Viimeisin päivitys :
18/03/2026
Lihasrelaksantit   Pancuronium bromide  
Injektioneste
Stabilius liuoksessa Stabilius seoksissa Tekijät, jotka vaikuttavat stabiliuteen Yhteensopivuus Antotapa Viitteet pdf
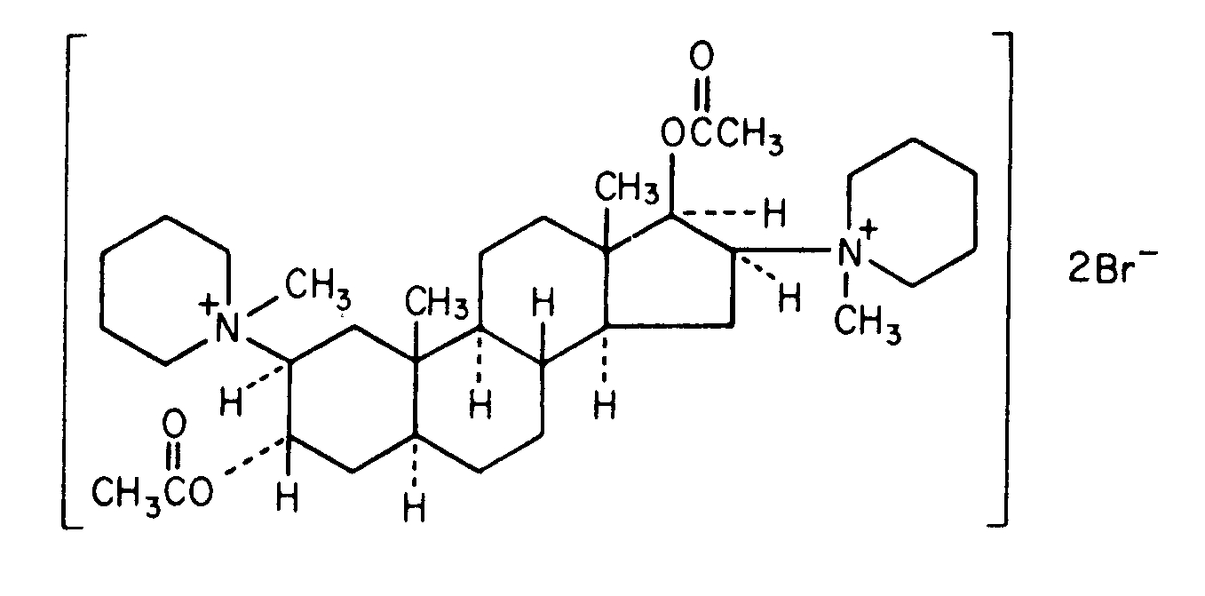
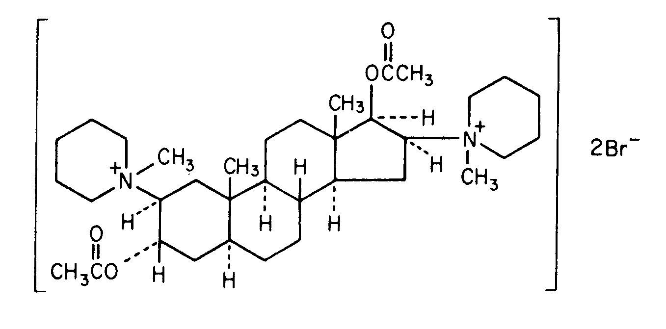
   Kemiallinen rakenne  

Kauppanimi   Kauppanimi     

Trade names are indicative and excipients composition can be different depending on the country and manufacturers

Pancuronium bromide injection Kanada, Yhdysvallat
Yhteensopivuus   Injektioneste   Yhteensopivuus : Pancuronium bromide              
Tämä näyttö osoittaa yhteensopivuuden tai yhteensopimattomuuden yhteensopimattomuuden tyypin kanssa (saostuminen, värinmuutos, emulsiomuutos jne.). Tässä esitetty yhteensopivuus on useimmissa tapauksissa vain fysikaalinen, ja kunkin molekyylin kemiallista stabiilisuutta arvioidaan harvoin. Näiden seosten arviointia tutkittiin mahdollisuuden antaa Y-kohta potilaalle. Näitä tietoja ei voida käyttää seosten valmistamiseen etukäteen pusseissa tai ruiskuissa. Tämäntyyppiset tiedot ovat saatavilla "Stabiilisuus seoksessa" -näytössä.
Yhdiste Liuotin Viitteet
Yhteensopiva
Injektioneste Pancuronium bromide 0.05 mg/ml
Injektioneste Aminophylline 1 mg/ml
Glukoosi 5% 402
Yhteensopiva
Injektioneste Pancuronium bromide 0.05 mg/ml
Injektioneste Cefazolin sodium 10 mg/ml
Glukoosi 5% 402
Yhteensopiva
Injektioneste Pancuronium bromide 0.05 mg/ml
Injektioneste Cefuroxime sodium 7.5 mg/ml
Glukoosi 5% 402
Yhteensopiva
Injektioneste Pancuronium bromide 0.05 mg/ml
Injektioneste Cimetidine hydrochloride 6 mg/ml
Glukoosi 5% 402
Yhteensopiva
Injektioneste Pancuronium bromide 0.2 mg/ml
Injektioneste Ciprofloxacin lactate 2 mg/ml
Glukoosi 5% 285
Yhteensopiva
Injektioneste Pancuronium bromide 0.05 mg/ml
Injektioneste Co-trimoxazole 3.2/0.64 mg/ml
Glukoosi 5% 402
Yhteensopiva
Injektioneste Pancuronium bromide
Injektioneste Dexmedetomidine
5042
Välittömät sateet yhteensopimaton
Injektioneste Pancuronium bromide 0.05 mg/ml
Injektioneste Diazepam 5 mg/ml
Glukoosi 5% 402
Yhteensopiva
Injektioneste Pancuronium bromide 0.05 mg/ml
Injektioneste Dobutamine hydrochloride 1 mg/ml
Glukoosi 5% 402
Yhteensopiva
Injektioneste Pancuronium bromide 0.05 mg/ml
Injektioneste Dopamine hydrochloride 1.6 mg/ml
Glukoosi 5% 402
Yhteensopiva
Injektioneste Pancuronium bromide 0.05 mg/ml
Injektioneste Epinephrine hydrochloride 4 µg/ml
Glukoosi 5% 402
Yhteensopiva
Injektioneste Pancuronium bromide 0.05 mg/ml
Injektioneste Esmolol hydrochloride 10 mg/ml
Glukoosi 5% 402
Välitön sameus yhteensopimaton
Injektioneste Pancuronium bromide
Injektioneste Etomidate
5011
Yhteensopiva
Injektioneste Pancuronium bromide 2 mg/ml
Injektioneste Etomidate 2 mg/ml
Ei mikään 319
Yhteensopiva
Injektioneste Pancuronium bromide 0.1 mg/ml
Injektioneste Fenoldopam mesylate 80 µg/ml
Natriumkloridi 0,9% 1803
Yhteensopiva
Injektioneste Pancuronium bromide 0.05 mg/ml
Injektioneste Fentanyl citrate 10 µg/ml
Glukoosi 5% 402
Yhteensopiva
Injektioneste Pancuronium bromide 0,5 mg/ml
Injektioneste Fluconazole 2 mg/ml
Natriumkloridi 0,9% 255
Yhteensopiva
Injektioneste Pancuronium bromide 0.05 mg/ml
Injektioneste Gentamicin sulfate 2 mg/ml
Glukoosi 5% 402
Yhteensopiva
Injektioneste Pancuronium bromide 0.05 mg/ml
Injektioneste Heparin sodium 40 UI/ml
Glukoosi 5% 402
Yhteensopiva
Injektioneste Pancuronium bromide 0.05 mg/ml
Injektioneste Hydrocortisone sodium succinate 1 mg/ml
Glukoosi 5% 402
Yhteensopiva
Injektioneste Pancuronium bromide
Glukoosi 5% 755
Yhteensopiva
Injektioneste Pancuronium bromide
Ringerlaktaattiliuos 755
Yhteensopiva
Injektioneste Pancuronium bromide 0.1 mg/ml
Injektioneste Hetastarch 60 mg/ml
spesifiseen liuottimeen 1721
Yhteensopiva
Injektioneste Pancuronium bromide 0.05 mg/ml
Injektioneste Isoprenaline hydrochloride 0.004 mg/ml
Glukoosi 5% 402
Yhteensopiva
Injektioneste Pancuronium bromide 2 mg/ml
Injektioneste Ketamine hydrochloride 50 mg/ml
2109
Yhteensopiva
Injektioneste Pancuronium bromide 1 mg/ml
Injektioneste Levofloxacine 5 mg/ml
Glukoosi 5% 1072
Yhteensopiva
Injektioneste Pancuronium bromide 0.05 mg/ml
Injektioneste Lorazepam 0.5 mg/ml
Glukoosi 5% 402
Yhteensopiva
Injektioneste Pancuronium bromide 0.05 mg/ml
Injektioneste Midazolam hydrochloride 0.05 mg/ml
Glukoosi 5% 402
Yhteensopiva
Injektioneste Pancuronium bromide 2 mg/ml
Injektioneste Milrinone lactate 0.8 mg/ml
Glukoosi 5% 813
Yhteensopiva
Injektioneste Pancuronium bromide 0.05 mg/ml
Injektioneste Morphine sulfate 1 mg/ml
Glukoosi 5% 402
Yhteensopiva
Injektioneste Pancuronium bromide 2 mg/ml
Injektioneste Naloxone hydrochloride 0.4 mg/ml
Ei mikään 3408
Yhteensopiva
Injektioneste Pancuronium bromide 0.05 mg/ml
Injektioneste Nitroglycerin 0.4 mg/ml
Glukoosi 5% 402
Yhteensopiva
Injektioneste Pancuronium bromide 0.05 mg/ml
Injektioneste Nitroprusside sodium 0.2 mg/ml
Glukoosi 5% 402
Yhteensopiva
Injektioneste Pancuronium bromide 0.1 mg/ml
Injektioneste Oritavancin 0.8 >>2 mg/ml
Glukoosi 5% 3152
Välittömät sateet yhteensopimaton
Injektioneste Pancuronium bromide
Injektioneste Pantoprazole sodium
2090
Yhteensopiva
Injektioneste Pancuronium bromide 1 mg/ml
Injektioneste Propofol 10 mg/ml
Ei mikään 300
Emulsion epästabiilisuus 4 tunnin kuluttua yhteensopimaton
Injektioneste Pancuronium bromide 1 mg/ml
Injektioneste Propofol
660
Yhteensopiva
Injektioneste Pancuronium bromide 2 mg/ml
Injektioneste Propofol 2 mg/ml
Ei mikään 319
Yhteensopiva
Injektioneste Pancuronium bromide 0.05 mg/ml
Injektioneste Ranitidine hydrochloride 0.5 mg/ml
Glukoosi 5% 402
Välittömät sateet yhteensopimaton
Injektioneste Pancuronium bromide 2 mg/ml
Injektioneste Salbutamol sulfate 1 mg/ml
Ei mikään 3216
Välittömät sateet yhteensopimaton
Injektioneste Pancuronium bromide
Injektioneste Thiopental sodium
2079
Välittömät sateet yhteensopimaton
Injektioneste Pancuronium bromide 2 mg/ml
Injektioneste Thiopental sodium 25 mg/ml
Natriumkloridi 0,9% 3767
Välittömät sateet yhteensopimaton
Injektioneste Pancuronium bromide 2 mg/ml
Injektioneste Thiopental sodium 25 mg/ml
Injektionesteisiin käytettävä vesi 319
Yhteensopiva
Injektioneste Pancuronium bromide 0.008 mg/ml
Injektioneste Verapamil hydrochloride 0.08 mg/ml
Glukoosi 5% 1057
Yhteensopiva
Injektioneste Pancuronium bromide
Natriumkloridi 0,9% 755
Määrittelemätön yhteensopimattomuus yhteensopimaton
Injektioneste Pancuronium bromide
Injektioneste Thiopental sodium
755
Yhteensopiva
Injektioneste Pancuronium bromide 0.05 mg/ml
Injektioneste Vancomycin hydrochloride 5 mg/ml
Glukoosi 5% 402
Yhteensopiva
Injektioneste Pancuronium bromide 0.008 mg/ml
Injektioneste Verapamil hydrochloride 0.08 mg/ml
Natriumkloridi 0,9% 1057

  Mentions Légales