Cập nhật lần cuối :
18/03/2026
Thuốc khử cực giống cura   Cisatracurium besylate  
Dạng tiêm
Tính ổn định của các dung dịch Độ ổn định khi trộn lẫn Những yếu tố ảnh hưởng đến độ ổn định Khả năng tương thích Đường dùng Tài liệu tham khảo Pdf
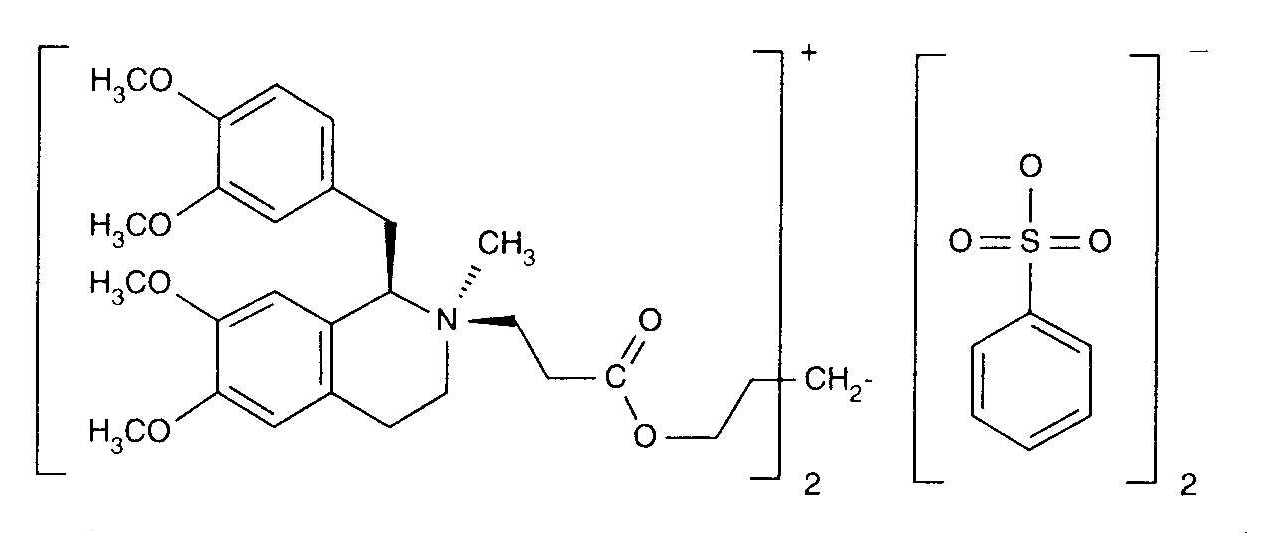
   Cấu trúc hóa học  

Tên thương mại   Tên thương mại     

Các tên thương mại được cung cấp và thành phần tá dược có thể khác nhau giữa các quốc gia và các hãng dược

Bensitrak Mexico
Besilato de cisatracurio
Cicuryl Mexico
Cirium Colombia
Cis Atracure
Cisatracurio Brazil, Chile, Colombia, Ecuador, Peru, Tây Ban Nha, Ý
Cisatracurium Anh, Bỉ, Canada, Hungary, Ireland, Phần Lan, Pháp, Tunisia, Đức
Nimbex Ả Rập, Ả Rập Saudi, Anh, Áo, Ba Lan, Bỉ, Bồ Đào Nha, Canada, Chile, Ecuador, Hà Lan, Hoa Kỳ, Hungary, Hy Lạp, Iran, Ireland, Luxembourg, Malaysia, Mexico, Na Uy, Peru, Phần Lan, Pháp, Slovenia, Tây Ban Nha, Thổ Nhĩ Kỳ, Thụy Điển, Tunisia, United Arab Emirates, Venezuela, Ý, Đan Mạch, Đức
Nimbium Brazil, Colombia
Khả năng tương thích   Dạng tiêm   Khả năng tương thích : Cisatracurium besylate              
Màn hình này cho biết khả năng tương thích hoặc không tương thích, trong trường hợp này là loại không tương thích (kết tủa, thay đổi màu sắc, sửa đổi nhũ tương, v.v.). Sự tương hợp được chỉ ra ở đây chủ yếu chỉ là vật lý, với độ ổn định hóa học của mỗi phân tử hiếm khi được đánh giá. Việc đánh giá các hỗn hợp này được nghiên cứu để xem xét khả năng sử dụng vị trí Y cho bệnh nhân. Những dữ liệu này không thể được sử dụng để tạo hỗn hợp trước trong túi hoặc ống tiêm. Loại thông tin này có sẵn trong màn hình "Độ ổn định trong hỗn hợp».
Phân tử Dung môi Mục lục
Lượng mưa ngay lập tức Không tương thích
Dạng tiêm Cisatracurium besylate 5 mg/ml
Dạng tiêm Aciclovir sodium 7 mg/ml
Glucose 5% 299
Tương thích
Dạng tiêm Cisatracurium besylate 0.1 & 2 mg/ml
Dạng tiêm Aciclovir sodium 7 mg/ml
Glucose 5% 299
Tương thích
Dạng tiêm Cisatracurium besylate
Dạng tiêm Alfentanil hydrochloride
3601
Tương thích
Dạng tiêm Cisatracurium besylate 0.1 >> 5 mg/ml
Dạng tiêm Alfentanil hydrochloride 125 µg/ml
Glucose 5% 299
Lượng mưa ngay lập tức Không tương thích
Dạng tiêm Cisatracurium besylate 1,2 mg/ml
Dạng tiêm Alprostadil 20 µg/ml
Glucose 5% 4651
Lượng mưa ngay lập tức Không tương thích
Dạng tiêm Cisatracurium besylate 1,2 mg/ml
Dạng tiêm Alprostadil 20 µg/ml
Glucose 5% 4491
Tương thích
Dạng tiêm Cisatracurium besylate 0.1 >> 5 mg/ml
Dạng tiêm Amikacin sulfate 5 mg/ml
Glucose 5% 299
Tương thích
Dạng tiêm Cisatracurium besylate 0.1 & 2 mg/ml
Dạng tiêm Aminophylline 2.5 mg/ml
Glucose 5% 299
Độ đục trong một giờ Không tương thích
Dạng tiêm Cisatracurium besylate 5 mg/ml
Dạng tiêm Aminophylline 2.5 mg/ml
Glucose 5% 299
Tương thích
Dạng tiêm Cisatracurium besylate
Dạng tiêm Amiodarone hydrochloride
3464
Tương thích
Dạng tiêm Cisatracurium besylate 5 mg/ml
Dạng tiêm Amiodarone hydrochloride 15 mg/ml
Glucose 5% 3823
Tương thích
Dạng tiêm Cisatracurium besylate 0.1 mg/ml
Dạng tiêm Amphotericin B 0.6 mg/ml
Glucose 5% 299
Lượng mưa ngay lập tức Không tương thích
Dạng tiêm Cisatracurium besylate 2 & 5 mg/ml
Dạng tiêm Amphotericin B 0.6 mg/ml
Glucose 5% 299
Lượng mưa ngay lập tức Không tương thích
Dạng tiêm Cisatracurium besylate 2 mg/ml
Dạng tiêm Amphotericin B cholesteryl sulfate complex 0.83 mg/ml
Glucose 5% 921
Độ đục trong một giờ Không tương thích
Dạng tiêm Cisatracurium besylate 5 mg/ml
Dạng tiêm Ampicillin sodium 20 mg/ml
NaCl 0,9% 299
Tương thích
Dạng tiêm Cisatracurium besylate 0.1 & 2 mg/ml
Dạng tiêm Ampicillin sodium 20 mg/ml
Glucose 5% 299
Độ đục trong một giờ Không tương thích
Dạng tiêm Cisatracurium besylate 5 mg/ml
Dạng tiêm Ampicillin sodium 20 mg/ml
Glucose 5% 299
Độ đục ngay lập tức Không tương thích
Dạng tiêm Cisatracurium besylate 5 mg/ml
Dạng tiêm Ampicillin sodium - sulbactam sodium 20/10 mg/ml
Glucose 5% 299
Độ đục ngay lập tức Không tương thích
Dạng tiêm Cisatracurium besylate 5 mg/ml
Dạng tiêm Ampicillin sodium - sulbactam sodium 20/10 mg/ml
NaCl 0,9% 299
Tương thích
Dạng tiêm Cisatracurium besylate 0.1 & 2 mg/ml
Dạng tiêm Ampicillin sodium - sulbactam sodium 20/10 mg/ml
Glucose 5% 299
Tương thích
Dạng tiêm Cisatracurium besylate 0.1 >> 5 mg/ml
Dạng tiêm Aztreonam 40 mg/ml
Glucose 5% 299
Tương thích
Dạng tiêm Cisatracurium besylate 0.1 >> 5 mg/ml
Dạng tiêm Bumetanide 0.04 mg/ml
Glucose 5% 299
Tương thích
Dạng tiêm Cisatracurium besylate 0.1 >> 5 mg/ml
Dạng tiêm Buprenorphine hydrochloride 0.04 mg/ml
Glucose 5% 299
Tương thích
Dạng tiêm Cisatracurium besylate 0.1 >> 5 mg/ml
Dạng tiêm Butorphanol tartrate 0.04 mg/ml
Glucose 5% 299
Tương thích
Dạng tiêm Cisatracurium besylate 0.1 >> 5 mg/ml
Dạng tiêm Calcium gluconate 40 mg/ml
Glucose 5% 299
Tương thích
Dạng tiêm Cisatracurium besylate 1 mg/ml
Dạng tiêm Calcium gluconate 20 mg/ml
NaCl 0,9% 3429
Độ đục ngay lập tức Không tương thích
Dạng tiêm Cisatracurium besylate 2 & 5 mg/ml
Dạng tiêm Cefazolin sodium 20 mg/ml
Glucose 5% 299
Tương thích
Dạng tiêm Cisatracurium besylate 0.1 mg/ml
Dạng tiêm Cefazolin sodium 20 mg/ml
Glucose 5% 299
Tương thích
Dạng tiêm Cisatracurium besylate 0.4 mg/ml
Dạng tiêm Cefiderocol sulfate tosylate 20 mg/mL
Glucose 5% 4528
Tương thích
Dạng tiêm Cisatracurium besylate 0.4 mg/ml
Dạng tiêm Cefiderocol sulfate tosylate 20 mg/mL
NaCl 0,9% 4528
Lượng mưa ngay lập tức Không tương thích
Dạng tiêm Cisatracurium besylate 0.1 >> 5 mg/ml
Dạng tiêm Cefoperazone sodium 40 mg/ml
Glucose 5% 299
Tương thích
Dạng tiêm Cisatracurium besylate 0.1 >> 5 mg/ml
Dạng tiêm Cefoperazone sodium 40 mg/ml
Glucose 5% 299
Độ đục trong 4 giờ Không tương thích
Dạng tiêm Cisatracurium besylate 2 mg/ml
Dạng tiêm Cefotaxime sodium 20 mg/ml
Glucose 5% 299
Độ đục ngay lập tức Không tương thích
Dạng tiêm Cisatracurium besylate 5 mg/ml
Dạng tiêm Cefotaxime sodium 20 mg/ml
Glucose 5% 299
Tương thích
Dạng tiêm Cisatracurium besylate 0.1 mg/ml
Dạng tiêm Cefotaxime sodium 20 mg/ml
Glucose 5% 299
Tương thích
Dạng tiêm Cisatracurium besylate 0.1 mg/ml
Dạng tiêm Cefoxitin sodium 20 mg/ml
Glucose 5% 299
Độ đục ngay lập tức Không tương thích
Dạng tiêm Cisatracurium besylate 2 & 5 mg/ml
Dạng tiêm Cefoxitin sodium 20 mg/ml
Glucose 5% 299
Tương thích
Dạng tiêm Cisatracurium besylate 0,5 mg/ml
Dạng tiêm Ceftaroline fosamil 2,22 mg/ml
Dung dịch Ringer’s lactate 3249
Tương thích
Dạng tiêm Cisatracurium besylate 0,5 mg/ml
Dạng tiêm Ceftaroline fosamil 2,22 mg/ml
Glucose 5% 3249
Tương thích
Dạng tiêm Cisatracurium besylate 0,5 mg/ml
Dạng tiêm Ceftaroline fosamil 2,22 mg/ml
NaCl 0,9% 3249
Độ đục ngay lập tức Không tương thích
Dạng tiêm Cisatracurium besylate 5 mg/ml
Dạng tiêm Ceftazidime 40 mg/ml
Glucose 5% 299
Tương thích
Dạng tiêm Cisatracurium besylate 0.1 & 2 mg/ml
Dạng tiêm Ceftazidime 40 mg/ml
Glucose 5% 299
Tương thích
Dạng tiêm Cisatracurium besylate 0.1 & 2 mg/ml
Dạng tiêm Ceftizoxime sodium 20 mg/ml
Glucose 5% 299
Độ đục trong một giờ Không tương thích
Dạng tiêm Cisatracurium besylate 5 mg/ml
Dạng tiêm Ceftizoxime sodium 20 mg/ml
Glucose 5% 299
Lượng mưa ngay lập tức Không tương thích
Dạng tiêm Cisatracurium besylate 0.5 mg/ml
Dạng tiêm Ceftobiprole medocaril sodium 2 mg/ml
NaCl 0,9% 2269
Lượng mưa ngay lập tức Không tương thích
Dạng tiêm Cisatracurium besylate 0.5 mg/ml
Dạng tiêm Ceftobiprole medocaril sodium 2 mg/ml
Dung dịch Ringer’s lactate 2269
Lượng mưa ngay lập tức Không tương thích
Dạng tiêm Cisatracurium besylate 0.5 mg/ml
Dạng tiêm Ceftobiprole medocaril sodium 2 mg/ml
Glucose 5% 2269
Không tương thích không xác định Không tương thích
Dạng tiêm Cisatracurium besylate
Dạng tiêm Ceftobiprole medocaril sodium
4650
Tương thích
Dạng tiêm Cisatracurium besylate 0.4 mg/ml
Dạng tiêm Ceftolozane / tazobactam 10/5 mg/ml
Glucose 5% 3828
Tương thích
Dạng tiêm Cisatracurium besylate 0.4 mg/ml
Dạng tiêm Ceftolozane / tazobactam 10/5 mg/ml
NaCl 0,9% 3828
Tương thích
Dạng tiêm Cisatracurium besylate 0.1 >> 5 mg/ml
Dạng tiêm Ceftriaxone disodium 20 mg/ml
Glucose 5% 299
Lượng mưa ngay lập tức Không tương thích
Dạng tiêm Cisatracurium besylate 2 & 5 mg/ml
Dạng tiêm Cefuroxime sodium 30 mg/ml
Glucose 5% 299
Tương thích
Dạng tiêm Cisatracurium besylate 0.1 >> 5 mg/ml
Dạng tiêm Chlorpromazine hydrochloride 2 mg/ml
Glucose 5% 299
Tương thích
Dạng tiêm Cisatracurium besylate 0.1 >> 5 mg/ml
Dạng tiêm Cimetidine hydrochloride 12 mg/ml
Glucose 5% 299
Tương thích
Dạng tiêm Cisatracurium besylate 0.1 >> 5 mg/ml
Dạng tiêm Ciprofloxacin lactate 1 mg/ml
Glucose 5% 299
Tương thích
Dạng tiêm Cisatracurium besylate 0.1 >> 5 mg/ml
Dạng tiêm Clindamycin phosphate 10 mg/ml
Glucose 5% 299
Tương thích
Dạng tiêm Cisatracurium besylate 5 mg/ml
Dạng tiêm Clonazepam 0.2 mg/ml
NaCl 0,9% 3823
Tương thích
Dạng tiêm Cisatracurium besylate 5 mg/ml
Dạng tiêm Clonidine hydrochloride 0.012 mg/ml
NaCl 0,9% 3823
Độ đục ngay lập tức Không tương thích
Dạng tiêm Cisatracurium besylate 2 & 5 mg/ml
Dạng tiêm Co-trimoxazole 0,8/4 mg/ml
Glucose 5% 299
Tương thích
Dạng tiêm Cisatracurium besylate 0.1 mg/ml
Dạng tiêm Co-trimoxazole 0.8/4 mg/ml
Glucose 5% 299
Tương thích
Dạng tiêm Cisatracurium besylate 0.5 mg/ml
Dạng tiêm Dexmedetomidine 4 µg/ml
NaCl 0,9% 1712
Tương thích
Dạng tiêm Cisatracurium besylate 0.1 >> 5 mg/ml
Dạng tiêm Diazepam 0.25 mg/ml
Glucose 5% 299
Lượng mưa ngay lập tức Không tương thích
Dạng tiêm Cisatracurium besylate 0.1 >> 5 mg/ml
Dạng tiêm Diazepam 5 mg/ml
Glucose 5% 299
Không tương thích không xác định Không tương thích
Dạng tiêm Cisatracurium besylate 5 mg/ml
Dạng tiêm Diclofenac 3 mg/ml
NaCl 0,9% 3823
Tương thích
Dạng tiêm Cisatracurium besylate 0.1 >> 5 mg/ml
Dạng tiêm Digoxin 250 µg/ml
Glucose 5% 299
Tương thích
Dạng tiêm Cisatracurium besylate 1 mg/ml
Dạng tiêm Diltiazem hydrochloride 1 mg/ml
NaCl 0,9% 3429
Tương thích
Dạng tiêm Cisatracurium besylate 0.1 >> 5 mg/ml
Dạng tiêm Diphenhydramine hydrochloride 2 mg/ml
Glucose 5% 299
Tương thích
Dạng tiêm Cisatracurium besylate 0.1 >> 5 mg/ml
Dạng tiêm Dobutamine hydrochloride 4 mg/ml
Glucose 5% 299
Tương thích
Dạng tiêm Cisatracurium besylate 0.1 >> 5 mg/ml
Dạng tiêm Dopamine hydrochloride 3.2 mg/ml
Glucose 5% 299
Tương thích
Dạng tiêm Cisatracurium besylate 0.1 >> 5 mg/ml
Dạng tiêm Doxycycline hyclate 1 mg/ml
Glucose 5% 299
Tương thích
Dạng tiêm Cisatracurium besylate
Dạng tiêm Droperidol
3601
Tương thích
Dạng tiêm Cisatracurium besylate 0.1 >> 5 mg/ml
Dạng tiêm Droperidol 2.5 mg/ml
Glucose 5% 299
Tương thích
Dạng tiêm Cisatracurium besylate 0.1 >> 5 mg/ml
Dạng tiêm Enalaprilate 0.1 mg/ml
Glucose 5% 299
Tương thích
Dạng tiêm Cisatracurium besylate 0.1 >> 5 mg/ml
Dạng tiêm Epinephrine hydrochloride 50 µg/ml
Glucose 5% 299
Tương thích
Dạng tiêm Cisatracurium besylate 0,4 mg/ml
Dạng tiêm Eravacycline 0,6 mg/ml
NaCl 0,9% 4434
Tương thích
Dạng tiêm Cisatracurium besylate 0.1 >> 5 mg/ml
Dạng tiêm Esmolol hydrochloride 10 mg/ml
Glucose 5% 299
Tương thích
Dạng tiêm Cisatracurium besylate 0.4 mg/ml
Dạng tiêm Fosfomycin 30 mg/ml
Glucose 5% 4055
Độ đục ngay lập tức Không tương thích
Dạng tiêm Cisatracurium besylate 5 mg/ml
NaHCO3 3823
Tương thích
Dạng tiêm Cisatracurium besylate 5 mg/ml
Dạng tiêm Esmolol hydrochloride 10 mg/ml
NaCl 0,9% 3823
Tương thích
Dạng tiêm Cisatracurium besylate 2 mg/ml
Dạng tiêm Esmolol hydrochloride 10 mg/ml
NaCl 0,9% 3879
Tương thích
Dạng tiêm Cisatracurium besylate 1 mg/ml
Dạng tiêm Esomeprazole sodium 0,4 mg/ml
NaCl 0,9% 3429
Tương thích
Dạng tiêm Cisatracurium besylate 0.1 >> 5 mg/ml
Dạng tiêm Famotidine 2 mg/ml
Glucose 5% 299
Tương thích
Dạng tiêm Cisatracurium besylate 0.5 mg/ml
Dạng tiêm Fenoldopam mesylate 80 µg/ml
NaCl 0,9% 1803
Tương thích
Dạng tiêm Cisatracurium besylate 0.1 >> 5 mg/ml
Dạng tiêm Fentanyl citrate 12.5 µg/ml
Glucose 5% 299
Tương thích
Dạng tiêm Cisatracurium besylate
Dạng tiêm Fentanyl citrate
3601
Tương thích
Dạng tiêm Cisatracurium besylate 0.1 >> 5 mg/ml
Dạng tiêm Fluconazole 2 mg/ml
Glucose 5% 299
Tương thích
Dạng tiêm Cisatracurium besylate 0.4 mg/ml
Dạng tiêm Fosfomycin 30 mg/ml
NaCl 0,9% 4055
Không tương thích không xác định Không tương thích
Dạng tiêm Cisatracurium besylate
Dạng tiêm Furosemide
3465
Độ đục ngay lập tức Không tương thích
Dạng tiêm Cisatracurium besylate 2 & 5 mg/ml
NaHCO3 299
Lượng mưa ngay lập tức Không tương thích
Dạng tiêm Cisatracurium besylate 5 mg/ml
Dạng tiêm Furosemide 10 mg/ml
NaCl 0,9% 3463
Tương thích
Dạng tiêm Cisatracurium besylate 0.1 mg/ml
Dạng tiêm Furosemide 3 mg/ml
Glucose 5% 299
Không tương thích không xác định Không tương thích
Dạng tiêm Cisatracurium besylate 5 mg/ml
Dạng tiêm Furosemide 10 mg/ml
NaCl 0,9% 3823
Lượng mưa ngay lập tức Không tương thích
Dạng tiêm Cisatracurium besylate 5 mg/ml
Dạng tiêm Ganciclovir sodium 20 mg/ml
Glucose 5% 299
Không tương thích không xác định Không tương thích
Dạng tiêm Cisatracurium besylate
NaHCO3 3466
Tương thích
Dạng tiêm Cisatracurium besylate 0.1 & 2 mg/ml
Dạng tiêm Ganciclovir sodium 20 mg/ml
Glucose 5% 299
Không tương thích không xác định Không tương thích
Dạng tiêm Cisatracurium besylate
NaHCO3 3601
Lượng mưa ngay lập tức Không tương thích
Dạng tiêm Cisatracurium besylate 2 & 5 mg/ml
Dạng tiêm Furosemide 3 mg/ml
Glucose 5% 299
Không tương thích không xác định Không tương thích
Dạng tiêm Cisatracurium besylate 5 mg/ml
Dạng tiêm Furosemide 10 mg/ml
Không 3134
Tương thích
Dạng tiêm Cisatracurium besylate 0.1 >> 5 mg/ml
Dạng tiêm Gentamicin sulfate 5 mg/ml
Glucose 5% 299
Tương thích
Dạng tiêm Cisatracurium besylate 0.1 >> 5 mg/ml
Dạng tiêm Haloperidol lactate 0.2 mg/ml
Glucose 5% 299
Lượng mưa ngay lập tức Không tương thích
Dạng tiêm Cisatracurium besylate 5 mg/ml
Dạng tiêm Heparin sodium 100 UI/ml
Glucose 5% 299
Tính không ổn định của nhũ tương sau 4 giờ Không tương thích
Dạng tiêm Cisatracurium besylate 2 mg/ml
Dinh dưỡng đường tĩnh mạch (có lipids) 4507
Không tương thích không xác định Không tương thích
Dạng tiêm Cisatracurium besylate
Dung dịch Ringer’s lactate 3601
Thay đổi màu sắc Không tương thích
Dạng tiêm Cisatracurium besylate 5 mg/ml
Dạng tiêm Heparin sodium 500 UI/ml
NaCl 0,9% 3463
Tương thích
Dạng tiêm Cisatracurium besylate 0.1 & 2 mg/ml
Dạng tiêm Heparin sodium 100 UI/ml
Glucose 5% 299
Không tương thích không xác định Không tương thích
Dạng tiêm Cisatracurium besylate 5 mg/ml
Dạng tiêm Heparin sodium 500 UI/ml
NaCl 0,9% 3823
Tương thích
Dạng tiêm Cisatracurium besylate
Glucose 5% 3601
Không tương thích không xác định Không tương thích
Dạng tiêm Cisatracurium besylate
Dạng tiêm Heparin sodium
3540
Tương thích
Dạng tiêm Cisatracurium besylate 0.5 mg/ml
Dạng tiêm Hetastarch 60 mg/ml
dung môi cụ thể 1721
Tương thích
Dạng tiêm Cisatracurium besylate 0.1 >> 5 mg/ml
Dạng tiêm Hydrocortisone sodium succinate 1 mg/ml
Glucose 5% 299
Tương thích
Dạng tiêm Cisatracurium besylate 2 mg/ml
Dạng tiêm Hydrocortisone sodium succinate 1 mg/ml
NaCl 0,9% 4465
Tương thích
Dạng tiêm Cisatracurium besylate 0.1 >> 5 mg/ml
Dạng tiêm Hydromorphone hydrochloride 0.5 mg/ml
Glucose 5% 299
Tương thích
Dạng tiêm Cisatracurium besylate 0.1 >> 5 mg/ml
Dạng tiêm Hydroxyzine dihydrochloride 2 mg/ml
Glucose 5% 299
Tương thích
Dạng tiêm Cisatracurium besylate 0.1 >> 5 mg/ml
Dạng tiêm Imipenem - cilastatin sodium 10 mg/ml
Glucose 5% 299
Tương thích
Dạng tiêm Cisatracurium besylate 0,4 mg/ml
Dạng tiêm Imipenem-Cilastatin / Relebactam 5 mg/ml
NaCl 0,9% 4433
Tương thích
Dạng tiêm Cisatracurium besylate 0,4 mg/ml
Dạng tiêm Imipenem-Cilastatin / Relebactam 5 mg/ml
Glucose 5% 4433
Tương thích
Dạng tiêm Cisatracurium besylate 1 mg/ml
Dạng tiêm Insulin 1 UI/ml
NaCl 0,9% 3429
Tương thích
Dạng tiêm Cisatracurium besylate 5 mg/ml
Dạng tiêm Insulin 2 UI/ml
NaCl 0,9% 3823
Tương thích
Dạng tiêm Cisatracurium besylate 0.4 mg/ml
Dạng tiêm Isavuconazonium sulfate 1.5 mg/ml
NaCl 0,9% 3829
Tương thích
Dạng tiêm Cisatracurium besylate 0.4 mg/ml
Dạng tiêm Isavuconazonium sulfate 1.5 mg/ml
Glucose 5% 3829
Tương thích
Dạng tiêm Cisatracurium besylate 0.1 >> 5 mg/ml
Dạng tiêm Isoprenaline hydrochloride 0.02 mg/ml
Glucose 5% 299
Tương thích
Dạng tiêm Cisatracurium besylate 0.1 >> 5 mg/ml
Dạng tiêm Ketorolac tromethamine 15 mg/ml
Glucose 5% 299
Không tương thích không xác định Không tương thích
Dạng tiêm Cisatracurium besylate
Dạng tiêm Ketorolac tromethamine
3601
Tương thích
Dạng tiêm Cisatracurium besylate 0.1 >> 5 mg/ml
Dạng tiêm Lorazepam 0.5 mg/ml
Glucose 5% 299
Tương thích
Dạng tiêm Cisatracurium besylate 0.1 >> 5 mg/ml
Dạng tiêm Magnesium sulfate 100 mg/ml
Glucose 5% 299
Tương thích
Dạng tiêm Cisatracurium besylate 0.1 >> 5 mg/ml
Dạng tiêm Mannitol 150 mg/ml
Glucose 5% 299
Tương thích
Dạng tiêm Cisatracurium besylate
NaCl 0,9% 3601
Tương thích
Dạng tiêm Cisatracurium besylate 2 mg/ml
Dạng tiêm Labetalol hydrochloride 5 mg/ml
NaCl 0,9% 3879
Tương thích
Dạng tiêm Cisatracurium besylate 1 mg/ml
Dạng tiêm Levetiracetam 5 mg/ml
NaCl 0,9% 4569
Tương thích
Dạng tiêm Cisatracurium besylate 0.1 >> 5 mg/ml
Dạng tiêm Lidocaine hydrochloride 8 mg/ml
Glucose 5% 299
Tương thích
Dạng tiêm Cisatracurium besylate 2 mg/ml
Dạng tiêm Linezolid 2 mg/ml
Không 1925
Tương thích
Dạng tiêm Cisatracurium besylate 0.1 mg/ml
Dạng tiêm Methylprednisolone sodium succinate 5 mg/ml
Glucose 5% 299
Độ đục ngay lập tức Không tương thích
Dạng tiêm Cisatracurium besylate 2 & 5 mg/ml
Dạng tiêm Methylprednisolone sodium succinate 5 mg/ml
Glucose 5% 299
Tương thích
Dạng tiêm Cisatracurium besylate 0.1 >> 5 mg/ml
Dạng tiêm Metoclopramide hydrochloride 5 mg/ml
Glucose 5% 299
Tương thích
Dạng tiêm Cisatracurium besylate 2 mg/ml
Dạng tiêm Metoprolol tartrate 0.4 mg/ml
NaCl 0,9% 3879
Tương thích
Dạng tiêm Cisatracurium besylate 0.1 >> 5 mg/ml
Dạng tiêm Metronidazole 5 mg/ml
Glucose 5% 299
Lượng mưa ngay lập tức Không tương thích
Dạng tiêm Cisatracurium besylate 0.5 mg/ml
Dạng tiêm Micafungin 1.5 mg/ml
NaCl 0,9% 2108
Tương thích
Dạng tiêm Cisatracurium besylate
Dạng tiêm Midazolam hydrochloride
3601
Tương thích
Dạng tiêm Cisatracurium besylate 5 mg/ml
Dạng tiêm Midazolam hydrochloride 2.1 mg/ml
NaCl 0,9% 3823
Tương thích
Dạng tiêm Cisatracurium besylate 0.1 >> 5 mg/ml
Dạng tiêm Midazolam hydrochloride 1 mg/ml
Glucose 5% 299
Tương thích
Dạng tiêm Cisatracurium besylate 0.1 >> 5 mg/ml
Dạng tiêm Minocycline hydrochloride 0.2 mg/ml
Glucose 5% 299
Tương thích
Dạng tiêm Cisatracurium besylate 0.1 >> 5 mg/ml
Dạng tiêm Morphine sulfate 1 mg/ml
Glucose 5% 299
Tương thích
Dạng tiêm Cisatracurium besylate 0.1 >> 5 mg/ml
Dạng tiêm Nalbuphine hydrochloride 10 mg/ml
Glucose 5% 299
Tương thích
Dạng tiêm Cisatracurium besylate 0.1 >> 5 mg/ml
Dạng tiêm Netilmicin sulfate 5 mg/ml
Glucose 5% 299
Tương thích
Dạng tiêm Cisatracurium besylate 1 mg/ml
Dạng tiêm Nicardipine hydrochloride 0,5 mg/ml
NaCl 0,9% 3429
Tương thích
Dạng tiêm Cisatracurium besylate 5 mg/ml
Dạng tiêm Nimodipine 0.2 mg/ml
NaCl 0,9% 3823
Tương thích
Dạng tiêm Cisatracurium besylate 0.1 >> 5 mg/ml
Dạng tiêm Nitroglycerin 0.4 mg/ml
Glucose 5% 299
Tương thích
Dạng tiêm Cisatracurium besylate 5 mg/ml
Dạng tiêm Nitroglycerin 0.2 mg/ml
Glucose 5% 3823
Lượng mưa ngay lập tức Không tương thích
Dạng tiêm Cisatracurium besylate 2 & 5 mg/ml
Dạng tiêm Nitroprusside sodium 2 mg/ml
Glucose 5% 299
Tương thích
Dạng tiêm Cisatracurium besylate 0.1 mg/ml
Dạng tiêm Nitroprusside sodium 2 mg/ml
Glucose 5% 299
Tương thích
Dạng tiêm Cisatracurium besylate 0.1 >> 5 mg/ml
Dạng tiêm Norepinephrine bitartrate 0.12 mg/ml
Glucose 5% 299
Tương thích
Dạng tiêm Cisatracurium besylate 0.1 >> 5 mg/ml
Dạng tiêm Ofloxacin 4 mg/ml
Glucose 5% 299
Tương thích
Dạng tiêm Cisatracurium besylate 5 mg/ml
Dạng tiêm Omeprazole sodium 1.6 mg/ml
NaCl 0,9% 3823
Tương thích
Dạng tiêm Cisatracurium besylate 0.1 >> 5 mg/ml
Dạng tiêm Ondansetron hydrochloride 1 mg/ml
Glucose 5% 299
Tương thích
Dạng tiêm Cisatracurium besylate 0,5 mg/ml
Dạng tiêm Palonosetron hydrochloride 50 µg/ml
Glucose 5% 2227
Độ đục trong một giờ Không tương thích
Dạng tiêm Cisatracurium besylate 1 mg/ml
Dạng tiêm Pantoprazole sodium 0,8 mg/ml
NaCl 0,9% 3429
Tương thích
Dạng tiêm Cisatracurium besylate 0.1 >> 5 mg/ml
Dạng tiêm Pethidine hydrochloride 4 mg/ml
Glucose 5% 299
Tương thích
Dạng tiêm Cisatracurium besylate 0.1 >> 5 mg/ml
Dạng tiêm Phenylephrine hydrochloride 1 mg/ml
Glucose 5% 299
Tương thích
Dạng tiêm Cisatracurium besylate 0.1 mg/ml
Dạng tiêm Piperacillin sodium 40 mg/ml
Glucose 5% 299
Độ đục ngay lập tức Không tương thích
Dạng tiêm Cisatracurium besylate 2 & 5 mg/ml
Dạng tiêm Piperacillin sodium 40 mg/ml
Glucose 5% 299
Tương thích
Dạng tiêm Cisatracurium besylate 0.1 & 2 mg/ml
Dạng tiêm Piperacillin sodium / tazobactam 40/5 mg/ml
Glucose 5% 299
Lượng mưa sau 4 giờ Không tương thích
Dạng tiêm Cisatracurium besylate 5 mg/ml
Dạng tiêm Piperacillin sodium / tazobactam 40/5 mg/ml
Glucose 5% 299
Tương thích
Dạng tiêm Cisatracurium besylate 0.4 mg/ml
Dạng tiêm Plazomicin sulfate 24 mg/ml
NaCl 0,9% 4145
Tương thích
Dạng tiêm Cisatracurium besylate 0.1 >> 5 mg/ml
Dạng tiêm Potassium chloride 100 mEq/l
Glucose 5% 299
Tương thích
Dạng tiêm Cisatracurium besylate 5 mg/ml
Dạng tiêm Potassium chloride 10 mEq/l
NaCl 0,9% 3823
Tương thích
Dạng tiêm Cisatracurium besylate 0.1 >> 5 mg/ml
Dạng tiêm Procainamide hydrochloride 10 mg/ml
Glucose 5% 299
Tương thích
Dạng tiêm Cisatracurium besylate 0.1 >> 5 mg/ml
Dạng tiêm Prochlorperazine edysilate 0.5 mg/ml
Glucose 5% 299
Tương thích
Dạng tiêm Cisatracurium besylate 0.1 >> 5 mg/ml
Dạng tiêm Promethazine hydrochloride 2 mg/ml
Glucose 5% 299
Không tương thích không xác định Không tương thích
Dạng tiêm Cisatracurium besylate
Dạng tiêm Propofol
3601
Tương thích
Dạng tiêm Cisatracurium besylate 0.1 >> 5 mg/ml
Dạng tiêm Ranitidine hydrochloride 2 mg/ml
Glucose 5% 299
Tương thích
Dạng tiêm Cisatracurium besylate 5 mg/ml
Dạng tiêm Remifentanil hydrochloride 100 µg/ml
NaCl 0,9% 3823
Tương thích
Dạng tiêm Cisatracurium besylate 2 mg/ml
Dạng tiêm Remifentanil hydrochloride 25 & 250 µg/ml
NaCl 0,9% 59
Không tương thích không xác định Không tương thích
Dạng tiêm Cisatracurium besylate
Dạng tiêm Sodium bicarbonate
3466
Độ đục trong một giờ Không tương thích
Dạng tiêm Cisatracurium besylate 2 mg/ml
Dạng tiêm Sodium bicarbonate 84 mg/ml
Glucose 5% 299
Không tương thích không xác định Không tương thích
Dạng tiêm Cisatracurium besylate
Dạng tiêm Sodium bicarbonate
3601
Tương thích
Dạng tiêm Cisatracurium besylate 0.1 mg/ml
Dạng tiêm Sodium bicarbonate 84 mg/ml
Glucose 5% 299
Độ đục ngay lập tức Không tương thích
Dạng tiêm Cisatracurium besylate 5 mg/ml
Dạng tiêm Sodium bicarbonate 84 mg/ml
Glucose 5% 299
Độ đục trong 2 giờ Không tương thích
Dạng tiêm Cisatracurium besylate 5 mg/ml
Dạng tiêm Sodium bicarbonate 84 mg/ml
Không 3212
Tương thích
Dạng tiêm Cisatracurium besylate 0.1 >> 5 mg/ml
Dạng tiêm Sufentanil citrate 0.0125 mg/ml
Glucose 5% 299
Tương thích
Dạng tiêm Cisatracurium besylate
Dạng tiêm Sufentanil citrate
3601
Tương thích
Dạng tiêm Cisatracurium besylate 0,4 mg/ml
Dạng tiêm Sulbactam/durlobactam 15/15 mg/ml
NaCl 0,9% 4801
Tương thích
Dạng tiêm Cisatracurium besylate 0.4 mg/ml
Dạng tiêm Tedizolid phosphate 0.8 mg/ml
NaCl 0,9% 3827
Tương thích
Dạng tiêm Cisatracurium besylate 0.1 >> 5 mg/ml
Dạng tiêm Theophylline 3.2 mg/ml
Glucose 5% 299
Không tương thích không xác định Không tương thích
Dạng tiêm Cisatracurium besylate
Dạng tiêm Thiopental sodium
3601
Tương thích
Dạng tiêm Cisatracurium besylate 0.1 mg/ml
Dạng tiêm Thiopental sodium 25 mg/ml
Glucose 5% 299
Không tương thích không xác định Không tương thích
Dạng tiêm Cisatracurium besylate 5 mg/ml
Dạng tiêm Thiopental sodium 60 mg/ml
NaCl 0,9% 3823
Lượng mưa ngay lập tức Không tương thích
Dạng tiêm Cisatracurium besylate 2 & 5 mg/ml
Dạng tiêm Thiopental sodium 25 mg/ml
Glucose 5% 299
Tương thích
Dạng tiêm Cisatracurium besylate 0.1 & 2 mg/ml
Dạng tiêm Ticarcillin / clavulanic acid 30 mg/ml
Glucose 5% 299
Độ đục ngay lập tức Không tương thích
Dạng tiêm Cisatracurium besylate 5 mg/ml
Dạng tiêm Ticarcillin / clavulanic acid 30 mg/ml
Glucose 5% 299
Tương thích
Dạng tiêm Cisatracurium besylate 0.1 >> 5 mg/ml
Dạng tiêm Tobramycin sulfate 5 mg/ml
Glucose 5% 299
Tương thích
Dạng tiêm Cisatracurium besylate 0.1 >> 5 mg/ml
Dạng tiêm Vancomycin hydrochloride 10 mg/ml
Glucose 5% 299
Tương thích
Dạng tiêm Cisatracurium besylate 1 mg/ml
Dạng tiêm Vasopressin 1 UI/ml
NaCl 0,9% 3429
Tương thích
Dạng tiêm Cisatracurium besylate 0.1 >> 5 mg/ml
Dạng tiêm Zidovudine 4 mg/ml
Glucose 5% 299

  Mentions Légales