Ultimele actualizari :
18/03/2026
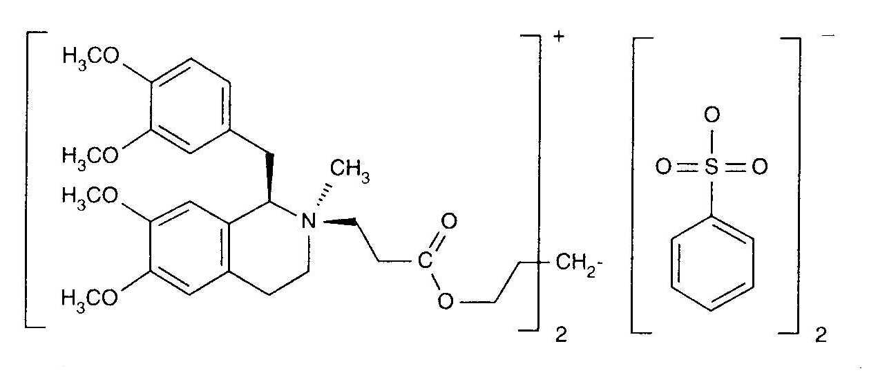
Curarizant   Cisatracurium besylate  
Injectabil
Stabilitatea in solutie Stabilitatea in amestec Factorii care influenteaza stabilitatea Compatibilitate Microunde Bibliografie pdf
   Formula chimica  

Denumirea comerciala   Denumirea comerciala     

Trade names are indicative and excipients composition can be different depending on the country and manufacturers

Bensitrak Mexic
Besilato de cisatracurio
Cicuryl Mexic
Cirium Columbia
Cis Atracure
Cisatracurio Brazilia, Chilli, Columbia, Ecuador, Italia, Peru, Spania
Cisatracurium Belgia, Canada, Finlanda, Franta, Germania, Irlanda, Marea Britanie, Tunisia, Ungaria
Nimbex Arabia Saudita, Austria, Belgia, Canada, Chilli, Danemarca, Ecuador, Egipt, Emiratele Arabe Unite, Finlanda, Franta, Germania, Grecia, Iran, Irlanda, Italia, Luxemburg, Malaezia, Marea Britanie, Mexic, Norvegia, Olanda, Peru, Polonia, Portugalia, Slovenia, Spania, SUA, Suedia, Tunisia, Turcia, Ungaria, Venezuela
Nimbium Brazilia, Columbia
Compatibilitate   Injectabil   Compatibilitate : Cisatracurium besylate              
Acest ecran indică compatibilitățile sau incompatibilitățile cu, în acest caz, tipul de incompatibilitate (precipitații, schimbarea culorii, modificarea unei emulsii etc.). Compatibilitățile prezentate aici sunt în mare parte numai fizice, stabilitatea chimică a fiecărei molecule fiind rareori evaluată. Evaluarea acestor amestecuri a fost studiată pentru a lua în considerare posibilitatea administrării site-ului Y la pacient. Aceste date nu pot fi utilizate pentru prepararea în prealabil a amestecurilor în pungi sau seringi. Acest tip de informații este disponibil în ecranul „Stabilitate în amestec».
Molecula (substanta activa) Solvent Bibiografie
Precipitații imediate Incompatibil
Injectabil Cisatracurium besylate 5 mg/ml
Injectabil Aciclovir sodium 7 mg/ml
Glucoza 5% 299
Compatibil
Injectabil Cisatracurium besylate 0.1 & 2 mg/ml
Injectabil Aciclovir sodium 7 mg/ml
Glucoza 5% 299
Compatibil
Injectabil Cisatracurium besylate
Injectabil Alfentanil hydrochloride
3601
Compatibil
Injectabil Cisatracurium besylate 0.1 >> 5 mg/ml
Injectabil Alfentanil hydrochloride 125 µg/ml
Glucoza 5% 299
Precipitații imediate Incompatibil
Injectabil Cisatracurium besylate 1,2 mg/ml
Injectabil Alprostadil 20 µg/ml
Glucoza 5% 4651
Precipitații imediate Incompatibil
Injectabil Cisatracurium besylate 1,2 mg/ml
Injectabil Alprostadil 20 µg/ml
Glucoza 5% 4491
Compatibil
Injectabil Cisatracurium besylate 0.1 >> 5 mg/ml
Injectabil Amikacin sulfate 5 mg/ml
Glucoza 5% 299
Compatibil
Injectabil Cisatracurium besylate 0.1 & 2 mg/ml
Injectabil Aminophylline 2.5 mg/ml
Glucoza 5% 299
Turbiditate într-o oră Incompatibil
Injectabil Cisatracurium besylate 5 mg/ml
Injectabil Aminophylline 2.5 mg/ml
Glucoza 5% 299
Compatibil
Injectabil Cisatracurium besylate
Injectabil Amiodarone hydrochloride
3464
Compatibil
Injectabil Cisatracurium besylate 5 mg/ml
Injectabil Amiodarone hydrochloride 15 mg/ml
Glucoza 5% 3823
Compatibil
Injectabil Cisatracurium besylate 0.1 mg/ml
Injectabil Amphotericin B 0.6 mg/ml
Glucoza 5% 299
Precipitații imediate Incompatibil
Injectabil Cisatracurium besylate 2 & 5 mg/ml
Injectabil Amphotericin B 0.6 mg/ml
Glucoza 5% 299
Precipitații imediate Incompatibil
Injectabil Cisatracurium besylate 2 mg/ml
Injectabil Amphotericin B cholesteryl sulfate complex 0.83 mg/ml
Glucoza 5% 921
Turbiditate într-o oră Incompatibil
Injectabil Cisatracurium besylate 5 mg/ml
Injectabil Ampicillin sodium 20 mg/ml
clorura de sodiu 0,9% 299
Compatibil
Injectabil Cisatracurium besylate 0.1 & 2 mg/ml
Injectabil Ampicillin sodium 20 mg/ml
Glucoza 5% 299
Turbiditate într-o oră Incompatibil
Injectabil Cisatracurium besylate 5 mg/ml
Injectabil Ampicillin sodium 20 mg/ml
Glucoza 5% 299
Turbiditate imediată Incompatibil
Injectabil Cisatracurium besylate 5 mg/ml
Injectabil Ampicillin sodium - sulbactam sodium 20/10 mg/ml
Glucoza 5% 299
Turbiditate imediată Incompatibil
Injectabil Cisatracurium besylate 5 mg/ml
Injectabil Ampicillin sodium - sulbactam sodium 20/10 mg/ml
clorura de sodiu 0,9% 299
Compatibil
Injectabil Cisatracurium besylate 0.1 & 2 mg/ml
Injectabil Ampicillin sodium - sulbactam sodium 20/10 mg/ml
Glucoza 5% 299
Compatibil
Injectabil Cisatracurium besylate 0.1 >> 5 mg/ml
Injectabil Aztreonam 40 mg/ml
Glucoza 5% 299
Compatibil
Injectabil Cisatracurium besylate 0.1 >> 5 mg/ml
Injectabil Bumetanide 0.04 mg/ml
Glucoza 5% 299
Compatibil
Injectabil Cisatracurium besylate 0.1 >> 5 mg/ml
Injectabil Buprenorphine hydrochloride 0.04 mg/ml
Glucoza 5% 299
Compatibil
Injectabil Cisatracurium besylate 0.1 >> 5 mg/ml
Injectabil Butorphanol tartrate 0.04 mg/ml
Glucoza 5% 299
Compatibil
Injectabil Cisatracurium besylate 0.1 >> 5 mg/ml
Injectabil Calcium gluconate 40 mg/ml
Glucoza 5% 299
Compatibil
Injectabil Cisatracurium besylate 1 mg/ml
Injectabil Calcium gluconate 20 mg/ml
clorura de sodiu 0,9% 3429
Turbiditate imediată Incompatibil
Injectabil Cisatracurium besylate 2 & 5 mg/ml
Injectabil Cefazolin sodium 20 mg/ml
Glucoza 5% 299
Compatibil
Injectabil Cisatracurium besylate 0.1 mg/ml
Injectabil Cefazolin sodium 20 mg/ml
Glucoza 5% 299
Compatibil
Injectabil Cisatracurium besylate 0.4 mg/ml
Injectabil Cefiderocol sulfate tosylate 20 mg/mL
Glucoza 5% 4528
Compatibil
Injectabil Cisatracurium besylate 0.4 mg/ml
Injectabil Cefiderocol sulfate tosylate 20 mg/mL
clorura de sodiu 0,9% 4528
Precipitații imediate Incompatibil
Injectabil Cisatracurium besylate 0.1 >> 5 mg/ml
Injectabil Cefoperazone sodium 40 mg/ml
Glucoza 5% 299
Compatibil
Injectabil Cisatracurium besylate 0.1 >> 5 mg/ml
Injectabil Cefoperazone sodium 40 mg/ml
Glucoza 5% 299
Turbiditate în 4 ore Incompatibil
Injectabil Cisatracurium besylate 2 mg/ml
Injectabil Cefotaxime sodium 20 mg/ml
Glucoza 5% 299
Turbiditate imediată Incompatibil
Injectabil Cisatracurium besylate 5 mg/ml
Injectabil Cefotaxime sodium 20 mg/ml
Glucoza 5% 299
Compatibil
Injectabil Cisatracurium besylate 0.1 mg/ml
Injectabil Cefotaxime sodium 20 mg/ml
Glucoza 5% 299
Compatibil
Injectabil Cisatracurium besylate 0.1 mg/ml
Injectabil Cefoxitin sodium 20 mg/ml
Glucoza 5% 299
Turbiditate imediată Incompatibil
Injectabil Cisatracurium besylate 2 & 5 mg/ml
Injectabil Cefoxitin sodium 20 mg/ml
Glucoza 5% 299
Compatibil
Injectabil Cisatracurium besylate 0,5 mg/ml
Injectabil Ceftaroline fosamil 2,22 mg/ml
Solutie Ringer lactat 3249
Compatibil
Injectabil Cisatracurium besylate 0,5 mg/ml
Injectabil Ceftaroline fosamil 2,22 mg/ml
Glucoza 5% 3249
Compatibil
Injectabil Cisatracurium besylate 0,5 mg/ml
Injectabil Ceftaroline fosamil 2,22 mg/ml
clorura de sodiu 0,9% 3249
Turbiditate imediată Incompatibil
Injectabil Cisatracurium besylate 5 mg/ml
Injectabil Ceftazidime 40 mg/ml
Glucoza 5% 299
Compatibil
Injectabil Cisatracurium besylate 0.1 & 2 mg/ml
Injectabil Ceftazidime 40 mg/ml
Glucoza 5% 299
Compatibil
Injectabil Cisatracurium besylate 0.1 & 2 mg/ml
Injectabil Ceftizoxime sodium 20 mg/ml
Glucoza 5% 299
Turbiditate într-o oră Incompatibil
Injectabil Cisatracurium besylate 5 mg/ml
Injectabil Ceftizoxime sodium 20 mg/ml
Glucoza 5% 299
Precipitații imediate Incompatibil
Injectabil Cisatracurium besylate 0.5 mg/ml
Injectabil Ceftobiprole medocaril sodium 2 mg/ml
clorura de sodiu 0,9% 2269
Precipitații imediate Incompatibil
Injectabil Cisatracurium besylate 0.5 mg/ml
Injectabil Ceftobiprole medocaril sodium 2 mg/ml
Solutie Ringer lactat 2269
Precipitații imediate Incompatibil
Injectabil Cisatracurium besylate 0.5 mg/ml
Injectabil Ceftobiprole medocaril sodium 2 mg/ml
Glucoza 5% 2269
Incompatibilitate nespecificată Incompatibil
Injectabil Cisatracurium besylate
Injectabil Ceftobiprole medocaril sodium
4650
Compatibil
Injectabil Cisatracurium besylate 0.4 mg/ml
Injectabil Ceftolozane / tazobactam 10/5 mg/ml
Glucoza 5% 3828
Compatibil
Injectabil Cisatracurium besylate 0.4 mg/ml
Injectabil Ceftolozane / tazobactam 10/5 mg/ml
clorura de sodiu 0,9% 3828
Compatibil
Injectabil Cisatracurium besylate 0.1 >> 5 mg/ml
Injectabil Ceftriaxone disodium 20 mg/ml
Glucoza 5% 299
Precipitații imediate Incompatibil
Injectabil Cisatracurium besylate 2 & 5 mg/ml
Injectabil Cefuroxime sodium 30 mg/ml
Glucoza 5% 299
Compatibil
Injectabil Cisatracurium besylate 0.1 >> 5 mg/ml
Injectabil Chlorpromazine hydrochloride 2 mg/ml
Glucoza 5% 299
Compatibil
Injectabil Cisatracurium besylate 0.1 >> 5 mg/ml
Injectabil Cimetidine hydrochloride 12 mg/ml
Glucoza 5% 299
Compatibil
Injectabil Cisatracurium besylate 0.1 >> 5 mg/ml
Injectabil Ciprofloxacin lactate 1 mg/ml
Glucoza 5% 299
Compatibil
Injectabil Cisatracurium besylate 0.1 >> 5 mg/ml
Injectabil Clindamycin phosphate 10 mg/ml
Glucoza 5% 299
Compatibil
Injectabil Cisatracurium besylate 5 mg/ml
Injectabil Clonazepam 0.2 mg/ml
clorura de sodiu 0,9% 3823
Compatibil
Injectabil Cisatracurium besylate 5 mg/ml
Injectabil Clonidine hydrochloride 0.012 mg/ml
clorura de sodiu 0,9% 3823
Turbiditate imediată Incompatibil
Injectabil Cisatracurium besylate 2 & 5 mg/ml
Injectabil Co-trimoxazole 0,8/4 mg/ml
Glucoza 5% 299
Compatibil
Injectabil Cisatracurium besylate 0.1 mg/ml
Injectabil Co-trimoxazole 0.8/4 mg/ml
Glucoza 5% 299
Compatibil
Injectabil Cisatracurium besylate 0.5 mg/ml
Injectabil Dexmedetomidine 4 µg/ml
clorura de sodiu 0,9% 1712
Compatibil
Injectabil Cisatracurium besylate 0.1 >> 5 mg/ml
Injectabil Diazepam 0.25 mg/ml
Glucoza 5% 299
Precipitații imediate Incompatibil
Injectabil Cisatracurium besylate 0.1 >> 5 mg/ml
Injectabil Diazepam 5 mg/ml
Glucoza 5% 299
Incompatibilitate nespecificată Incompatibil
Injectabil Cisatracurium besylate 5 mg/ml
Injectabil Diclofenac 3 mg/ml
clorura de sodiu 0,9% 3823
Compatibil
Injectabil Cisatracurium besylate 0.1 >> 5 mg/ml
Injectabil Digoxin 250 µg/ml
Glucoza 5% 299
Compatibil
Injectabil Cisatracurium besylate 1 mg/ml
Injectabil Diltiazem hydrochloride 1 mg/ml
clorura de sodiu 0,9% 3429
Compatibil
Injectabil Cisatracurium besylate 0.1 >> 5 mg/ml
Injectabil Diphenhydramine hydrochloride 2 mg/ml
Glucoza 5% 299
Compatibil
Injectabil Cisatracurium besylate 0.1 >> 5 mg/ml
Injectabil Dobutamine hydrochloride 4 mg/ml
Glucoza 5% 299
Compatibil
Injectabil Cisatracurium besylate 0.1 >> 5 mg/ml
Injectabil Dopamine hydrochloride 3.2 mg/ml
Glucoza 5% 299
Compatibil
Injectabil Cisatracurium besylate 0.1 >> 5 mg/ml
Injectabil Doxycycline hyclate 1 mg/ml
Glucoza 5% 299
Compatibil
Injectabil Cisatracurium besylate
Injectabil Droperidol
3601
Compatibil
Injectabil Cisatracurium besylate 0.1 >> 5 mg/ml
Injectabil Droperidol 2.5 mg/ml
Glucoza 5% 299
Compatibil
Injectabil Cisatracurium besylate 0.1 >> 5 mg/ml
Injectabil Enalaprilate 0.1 mg/ml
Glucoza 5% 299
Compatibil
Injectabil Cisatracurium besylate 0.1 >> 5 mg/ml
Injectabil Epinephrine hydrochloride 50 µg/ml
Glucoza 5% 299
Compatibil
Injectabil Cisatracurium besylate 0,4 mg/ml
Injectabil Eravacycline 0,6 mg/ml
clorura de sodiu 0,9% 4434
Compatibil
Injectabil Cisatracurium besylate 0.1 >> 5 mg/ml
Injectabil Esmolol hydrochloride 10 mg/ml
Glucoza 5% 299
Compatibil
Injectabil Cisatracurium besylate 0.4 mg/ml
Injectabil Fosfomycin 30 mg/ml
Glucoza 5% 4055
Turbiditate imediată Incompatibil
Injectabil Cisatracurium besylate 5 mg/ml
NaHCO3 3823
Compatibil
Injectabil Cisatracurium besylate 5 mg/ml
Injectabil Esmolol hydrochloride 10 mg/ml
clorura de sodiu 0,9% 3823
Compatibil
Injectabil Cisatracurium besylate 2 mg/ml
Injectabil Esmolol hydrochloride 10 mg/ml
clorura de sodiu 0,9% 3879
Compatibil
Injectabil Cisatracurium besylate 1 mg/ml
Injectabil Esomeprazole sodium 0,4 mg/ml
clorura de sodiu 0,9% 3429
Compatibil
Injectabil Cisatracurium besylate 0.1 >> 5 mg/ml
Injectabil Famotidine 2 mg/ml
Glucoza 5% 299
Compatibil
Injectabil Cisatracurium besylate 0.5 mg/ml
Injectabil Fenoldopam mesylate 80 µg/ml
clorura de sodiu 0,9% 1803
Compatibil
Injectabil Cisatracurium besylate 0.1 >> 5 mg/ml
Injectabil Fentanyl citrate 12.5 µg/ml
Glucoza 5% 299
Compatibil
Injectabil Cisatracurium besylate
Injectabil Fentanyl citrate
3601
Compatibil
Injectabil Cisatracurium besylate 0.1 >> 5 mg/ml
Injectabil Fluconazole 2 mg/ml
Glucoza 5% 299
Compatibil
Injectabil Cisatracurium besylate 0.4 mg/ml
Injectabil Fosfomycin 30 mg/ml
clorura de sodiu 0,9% 4055
Incompatibilitate nespecificată Incompatibil
Injectabil Cisatracurium besylate
Injectabil Furosemide
3465
Turbiditate imediată Incompatibil
Injectabil Cisatracurium besylate 2 & 5 mg/ml
NaHCO3 299
Precipitații imediate Incompatibil
Injectabil Cisatracurium besylate 5 mg/ml
Injectabil Furosemide 10 mg/ml
clorura de sodiu 0,9% 3463
Compatibil
Injectabil Cisatracurium besylate 0.1 mg/ml
Injectabil Furosemide 3 mg/ml
Glucoza 5% 299
Incompatibilitate nespecificată Incompatibil
Injectabil Cisatracurium besylate 5 mg/ml
Injectabil Furosemide 10 mg/ml
clorura de sodiu 0,9% 3823
Precipitații imediate Incompatibil
Injectabil Cisatracurium besylate 5 mg/ml
Injectabil Ganciclovir sodium 20 mg/ml
Glucoza 5% 299
Incompatibilitate nespecificată Incompatibil
Injectabil Cisatracurium besylate
NaHCO3 3466
Compatibil
Injectabil Cisatracurium besylate 0.1 & 2 mg/ml
Injectabil Ganciclovir sodium 20 mg/ml
Glucoza 5% 299
Incompatibilitate nespecificată Incompatibil
Injectabil Cisatracurium besylate
NaHCO3 3601
Precipitații imediate Incompatibil
Injectabil Cisatracurium besylate 2 & 5 mg/ml
Injectabil Furosemide 3 mg/ml
Glucoza 5% 299
Incompatibilitate nespecificată Incompatibil
Injectabil Cisatracurium besylate 5 mg/ml
Injectabil Furosemide 10 mg/ml
fara 3134
Compatibil
Injectabil Cisatracurium besylate 0.1 >> 5 mg/ml
Injectabil Gentamicin sulfate 5 mg/ml
Glucoza 5% 299
Compatibil
Injectabil Cisatracurium besylate 0.1 >> 5 mg/ml
Injectabil Haloperidol lactate 0.2 mg/ml
Glucoza 5% 299
Precipitații imediate Incompatibil
Injectabil Cisatracurium besylate 5 mg/ml
Injectabil Heparin sodium 100 UI/ml
Glucoza 5% 299
Instabilitatea emulsiei după 4 ore Incompatibil
Injectabil Cisatracurium besylate 2 mg/ml
Nutriție parenterală (cu lipide) 4507
Incompatibilitate nespecificată Incompatibil
Injectabil Cisatracurium besylate
Solutie Ringer lactat 3601
Schimbarea culorii Incompatibil
Injectabil Cisatracurium besylate 5 mg/ml
Injectabil Heparin sodium 500 UI/ml
clorura de sodiu 0,9% 3463
Compatibil
Injectabil Cisatracurium besylate 0.1 & 2 mg/ml
Injectabil Heparin sodium 100 UI/ml
Glucoza 5% 299
Incompatibilitate nespecificată Incompatibil
Injectabil Cisatracurium besylate 5 mg/ml
Injectabil Heparin sodium 500 UI/ml
clorura de sodiu 0,9% 3823
Compatibil
Injectabil Cisatracurium besylate
Glucoza 5% 3601
Incompatibilitate nespecificată Incompatibil
Injectabil Cisatracurium besylate
Injectabil Heparin sodium
3540
Compatibil
Injectabil Cisatracurium besylate 0.5 mg/ml
Injectabil Hetastarch 60 mg/ml
specific de solvent 1721
Compatibil
Injectabil Cisatracurium besylate 0.1 >> 5 mg/ml
Injectabil Hydrocortisone sodium succinate 1 mg/ml
Glucoza 5% 299
Compatibil
Injectabil Cisatracurium besylate 2 mg/ml
Injectabil Hydrocortisone sodium succinate 1 mg/ml
clorura de sodiu 0,9% 4465
Compatibil
Injectabil Cisatracurium besylate 0.1 >> 5 mg/ml
Injectabil Hydromorphone hydrochloride 0.5 mg/ml
Glucoza 5% 299
Compatibil
Injectabil Cisatracurium besylate 0.1 >> 5 mg/ml
Injectabil Hydroxyzine dihydrochloride 2 mg/ml
Glucoza 5% 299
Compatibil
Injectabil Cisatracurium besylate 0.1 >> 5 mg/ml
Injectabil Imipenem - cilastatin sodium 10 mg/ml
Glucoza 5% 299
Compatibil
Injectabil Cisatracurium besylate 0,4 mg/ml
Injectabil Imipenem-Cilastatin / Relebactam 5 mg/ml
clorura de sodiu 0,9% 4433
Compatibil
Injectabil Cisatracurium besylate 0,4 mg/ml
Injectabil Imipenem-Cilastatin / Relebactam 5 mg/ml
Glucoza 5% 4433
Compatibil
Injectabil Cisatracurium besylate 1 mg/ml
Injectabil Insulin 1 UI/ml
clorura de sodiu 0,9% 3429
Compatibil
Injectabil Cisatracurium besylate 5 mg/ml
Injectabil Insulin 2 UI/ml
clorura de sodiu 0,9% 3823
Compatibil
Injectabil Cisatracurium besylate 0.4 mg/ml
Injectabil Isavuconazonium sulfate 1.5 mg/ml
clorura de sodiu 0,9% 3829
Compatibil
Injectabil Cisatracurium besylate 0.4 mg/ml
Injectabil Isavuconazonium sulfate 1.5 mg/ml
Glucoza 5% 3829
Compatibil
Injectabil Cisatracurium besylate 0.1 >> 5 mg/ml
Injectabil Isoprenaline hydrochloride 0.02 mg/ml
Glucoza 5% 299
Compatibil
Injectabil Cisatracurium besylate 0.1 >> 5 mg/ml
Injectabil Ketorolac tromethamine 15 mg/ml
Glucoza 5% 299
Incompatibilitate nespecificată Incompatibil
Injectabil Cisatracurium besylate
Injectabil Ketorolac tromethamine
3601
Compatibil
Injectabil Cisatracurium besylate 0.1 >> 5 mg/ml
Injectabil Lorazepam 0.5 mg/ml
Glucoza 5% 299
Compatibil
Injectabil Cisatracurium besylate 0.1 >> 5 mg/ml
Injectabil Magnesium sulfate 100 mg/ml
Glucoza 5% 299
Compatibil
Injectabil Cisatracurium besylate 0.1 >> 5 mg/ml
Injectabil Mannitol 150 mg/ml
Glucoza 5% 299
Compatibil
Injectabil Cisatracurium besylate
clorura de sodiu 0,9% 3601
Compatibil
Injectabil Cisatracurium besylate 2 mg/ml
Injectabil Labetalol hydrochloride 5 mg/ml
clorura de sodiu 0,9% 3879
Compatibil
Injectabil Cisatracurium besylate 1 mg/ml
Injectabil Levetiracetam 5 mg/ml
clorura de sodiu 0,9% 4569
Compatibil
Injectabil Cisatracurium besylate 0.1 >> 5 mg/ml
Injectabil Lidocaine hydrochloride 8 mg/ml
Glucoza 5% 299
Compatibil
Injectabil Cisatracurium besylate 2 mg/ml
Injectabil Linezolid 2 mg/ml
fara 1925
Compatibil
Injectabil Cisatracurium besylate 0.1 mg/ml
Injectabil Methylprednisolone sodium succinate 5 mg/ml
Glucoza 5% 299
Turbiditate imediată Incompatibil
Injectabil Cisatracurium besylate 2 & 5 mg/ml
Injectabil Methylprednisolone sodium succinate 5 mg/ml
Glucoza 5% 299
Compatibil
Injectabil Cisatracurium besylate 0.1 >> 5 mg/ml
Injectabil Metoclopramide hydrochloride 5 mg/ml
Glucoza 5% 299
Compatibil
Injectabil Cisatracurium besylate 2 mg/ml
Injectabil Metoprolol tartrate 0.4 mg/ml
clorura de sodiu 0,9% 3879
Compatibil
Injectabil Cisatracurium besylate 0.1 >> 5 mg/ml
Injectabil Metronidazole 5 mg/ml
Glucoza 5% 299
Precipitații imediate Incompatibil
Injectabil Cisatracurium besylate 0.5 mg/ml
Injectabil Micafungin 1.5 mg/ml
clorura de sodiu 0,9% 2108
Compatibil
Injectabil Cisatracurium besylate
Injectabil Midazolam hydrochloride
3601
Compatibil
Injectabil Cisatracurium besylate 5 mg/ml
Injectabil Midazolam hydrochloride 2.1 mg/ml
clorura de sodiu 0,9% 3823
Compatibil
Injectabil Cisatracurium besylate 0.1 >> 5 mg/ml
Injectabil Midazolam hydrochloride 1 mg/ml
Glucoza 5% 299
Compatibil
Injectabil Cisatracurium besylate 0.1 >> 5 mg/ml
Injectabil Minocycline hydrochloride 0.2 mg/ml
Glucoza 5% 299
Compatibil
Injectabil Cisatracurium besylate 0.1 >> 5 mg/ml
Injectabil Morphine sulfate 1 mg/ml
Glucoza 5% 299
Compatibil
Injectabil Cisatracurium besylate 0.1 >> 5 mg/ml
Injectabil Nalbuphine hydrochloride 10 mg/ml
Glucoza 5% 299
Compatibil
Injectabil Cisatracurium besylate 0.1 >> 5 mg/ml
Injectabil Netilmicin sulfate 5 mg/ml
Glucoza 5% 299
Compatibil
Injectabil Cisatracurium besylate 1 mg/ml
Injectabil Nicardipine hydrochloride 0,5 mg/ml
clorura de sodiu 0,9% 3429
Compatibil
Injectabil Cisatracurium besylate 5 mg/ml
Injectabil Nimodipine 0.2 mg/ml
clorura de sodiu 0,9% 3823
Compatibil
Injectabil Cisatracurium besylate 0.1 >> 5 mg/ml
Injectabil Nitroglycerin 0.4 mg/ml
Glucoza 5% 299
Compatibil
Injectabil Cisatracurium besylate 5 mg/ml
Injectabil Nitroglycerin 0.2 mg/ml
Glucoza 5% 3823
Precipitații imediate Incompatibil
Injectabil Cisatracurium besylate 2 & 5 mg/ml
Injectabil Nitroprusside sodium 2 mg/ml
Glucoza 5% 299
Compatibil
Injectabil Cisatracurium besylate 0.1 mg/ml
Injectabil Nitroprusside sodium 2 mg/ml
Glucoza 5% 299
Compatibil
Injectabil Cisatracurium besylate 0.1 >> 5 mg/ml
Injectabil Norepinephrine bitartrate 0.12 mg/ml
Glucoza 5% 299
Compatibil
Injectabil Cisatracurium besylate 0.1 >> 5 mg/ml
Injectabil Ofloxacin 4 mg/ml
Glucoza 5% 299
Compatibil
Injectabil Cisatracurium besylate 5 mg/ml
Injectabil Omeprazole sodium 1.6 mg/ml
clorura de sodiu 0,9% 3823
Compatibil
Injectabil Cisatracurium besylate 0.1 >> 5 mg/ml
Injectabil Ondansetron hydrochloride 1 mg/ml
Glucoza 5% 299
Compatibil
Injectabil Cisatracurium besylate 0,5 mg/ml
Injectabil Palonosetron hydrochloride 50 µg/ml
Glucoza 5% 2227
Turbiditate într-o oră Incompatibil
Injectabil Cisatracurium besylate 1 mg/ml
Injectabil Pantoprazole sodium 0,8 mg/ml
clorura de sodiu 0,9% 3429
Compatibil
Injectabil Cisatracurium besylate 0.1 >> 5 mg/ml
Injectabil Pethidine hydrochloride 4 mg/ml
Glucoza 5% 299
Compatibil
Injectabil Cisatracurium besylate 0.1 >> 5 mg/ml
Injectabil Phenylephrine hydrochloride 1 mg/ml
Glucoza 5% 299
Compatibil
Injectabil Cisatracurium besylate 0.1 mg/ml
Injectabil Piperacillin sodium 40 mg/ml
Glucoza 5% 299
Turbiditate imediată Incompatibil
Injectabil Cisatracurium besylate 2 & 5 mg/ml
Injectabil Piperacillin sodium 40 mg/ml
Glucoza 5% 299
Compatibil
Injectabil Cisatracurium besylate 0.1 & 2 mg/ml
Injectabil Piperacillin sodium / tazobactam 40/5 mg/ml
Glucoza 5% 299
Precipitații după 4 ore Incompatibil
Injectabil Cisatracurium besylate 5 mg/ml
Injectabil Piperacillin sodium / tazobactam 40/5 mg/ml
Glucoza 5% 299
Compatibil
Injectabil Cisatracurium besylate 0.4 mg/ml
Injectabil Plazomicin sulfate 24 mg/ml
clorura de sodiu 0,9% 4145
Compatibil
Injectabil Cisatracurium besylate 0.1 >> 5 mg/ml
Injectabil Potassium chloride 100 mEq/l
Glucoza 5% 299
Compatibil
Injectabil Cisatracurium besylate 5 mg/ml
Injectabil Potassium chloride 10 mEq/l
clorura de sodiu 0,9% 3823
Compatibil
Injectabil Cisatracurium besylate 0.1 >> 5 mg/ml
Injectabil Procainamide hydrochloride 10 mg/ml
Glucoza 5% 299
Compatibil
Injectabil Cisatracurium besylate 0.1 >> 5 mg/ml
Injectabil Prochlorperazine edysilate 0.5 mg/ml
Glucoza 5% 299
Compatibil
Injectabil Cisatracurium besylate 0.1 >> 5 mg/ml
Injectabil Promethazine hydrochloride 2 mg/ml
Glucoza 5% 299
Incompatibilitate nespecificată Incompatibil
Injectabil Cisatracurium besylate
Injectabil Propofol
3601
Compatibil
Injectabil Cisatracurium besylate 0.1 >> 5 mg/ml
Injectabil Ranitidine hydrochloride 2 mg/ml
Glucoza 5% 299
Compatibil
Injectabil Cisatracurium besylate 5 mg/ml
Injectabil Remifentanil hydrochloride 100 µg/ml
clorura de sodiu 0,9% 3823
Compatibil
Injectabil Cisatracurium besylate 2 mg/ml
Injectabil Remifentanil hydrochloride 25 & 250 µg/ml
clorura de sodiu 0,9% 59
Incompatibilitate nespecificată Incompatibil
Injectabil Cisatracurium besylate
Injectabil Sodium bicarbonate
3466
Turbiditate într-o oră Incompatibil
Injectabil Cisatracurium besylate 2 mg/ml
Injectabil Sodium bicarbonate 84 mg/ml
Glucoza 5% 299
Incompatibilitate nespecificată Incompatibil
Injectabil Cisatracurium besylate
Injectabil Sodium bicarbonate
3601
Compatibil
Injectabil Cisatracurium besylate 0.1 mg/ml
Injectabil Sodium bicarbonate 84 mg/ml
Glucoza 5% 299
Turbiditate imediată Incompatibil
Injectabil Cisatracurium besylate 5 mg/ml
Injectabil Sodium bicarbonate 84 mg/ml
Glucoza 5% 299
Turbiditate în 2 ore Incompatibil
Injectabil Cisatracurium besylate 5 mg/ml
Injectabil Sodium bicarbonate 84 mg/ml
fara 3212
Compatibil
Injectabil Cisatracurium besylate 0.1 >> 5 mg/ml
Injectabil Sufentanil citrate 0.0125 mg/ml
Glucoza 5% 299
Compatibil
Injectabil Cisatracurium besylate
Injectabil Sufentanil citrate
3601
Compatibil
Injectabil Cisatracurium besylate 0,4 mg/ml
Injectabil Sulbactam/durlobactam 15/15 mg/ml
clorura de sodiu 0,9% 4801
Compatibil
Injectabil Cisatracurium besylate 0.4 mg/ml
Injectabil Tedizolid phosphate 0.8 mg/ml
clorura de sodiu 0,9% 3827
Compatibil
Injectabil Cisatracurium besylate 0.1 >> 5 mg/ml
Injectabil Theophylline 3.2 mg/ml
Glucoza 5% 299
Incompatibilitate nespecificată Incompatibil
Injectabil Cisatracurium besylate
Injectabil Thiopental sodium
3601
Compatibil
Injectabil Cisatracurium besylate 0.1 mg/ml
Injectabil Thiopental sodium 25 mg/ml
Glucoza 5% 299
Incompatibilitate nespecificată Incompatibil
Injectabil Cisatracurium besylate 5 mg/ml
Injectabil Thiopental sodium 60 mg/ml
clorura de sodiu 0,9% 3823
Precipitații imediate Incompatibil
Injectabil Cisatracurium besylate 2 & 5 mg/ml
Injectabil Thiopental sodium 25 mg/ml
Glucoza 5% 299
Compatibil
Injectabil Cisatracurium besylate 0.1 & 2 mg/ml
Injectabil Ticarcillin / clavulanic acid 30 mg/ml
Glucoza 5% 299
Turbiditate imediată Incompatibil
Injectabil Cisatracurium besylate 5 mg/ml
Injectabil Ticarcillin / clavulanic acid 30 mg/ml
Glucoza 5% 299
Compatibil
Injectabil Cisatracurium besylate 0.1 >> 5 mg/ml
Injectabil Tobramycin sulfate 5 mg/ml
Glucoza 5% 299
Compatibil
Injectabil Cisatracurium besylate 0.1 >> 5 mg/ml
Injectabil Vancomycin hydrochloride 10 mg/ml
Glucoza 5% 299
Compatibil
Injectabil Cisatracurium besylate 1 mg/ml
Injectabil Vasopressin 1 UI/ml
clorura de sodiu 0,9% 3429
Compatibil
Injectabil Cisatracurium besylate 0.1 >> 5 mg/ml
Injectabil Zidovudine 4 mg/ml
Glucoza 5% 299

  Mentions Légales