Última actualización :
18/03/2026
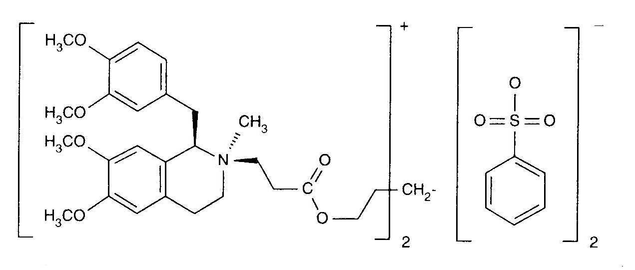
Curarizante   Cisatracurium besylate  
Inyectables
Estabilidad en solucion Estabilidad en mezcla Factores que influyen sobre la estabilidad Compatibilidades método de inyección Bibliografía pdf
   Estructura química  

Nombre comercial   Nombre comercial     

Los nombres comerciales son orientativos y los excipientes de la formulación pueden ser distintos dependiendo del país y del laboratorio fabricante.

Bensitrak México
Besilato de cisatracurio
Cicuryl México
Cirium Colombia
Cis Atracure
Cisatracurio Brasil, Chile, Colombia, Ecuador, España, Italia, Marruecos
Cisatracurium Alemania, Bélgica, Canadá, Finlandia, Francia, Gran Bretaña, Hungría, Irlanda, Túnez
Nimbex Alemania, Arabia Saudita, Austria, Bélgica, Canadá, Chile, Dinamarca, Ecuador, Egipto, Emiratos Árabes Unidos, Eslovenia, España, Estados Unidos de América, Finlandia, Francia, Gran Bretaña, Grecia, Hungría, Irán, Irlanda, Italia, Luxemburgo, Malasia, Marruecos, México, Noruega, Países Bajos, Polonia, Portugal, Suecia, Túnez, Turquía, Venezuela
Nimbium Brasil, Colombia
Compatibilidades   Inyectables   Compatibilidades : Cisatracurium besylate              
Esta pantalla muestra las compatibilidades o incompatibilidades, así como el tipo de incompatibilidad (precipitación, cambio de color, modificación de una emulsión, etc). Las compatibilidades que se recogen aquí son fundamentalmente físicas, mostrando raramente la estabilidad química de la molécula. La evaluación de estas mezclas se estudió con el fin de de comprobar la posibilidad de administración en Y al paciente. Estos datos no pueden utilizarse en el caso de la preparación de mezclas dentro de bolsas o jeringas. Este tipo de información está disponible en la pantalla “Estabilidad en mezcla”.
Molécula Solvente Bibliografía
Precipitación inmediata Incompatible
Inyectables Cisatracurium besylate 5 mg/ml
Inyectables Aciclovir sodium 7 mg/ml
Glucosa 5% 299
Compatible
Inyectables Cisatracurium besylate 0.1 & 2 mg/ml
Inyectables Aciclovir sodium 7 mg/ml
Glucosa 5% 299
Compatible
Inyectables Cisatracurium besylate
Inyectables Alfentanil hydrochloride
3601
Compatible
Inyectables Cisatracurium besylate 0.1 >> 5 mg/ml
Inyectables Alfentanil hydrochloride 125 µg/ml
Glucosa 5% 299
Precipitación inmediata Incompatible
Inyectables Cisatracurium besylate 1,2 mg/ml
Inyectables Alprostadil 20 µg/ml
Glucosa 5% 4651
Precipitación inmediata Incompatible
Inyectables Cisatracurium besylate 1,2 mg/ml
Inyectables Alprostadil 20 µg/ml
Glucosa 5% 4491
Compatible
Inyectables Cisatracurium besylate 0.1 >> 5 mg/ml
Inyectables Amikacin sulfate 5 mg/ml
Glucosa 5% 299
Compatible
Inyectables Cisatracurium besylate 0.1 & 2 mg/ml
Inyectables Aminophylline 2.5 mg/ml
Glucosa 5% 299
Turbidez en una hora Incompatible
Inyectables Cisatracurium besylate 5 mg/ml
Inyectables Aminophylline 2.5 mg/ml
Glucosa 5% 299
Compatible
Inyectables Cisatracurium besylate
Inyectables Amiodarone hydrochloride
3464
Compatible
Inyectables Cisatracurium besylate 5 mg/ml
Inyectables Amiodarone hydrochloride 15 mg/ml
Glucosa 5% 3823
Compatible
Inyectables Cisatracurium besylate 0.1 mg/ml
Inyectables Amphotericin B 0.6 mg/ml
Glucosa 5% 299
Precipitación inmediata Incompatible
Inyectables Cisatracurium besylate 2 & 5 mg/ml
Inyectables Amphotericin B 0.6 mg/ml
Glucosa 5% 299
Precipitación inmediata Incompatible
Inyectables Cisatracurium besylate 2 mg/ml
Inyectables Amphotericin B cholesteryl sulfate complex 0.83 mg/ml
Glucosa 5% 921
Turbidez en una hora Incompatible
Inyectables Cisatracurium besylate 5 mg/ml
Inyectables Ampicillin sodium 20 mg/ml
Cloruro de sodio 0,9% 299
Compatible
Inyectables Cisatracurium besylate 0.1 & 2 mg/ml
Inyectables Ampicillin sodium 20 mg/ml
Glucosa 5% 299
Turbidez en una hora Incompatible
Inyectables Cisatracurium besylate 5 mg/ml
Inyectables Ampicillin sodium 20 mg/ml
Glucosa 5% 299
Turbidez inmediata Incompatible
Inyectables Cisatracurium besylate 5 mg/ml
Inyectables Ampicillin sodium - sulbactam sodium 20/10 mg/ml
Glucosa 5% 299
Turbidez inmediata Incompatible
Inyectables Cisatracurium besylate 5 mg/ml
Inyectables Ampicillin sodium - sulbactam sodium 20/10 mg/ml
Cloruro de sodio 0,9% 299
Compatible
Inyectables Cisatracurium besylate 0.1 & 2 mg/ml
Inyectables Ampicillin sodium - sulbactam sodium 20/10 mg/ml
Glucosa 5% 299
Compatible
Inyectables Cisatracurium besylate 0.1 >> 5 mg/ml
Inyectables Aztreonam 40 mg/ml
Glucosa 5% 299
Compatible
Inyectables Cisatracurium besylate 0.1 >> 5 mg/ml
Inyectables Bumetanide 0.04 mg/ml
Glucosa 5% 299
Compatible
Inyectables Cisatracurium besylate 0.1 >> 5 mg/ml
Inyectables Buprenorphine hydrochloride 0.04 mg/ml
Glucosa 5% 299
Compatible
Inyectables Cisatracurium besylate 0.1 >> 5 mg/ml
Inyectables Butorphanol tartrate 0.04 mg/ml
Glucosa 5% 299
Compatible
Inyectables Cisatracurium besylate 0.1 >> 5 mg/ml
Inyectables Calcium gluconate 40 mg/ml
Glucosa 5% 299
Compatible
Inyectables Cisatracurium besylate 1 mg/ml
Inyectables Calcium gluconate 20 mg/ml
Cloruro de sodio 0,9% 3429
Turbidez inmediata Incompatible
Inyectables Cisatracurium besylate 2 & 5 mg/ml
Inyectables Cefazolin sodium 20 mg/ml
Glucosa 5% 299
Compatible
Inyectables Cisatracurium besylate 0.1 mg/ml
Inyectables Cefazolin sodium 20 mg/ml
Glucosa 5% 299
Compatible
Inyectables Cisatracurium besylate 0.4 mg/ml
Inyectables Cefiderocol sulfate tosylate 20 mg/mL
Glucosa 5% 4528
Compatible
Inyectables Cisatracurium besylate 0.4 mg/ml
Inyectables Cefiderocol sulfate tosylate 20 mg/mL
Cloruro de sodio 0,9% 4528
Precipitación inmediata Incompatible
Inyectables Cisatracurium besylate 0.1 >> 5 mg/ml
Inyectables Cefoperazone sodium 40 mg/ml
Glucosa 5% 299
Compatible
Inyectables Cisatracurium besylate 0.1 >> 5 mg/ml
Inyectables Cefoperazone sodium 40 mg/ml
Glucosa 5% 299
Turbidez en 4 horas Incompatible
Inyectables Cisatracurium besylate 2 mg/ml
Inyectables Cefotaxime sodium 20 mg/ml
Glucosa 5% 299
Turbidez inmediata Incompatible
Inyectables Cisatracurium besylate 5 mg/ml
Inyectables Cefotaxime sodium 20 mg/ml
Glucosa 5% 299
Compatible
Inyectables Cisatracurium besylate 0.1 mg/ml
Inyectables Cefotaxime sodium 20 mg/ml
Glucosa 5% 299
Compatible
Inyectables Cisatracurium besylate 0.1 mg/ml
Inyectables Cefoxitin sodium 20 mg/ml
Glucosa 5% 299
Turbidez inmediata Incompatible
Inyectables Cisatracurium besylate 2 & 5 mg/ml
Inyectables Cefoxitin sodium 20 mg/ml
Glucosa 5% 299
Compatible
Inyectables Cisatracurium besylate 0,5 mg/ml
Inyectables Ceftaroline fosamil 2,22 mg/ml
Ringer lactato 3249
Compatible
Inyectables Cisatracurium besylate 0,5 mg/ml
Inyectables Ceftaroline fosamil 2,22 mg/ml
Glucosa 5% 3249
Compatible
Inyectables Cisatracurium besylate 0,5 mg/ml
Inyectables Ceftaroline fosamil 2,22 mg/ml
Cloruro de sodio 0,9% 3249
Turbidez inmediata Incompatible
Inyectables Cisatracurium besylate 5 mg/ml
Inyectables Ceftazidime 40 mg/ml
Glucosa 5% 299
Compatible
Inyectables Cisatracurium besylate 0.1 & 2 mg/ml
Inyectables Ceftazidime 40 mg/ml
Glucosa 5% 299
Compatible
Inyectables Cisatracurium besylate 0.1 & 2 mg/ml
Inyectables Ceftizoxime sodium 20 mg/ml
Glucosa 5% 299
Turbidez en una hora Incompatible
Inyectables Cisatracurium besylate 5 mg/ml
Inyectables Ceftizoxime sodium 20 mg/ml
Glucosa 5% 299
Precipitación inmediata Incompatible
Inyectables Cisatracurium besylate 0.5 mg/ml
Inyectables Ceftobiprole medocaril sodium 2 mg/ml
Cloruro de sodio 0,9% 2269
Precipitación inmediata Incompatible
Inyectables Cisatracurium besylate 0.5 mg/ml
Inyectables Ceftobiprole medocaril sodium 2 mg/ml
Ringer lactato 2269
Precipitación inmediata Incompatible
Inyectables Cisatracurium besylate 0.5 mg/ml
Inyectables Ceftobiprole medocaril sodium 2 mg/ml
Glucosa 5% 2269
Incompatibilidad no especificada Incompatible
Inyectables Cisatracurium besylate
Inyectables Ceftobiprole medocaril sodium
4650
Compatible
Inyectables Cisatracurium besylate 0.4 mg/ml
Inyectables Ceftolozane / tazobactam 10/5 mg/ml
Glucosa 5% 3828
Compatible
Inyectables Cisatracurium besylate 0.4 mg/ml
Inyectables Ceftolozane / tazobactam 10/5 mg/ml
Cloruro de sodio 0,9% 3828
Compatible
Inyectables Cisatracurium besylate 0.1 >> 5 mg/ml
Inyectables Ceftriaxone disodium 20 mg/ml
Glucosa 5% 299
Precipitación inmediata Incompatible
Inyectables Cisatracurium besylate 2 & 5 mg/ml
Inyectables Cefuroxime sodium 30 mg/ml
Glucosa 5% 299
Compatible
Inyectables Cisatracurium besylate 0.1 >> 5 mg/ml
Inyectables Chlorpromazine hydrochloride 2 mg/ml
Glucosa 5% 299
Compatible
Inyectables Cisatracurium besylate 0.1 >> 5 mg/ml
Inyectables Cimetidine hydrochloride 12 mg/ml
Glucosa 5% 299
Compatible
Inyectables Cisatracurium besylate 0.1 >> 5 mg/ml
Inyectables Ciprofloxacin lactate 1 mg/ml
Glucosa 5% 299
Compatible
Inyectables Cisatracurium besylate 0.1 >> 5 mg/ml
Inyectables Clindamycin phosphate 10 mg/ml
Glucosa 5% 299
Compatible
Inyectables Cisatracurium besylate 5 mg/ml
Inyectables Clonazepam 0.2 mg/ml
Cloruro de sodio 0,9% 3823
Compatible
Inyectables Cisatracurium besylate 5 mg/ml
Inyectables Clonidine hydrochloride 0.012 mg/ml
Cloruro de sodio 0,9% 3823
Turbidez inmediata Incompatible
Inyectables Cisatracurium besylate 2 & 5 mg/ml
Inyectables Co-trimoxazole 0,8/4 mg/ml
Glucosa 5% 299
Compatible
Inyectables Cisatracurium besylate 0.1 mg/ml
Inyectables Co-trimoxazole 0.8/4 mg/ml
Glucosa 5% 299
Compatible
Inyectables Cisatracurium besylate 0.5 mg/ml
Inyectables Dexmedetomidine 4 µg/ml
Cloruro de sodio 0,9% 1712
Compatible
Inyectables Cisatracurium besylate 0.1 >> 5 mg/ml
Inyectables Diazepam 0.25 mg/ml
Glucosa 5% 299
Precipitación inmediata Incompatible
Inyectables Cisatracurium besylate 0.1 >> 5 mg/ml
Inyectables Diazepam 5 mg/ml
Glucosa 5% 299
Incompatibilidad no especificada Incompatible
Inyectables Cisatracurium besylate 5 mg/ml
Inyectables Diclofenac 3 mg/ml
Cloruro de sodio 0,9% 3823
Compatible
Inyectables Cisatracurium besylate 0.1 >> 5 mg/ml
Inyectables Digoxin 250 µg/ml
Glucosa 5% 299
Compatible
Inyectables Cisatracurium besylate 1 mg/ml
Inyectables Diltiazem hydrochloride 1 mg/ml
Cloruro de sodio 0,9% 3429
Compatible
Inyectables Cisatracurium besylate 0.1 >> 5 mg/ml
Inyectables Diphenhydramine hydrochloride 2 mg/ml
Glucosa 5% 299
Compatible
Inyectables Cisatracurium besylate 0.1 >> 5 mg/ml
Inyectables Dobutamine hydrochloride 4 mg/ml
Glucosa 5% 299
Compatible
Inyectables Cisatracurium besylate 0.1 >> 5 mg/ml
Inyectables Dopamine hydrochloride 3.2 mg/ml
Glucosa 5% 299
Compatible
Inyectables Cisatracurium besylate 0.1 >> 5 mg/ml
Inyectables Doxycycline hyclate 1 mg/ml
Glucosa 5% 299
Compatible
Inyectables Cisatracurium besylate
Inyectables Droperidol
3601
Compatible
Inyectables Cisatracurium besylate 0.1 >> 5 mg/ml
Inyectables Droperidol 2.5 mg/ml
Glucosa 5% 299
Compatible
Inyectables Cisatracurium besylate 0.1 >> 5 mg/ml
Inyectables Enalaprilate 0.1 mg/ml
Glucosa 5% 299
Compatible
Inyectables Cisatracurium besylate 0.1 >> 5 mg/ml
Inyectables Epinephrine hydrochloride 50 µg/ml
Glucosa 5% 299
Compatible
Inyectables Cisatracurium besylate 0,4 mg/ml
Inyectables Eravacycline 0,6 mg/ml
Cloruro de sodio 0,9% 4434
Compatible
Inyectables Cisatracurium besylate 0.1 >> 5 mg/ml
Inyectables Esmolol hydrochloride 10 mg/ml
Glucosa 5% 299
Compatible
Inyectables Cisatracurium besylate 0.4 mg/ml
Inyectables Fosfomycin 30 mg/ml
Glucosa 5% 4055
Turbidez inmediata Incompatible
Inyectables Cisatracurium besylate 5 mg/ml
NaHCO3 3823
Compatible
Inyectables Cisatracurium besylate 5 mg/ml
Inyectables Esmolol hydrochloride 10 mg/ml
Cloruro de sodio 0,9% 3823
Compatible
Inyectables Cisatracurium besylate 2 mg/ml
Inyectables Esmolol hydrochloride 10 mg/ml
Cloruro de sodio 0,9% 3879
Compatible
Inyectables Cisatracurium besylate 1 mg/ml
Inyectables Esomeprazole sodium 0,4 mg/ml
Cloruro de sodio 0,9% 3429
Compatible
Inyectables Cisatracurium besylate 0.1 >> 5 mg/ml
Inyectables Famotidine 2 mg/ml
Glucosa 5% 299
Compatible
Inyectables Cisatracurium besylate 0.5 mg/ml
Inyectables Fenoldopam mesylate 80 µg/ml
Cloruro de sodio 0,9% 1803
Compatible
Inyectables Cisatracurium besylate 0.1 >> 5 mg/ml
Inyectables Fentanyl citrate 12.5 µg/ml
Glucosa 5% 299
Compatible
Inyectables Cisatracurium besylate
Inyectables Fentanyl citrate
3601
Compatible
Inyectables Cisatracurium besylate 0.1 >> 5 mg/ml
Inyectables Fluconazole 2 mg/ml
Glucosa 5% 299
Compatible
Inyectables Cisatracurium besylate 0.4 mg/ml
Inyectables Fosfomycin 30 mg/ml
Cloruro de sodio 0,9% 4055
Incompatibilidad no especificada Incompatible
Inyectables Cisatracurium besylate
Inyectables Furosemide
3465
Turbidez inmediata Incompatible
Inyectables Cisatracurium besylate 2 & 5 mg/ml
NaHCO3 299
Precipitación inmediata Incompatible
Inyectables Cisatracurium besylate 5 mg/ml
Inyectables Furosemide 10 mg/ml
Cloruro de sodio 0,9% 3463
Compatible
Inyectables Cisatracurium besylate 0.1 mg/ml
Inyectables Furosemide 3 mg/ml
Glucosa 5% 299
Incompatibilidad no especificada Incompatible
Inyectables Cisatracurium besylate 5 mg/ml
Inyectables Furosemide 10 mg/ml
Cloruro de sodio 0,9% 3823
Precipitación inmediata Incompatible
Inyectables Cisatracurium besylate 5 mg/ml
Inyectables Ganciclovir sodium 20 mg/ml
Glucosa 5% 299
Incompatibilidad no especificada Incompatible
Inyectables Cisatracurium besylate
NaHCO3 3466
Compatible
Inyectables Cisatracurium besylate 0.1 & 2 mg/ml
Inyectables Ganciclovir sodium 20 mg/ml
Glucosa 5% 299
Incompatibilidad no especificada Incompatible
Inyectables Cisatracurium besylate
NaHCO3 3601
Precipitación inmediata Incompatible
Inyectables Cisatracurium besylate 2 & 5 mg/ml
Inyectables Furosemide 3 mg/ml
Glucosa 5% 299
Incompatibilidad no especificada Incompatible
Inyectables Cisatracurium besylate 5 mg/ml
Inyectables Furosemide 10 mg/ml
Ninguno 3134
Compatible
Inyectables Cisatracurium besylate 0.1 >> 5 mg/ml
Inyectables Gentamicin sulfate 5 mg/ml
Glucosa 5% 299
Compatible
Inyectables Cisatracurium besylate 0.1 >> 5 mg/ml
Inyectables Haloperidol lactate 0.2 mg/ml
Glucosa 5% 299
Precipitación inmediata Incompatible
Inyectables Cisatracurium besylate 5 mg/ml
Inyectables Heparin sodium 100 UI/ml
Glucosa 5% 299
Inestabilidad de la emulsión después de 4 horas. Incompatible
Inyectables Cisatracurium besylate 2 mg/ml
Nutrición parenteral (con lípidos) 4507
Incompatibilidad no especificada Incompatible
Inyectables Cisatracurium besylate
Ringer lactato 3601
Cambio de color Incompatible
Inyectables Cisatracurium besylate 5 mg/ml
Inyectables Heparin sodium 500 UI/ml
Cloruro de sodio 0,9% 3463
Compatible
Inyectables Cisatracurium besylate 0.1 & 2 mg/ml
Inyectables Heparin sodium 100 UI/ml
Glucosa 5% 299
Incompatibilidad no especificada Incompatible
Inyectables Cisatracurium besylate 5 mg/ml
Inyectables Heparin sodium 500 UI/ml
Cloruro de sodio 0,9% 3823
Compatible
Inyectables Cisatracurium besylate
Glucosa 5% 3601
Incompatibilidad no especificada Incompatible
Inyectables Cisatracurium besylate
Inyectables Heparin sodium
3540
Compatible
Inyectables Cisatracurium besylate 0.5 mg/ml
Inyectables Hetastarch 60 mg/ml
específico disolvente 1721
Compatible
Inyectables Cisatracurium besylate 0.1 >> 5 mg/ml
Inyectables Hydrocortisone sodium succinate 1 mg/ml
Glucosa 5% 299
Compatible
Inyectables Cisatracurium besylate 2 mg/ml
Inyectables Hydrocortisone sodium succinate 1 mg/ml
Cloruro de sodio 0,9% 4465
Compatible
Inyectables Cisatracurium besylate 0.1 >> 5 mg/ml
Inyectables Hydromorphone hydrochloride 0.5 mg/ml
Glucosa 5% 299
Compatible
Inyectables Cisatracurium besylate 0.1 >> 5 mg/ml
Inyectables Hydroxyzine dihydrochloride 2 mg/ml
Glucosa 5% 299
Compatible
Inyectables Cisatracurium besylate 0.1 >> 5 mg/ml
Inyectables Imipenem - cilastatin sodium 10 mg/ml
Glucosa 5% 299
Compatible
Inyectables Cisatracurium besylate 0,4 mg/ml
Inyectables Imipenem-Cilastatin / Relebactam 5 mg/ml
Cloruro de sodio 0,9% 4433
Compatible
Inyectables Cisatracurium besylate 0,4 mg/ml
Inyectables Imipenem-Cilastatin / Relebactam 5 mg/ml
Glucosa 5% 4433
Compatible
Inyectables Cisatracurium besylate 1 mg/ml
Inyectables Insulin 1 UI/ml
Cloruro de sodio 0,9% 3429
Compatible
Inyectables Cisatracurium besylate 5 mg/ml
Inyectables Insulin 2 UI/ml
Cloruro de sodio 0,9% 3823
Compatible
Inyectables Cisatracurium besylate 0.4 mg/ml
Inyectables Isavuconazonium sulfate 1.5 mg/ml
Cloruro de sodio 0,9% 3829
Compatible
Inyectables Cisatracurium besylate 0.4 mg/ml
Inyectables Isavuconazonium sulfate 1.5 mg/ml
Glucosa 5% 3829
Compatible
Inyectables Cisatracurium besylate 0.1 >> 5 mg/ml
Inyectables Isoprenaline hydrochloride 0.02 mg/ml
Glucosa 5% 299
Compatible
Inyectables Cisatracurium besylate 0.1 >> 5 mg/ml
Inyectables Ketorolac tromethamine 15 mg/ml
Glucosa 5% 299
Incompatibilidad no especificada Incompatible
Inyectables Cisatracurium besylate
Inyectables Ketorolac tromethamine
3601
Compatible
Inyectables Cisatracurium besylate 0.1 >> 5 mg/ml
Inyectables Lorazepam 0.5 mg/ml
Glucosa 5% 299
Compatible
Inyectables Cisatracurium besylate 0.1 >> 5 mg/ml
Inyectables Magnesium sulfate 100 mg/ml
Glucosa 5% 299
Compatible
Inyectables Cisatracurium besylate 0.1 >> 5 mg/ml
Inyectables Mannitol 150 mg/ml
Glucosa 5% 299
Compatible
Inyectables Cisatracurium besylate
Cloruro de sodio 0,9% 3601
Compatible
Inyectables Cisatracurium besylate 2 mg/ml
Inyectables Labetalol hydrochloride 5 mg/ml
Cloruro de sodio 0,9% 3879
Compatible
Inyectables Cisatracurium besylate 1 mg/ml
Inyectables Levetiracetam 5 mg/ml
Cloruro de sodio 0,9% 4569
Compatible
Inyectables Cisatracurium besylate 0.1 >> 5 mg/ml
Inyectables Lidocaine hydrochloride 8 mg/ml
Glucosa 5% 299
Compatible
Inyectables Cisatracurium besylate 2 mg/ml
Inyectables Linezolid 2 mg/ml
Ninguno 1925
Compatible
Inyectables Cisatracurium besylate 0.1 mg/ml
Inyectables Methylprednisolone sodium succinate 5 mg/ml
Glucosa 5% 299
Turbidez inmediata Incompatible
Inyectables Cisatracurium besylate 2 & 5 mg/ml
Inyectables Methylprednisolone sodium succinate 5 mg/ml
Glucosa 5% 299
Compatible
Inyectables Cisatracurium besylate 0.1 >> 5 mg/ml
Inyectables Metoclopramide hydrochloride 5 mg/ml
Glucosa 5% 299
Compatible
Inyectables Cisatracurium besylate 2 mg/ml
Inyectables Metoprolol tartrate 0.4 mg/ml
Cloruro de sodio 0,9% 3879
Compatible
Inyectables Cisatracurium besylate 0.1 >> 5 mg/ml
Inyectables Metronidazole 5 mg/ml
Glucosa 5% 299
Precipitación inmediata Incompatible
Inyectables Cisatracurium besylate 0.5 mg/ml
Inyectables Micafungin 1.5 mg/ml
Cloruro de sodio 0,9% 2108
Compatible
Inyectables Cisatracurium besylate
Inyectables Midazolam hydrochloride
3601
Compatible
Inyectables Cisatracurium besylate 5 mg/ml
Inyectables Midazolam hydrochloride 2.1 mg/ml
Cloruro de sodio 0,9% 3823
Compatible
Inyectables Cisatracurium besylate 0.1 >> 5 mg/ml
Inyectables Midazolam hydrochloride 1 mg/ml
Glucosa 5% 299
Compatible
Inyectables Cisatracurium besylate 0.1 >> 5 mg/ml
Inyectables Minocycline hydrochloride 0.2 mg/ml
Glucosa 5% 299
Compatible
Inyectables Cisatracurium besylate 0.1 >> 5 mg/ml
Inyectables Morphine sulfate 1 mg/ml
Glucosa 5% 299
Compatible
Inyectables Cisatracurium besylate 0.1 >> 5 mg/ml
Inyectables Nalbuphine hydrochloride 10 mg/ml
Glucosa 5% 299
Compatible
Inyectables Cisatracurium besylate 0.1 >> 5 mg/ml
Inyectables Netilmicin sulfate 5 mg/ml
Glucosa 5% 299
Compatible
Inyectables Cisatracurium besylate 1 mg/ml
Inyectables Nicardipine hydrochloride 0,5 mg/ml
Cloruro de sodio 0,9% 3429
Compatible
Inyectables Cisatracurium besylate 5 mg/ml
Inyectables Nimodipine 0.2 mg/ml
Cloruro de sodio 0,9% 3823
Compatible
Inyectables Cisatracurium besylate 0.1 >> 5 mg/ml
Inyectables Nitroglycerin 0.4 mg/ml
Glucosa 5% 299
Compatible
Inyectables Cisatracurium besylate 5 mg/ml
Inyectables Nitroglycerin 0.2 mg/ml
Glucosa 5% 3823
Precipitación inmediata Incompatible
Inyectables Cisatracurium besylate 2 & 5 mg/ml
Inyectables Nitroprusside sodium 2 mg/ml
Glucosa 5% 299
Compatible
Inyectables Cisatracurium besylate 0.1 mg/ml
Inyectables Nitroprusside sodium 2 mg/ml
Glucosa 5% 299
Compatible
Inyectables Cisatracurium besylate 0.1 >> 5 mg/ml
Inyectables Norepinephrine bitartrate 0.12 mg/ml
Glucosa 5% 299
Compatible
Inyectables Cisatracurium besylate 0.1 >> 5 mg/ml
Inyectables Ofloxacin 4 mg/ml
Glucosa 5% 299
Compatible
Inyectables Cisatracurium besylate 5 mg/ml
Inyectables Omeprazole sodium 1.6 mg/ml
Cloruro de sodio 0,9% 3823
Compatible
Inyectables Cisatracurium besylate 0.1 >> 5 mg/ml
Inyectables Ondansetron hydrochloride 1 mg/ml
Glucosa 5% 299
Compatible
Inyectables Cisatracurium besylate 0,5 mg/ml
Inyectables Palonosetron hydrochloride 50 µg/ml
Glucosa 5% 2227
Turbidez en una hora Incompatible
Inyectables Cisatracurium besylate 1 mg/ml
Inyectables Pantoprazole sodium 0,8 mg/ml
Cloruro de sodio 0,9% 3429
Compatible
Inyectables Cisatracurium besylate 0.1 >> 5 mg/ml
Inyectables Pethidine hydrochloride 4 mg/ml
Glucosa 5% 299
Compatible
Inyectables Cisatracurium besylate 0.1 >> 5 mg/ml
Inyectables Phenylephrine hydrochloride 1 mg/ml
Glucosa 5% 299
Compatible
Inyectables Cisatracurium besylate 0.1 mg/ml
Inyectables Piperacillin sodium 40 mg/ml
Glucosa 5% 299
Turbidez inmediata Incompatible
Inyectables Cisatracurium besylate 2 & 5 mg/ml
Inyectables Piperacillin sodium 40 mg/ml
Glucosa 5% 299
Compatible
Inyectables Cisatracurium besylate 0.1 & 2 mg/ml
Inyectables Piperacillin sodium / tazobactam 40/5 mg/ml
Glucosa 5% 299
Precipitación después de 4 horas. Incompatible
Inyectables Cisatracurium besylate 5 mg/ml
Inyectables Piperacillin sodium / tazobactam 40/5 mg/ml
Glucosa 5% 299
Compatible
Inyectables Cisatracurium besylate 0.4 mg/ml
Inyectables Plazomicin sulfate 24 mg/ml
Cloruro de sodio 0,9% 4145
Compatible
Inyectables Cisatracurium besylate 0.1 >> 5 mg/ml
Inyectables Potassium chloride 100 mEq/l
Glucosa 5% 299
Compatible
Inyectables Cisatracurium besylate 5 mg/ml
Inyectables Potassium chloride 10 mEq/l
Cloruro de sodio 0,9% 3823
Compatible
Inyectables Cisatracurium besylate 0.1 >> 5 mg/ml
Inyectables Procainamide hydrochloride 10 mg/ml
Glucosa 5% 299
Compatible
Inyectables Cisatracurium besylate 0.1 >> 5 mg/ml
Inyectables Prochlorperazine edysilate 0.5 mg/ml
Glucosa 5% 299
Compatible
Inyectables Cisatracurium besylate 0.1 >> 5 mg/ml
Inyectables Promethazine hydrochloride 2 mg/ml
Glucosa 5% 299
Incompatibilidad no especificada Incompatible
Inyectables Cisatracurium besylate
Inyectables Propofol
3601
Compatible
Inyectables Cisatracurium besylate 0.1 >> 5 mg/ml
Inyectables Ranitidine hydrochloride 2 mg/ml
Glucosa 5% 299
Compatible
Inyectables Cisatracurium besylate 5 mg/ml
Inyectables Remifentanil hydrochloride 100 µg/ml
Cloruro de sodio 0,9% 3823
Compatible
Inyectables Cisatracurium besylate 2 mg/ml
Inyectables Remifentanil hydrochloride 25 & 250 µg/ml
Cloruro de sodio 0,9% 59
Incompatibilidad no especificada Incompatible
Inyectables Cisatracurium besylate
Inyectables Sodium bicarbonate
3466
Turbidez en una hora Incompatible
Inyectables Cisatracurium besylate 2 mg/ml
Inyectables Sodium bicarbonate 84 mg/ml
Glucosa 5% 299
Incompatibilidad no especificada Incompatible
Inyectables Cisatracurium besylate
Inyectables Sodium bicarbonate
3601
Compatible
Inyectables Cisatracurium besylate 0.1 mg/ml
Inyectables Sodium bicarbonate 84 mg/ml
Glucosa 5% 299
Turbidez inmediata Incompatible
Inyectables Cisatracurium besylate 5 mg/ml
Inyectables Sodium bicarbonate 84 mg/ml
Glucosa 5% 299
Turbidez en 2 horas Incompatible
Inyectables Cisatracurium besylate 5 mg/ml
Inyectables Sodium bicarbonate 84 mg/ml
Ninguno 3212
Compatible
Inyectables Cisatracurium besylate 0.1 >> 5 mg/ml
Inyectables Sufentanil citrate 0.0125 mg/ml
Glucosa 5% 299
Compatible
Inyectables Cisatracurium besylate
Inyectables Sufentanil citrate
3601
Compatible
Inyectables Cisatracurium besylate 0,4 mg/ml
Inyectables Sulbactam/durlobactam 15/15 mg/ml
Cloruro de sodio 0,9% 4801
Compatible
Inyectables Cisatracurium besylate 0.4 mg/ml
Inyectables Tedizolid phosphate 0.8 mg/ml
Cloruro de sodio 0,9% 3827
Compatible
Inyectables Cisatracurium besylate 0.1 >> 5 mg/ml
Inyectables Theophylline 3.2 mg/ml
Glucosa 5% 299
Incompatibilidad no especificada Incompatible
Inyectables Cisatracurium besylate
Inyectables Thiopental sodium
3601
Compatible
Inyectables Cisatracurium besylate 0.1 mg/ml
Inyectables Thiopental sodium 25 mg/ml
Glucosa 5% 299
Incompatibilidad no especificada Incompatible
Inyectables Cisatracurium besylate 5 mg/ml
Inyectables Thiopental sodium 60 mg/ml
Cloruro de sodio 0,9% 3823
Precipitación inmediata Incompatible
Inyectables Cisatracurium besylate 2 & 5 mg/ml
Inyectables Thiopental sodium 25 mg/ml
Glucosa 5% 299
Compatible
Inyectables Cisatracurium besylate 0.1 & 2 mg/ml
Inyectables Ticarcillin / clavulanic acid 30 mg/ml
Glucosa 5% 299
Turbidez inmediata Incompatible
Inyectables Cisatracurium besylate 5 mg/ml
Inyectables Ticarcillin / clavulanic acid 30 mg/ml
Glucosa 5% 299
Compatible
Inyectables Cisatracurium besylate 0.1 >> 5 mg/ml
Inyectables Tobramycin sulfate 5 mg/ml
Glucosa 5% 299
Compatible
Inyectables Cisatracurium besylate 0.1 >> 5 mg/ml
Inyectables Vancomycin hydrochloride 10 mg/ml
Glucosa 5% 299
Compatible
Inyectables Cisatracurium besylate 1 mg/ml
Inyectables Vasopressin 1 UI/ml
Cloruro de sodio 0,9% 3429
Compatible
Inyectables Cisatracurium besylate 0.1 >> 5 mg/ml
Inyectables Zidovudine 4 mg/ml
Glucosa 5% 299

  Mentions Légales