopental sodium 25 mg/ml
Agua para preparación inyectable 319
Compatible
Inyectables Pancuronium bromide 0.008 mg/ml
Inyectables Verapamil hydrochloride 0.08 mg/ml
Glucosa 5% 1057
Compatible
Inyectables Pancuronium bromide
Cloruro de sodio 0,9% 755
Incompatibilidad no especificada Incompatible
Inyectables Pancuronium bromide
Inyectables Thiopental sodium
755
Compatible
Inyectables Pancuronium bromide 0.05 mg/ml
Inyectables Vancomycin hydrochloride 5 mg/ml
Glucosa 5% 402
Compatible
Inyectables Pancuronium bromide 0.008 mg/ml
Inyectables Verapamil hydrochloride 0.08 mg/ml
Cloruro de sodio 0,9% 1057

  Mentions Légales