Τελευταία ενημέρωση :
18/03/2026
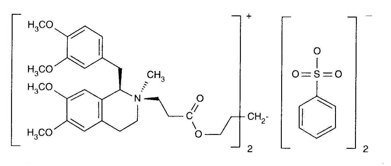
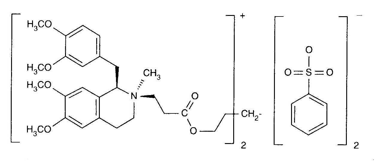
Κουραριομιμητικό   Cisatracurium besylate  
Ενέσιμο
Σταθερότητα διαλυμάτων Σταθερότητα σε μίγματα Παράγοντας που επηρεάζει τη σταθερότητα Συμβατότητες Τρόπος χορήγησης Βιβλιογραφία pdf
   χημική δομή  

Εμπορική ονομασία   Εμπορική ονομασία     

Οι εμπορικές ονομασίες είναι ενδεικτικές και η σύνθεση των εκδόχων μπορεί να διαφέρει ανάλογα με τη χώρα και τα εργαστήρια

Bensitrak Μεξικό
Besilato de cisatracurio
Cicuryl Μεξικό
Cirium Κολομβία
Cis Atracure
Cisatracurio Βραζιλία, Εκουαδόρ, Ισπανία, Ιταλία, Κολομβία, Περού, Χιλή
Cisatracurium Βέλγιο, Γαλλία, Γερμανία, Ιρλανδία, Καναδάς, Μεγάλη Βρετανία, Ουγγαρία, Τυνησία, Φινλανδία
Nimbex Yhdistyneet arabiemiirikunnat, Αίγυπτος, Αυστρία, Βέλγιο, Βενεζουέλα, Γαλλία, Γερμανία, Δανία, Εκουαδόρ, Ελλάδα, Η.Π.Α., Ιράν, Ιρλανδία, Ισπανία, Ιταλία, Καναδάς, Λουξεμβούργο, Μαλαισία, Μεγάλη Βρετανία, Μεξικό, Νορβηγία, Ολλανδία, Ουγγαρία, Περού, Πολωνία, Πορτογαλία, Σαουδική Αραβία, Σλοβενία, Σουηδία, Τουρκία, Τυνησία, Φινλανδία, Χιλή
Nimbium Βραζιλία, Κολομβία
Συμβατότητες    Ενέσιμο   Συμβατότητες : Cisatracurium besylate              
Σε αυτή την οθόνη εμφανίζονται οι συμβατότητες ή ασυμβατότητες. Σε αυτή την περίπτωση εμφανίζονται το είδος της ασυμβατότητας (ίζημα, αλλαγή χρώματος, μεταβολή γαλακτώματος, κλπ). Οι συμβατότητες που παρουσιάζονται εδώ είναι κυρίως φυσικές, ενώ η χημική σταθερότητα κάθε μορίου σπάνια περιλαμβάνεται. Η αξιολόγηση αυτών των μιγμάτων μελετήθηκε προκειμένου να εκτιμηθεί η πιθανότητα χορήγησης στον ασθενή στο Υ κέντρο. Τα δεδομένα αυτά δεν μπορούν να χρησιμοποιηθούν για την εκ των προτέρων δημιουργία μιγμάτων σε ασκούς ή σύριγγες. Αυτό το είδος πληροφορίας υπάρχει και μπορεί να αναζητηθεί στην οθόνη «Σταθερότητα σε μίγμα».
Συστατικό Διαλυτικό Βιβλιογραφία
Άμεση βροχόπτωση Ασύμβατες
Ενέσιμο Cisatracurium besylate 5 mg/ml
Ενέσιμο Aciclovir sodium 7 mg/ml
Γλυκόζη 5% 299
Σύμφωνος
Ενέσιμο Cisatracurium besylate 0.1 & 2 mg/ml
Ενέσιμο Aciclovir sodium 7 mg/ml
Γλυκόζη 5% 299
Σύμφωνος
Ενέσιμο Cisatracurium besylate
Ενέσιμο Alfentanil hydrochloride
3601
Σύμφωνος
Ενέσιμο Cisatracurium besylate 0.1 >> 5 mg/ml
Ενέσιμο Alfentanil hydrochloride 125 µg/ml
Γλυκόζη 5% 299
Άμεση βροχόπτωση Ασύμβατες
Ενέσιμο Cisatracurium besylate 1,2 mg/ml
Ενέσιμο Alprostadil 20 µg/ml
Γλυκόζη 5% 4651
Άμεση βροχόπτωση Ασύμβατες
Ενέσιμο Cisatracurium besylate 1,2 mg/ml
Ενέσιμο Alprostadil 20 µg/ml
Γλυκόζη 5% 4491
Σύμφωνος
Ενέσιμο Cisatracurium besylate 0.1 >> 5 mg/ml
Ενέσιμο Amikacin sulfate 5 mg/ml
Γλυκόζη 5% 299
Σύμφωνος
Ενέσιμο Cisatracurium besylate 0.1 & 2 mg/ml
Ενέσιμο Aminophylline 2.5 mg/ml
Γλυκόζη 5% 299
Мътност за един час Ασύμβατες
Ενέσιμο Cisatracurium besylate 5 mg/ml
Ενέσιμο Aminophylline 2.5 mg/ml
Γλυκόζη 5% 299
Σύμφωνος
Ενέσιμο Cisatracurium besylate
Ενέσιμο Amiodarone hydrochloride
3464
Σύμφωνος
Ενέσιμο Cisatracurium besylate 5 mg/ml
Ενέσιμο Amiodarone hydrochloride 15 mg/ml
Γλυκόζη 5% 3823
Σύμφωνος
Ενέσιμο Cisatracurium besylate 0.1 mg/ml
Ενέσιμο Amphotericin B 0.6 mg/ml
Γλυκόζη 5% 299
Άμεση βροχόπτωση Ασύμβατες
Ενέσιμο Cisatracurium besylate 2 & 5 mg/ml
Ενέσιμο Amphotericin B 0.6 mg/ml
Γλυκόζη 5% 299
Άμεση βροχόπτωση Ασύμβατες
Ενέσιμο Cisatracurium besylate 2 mg/ml
Ενέσιμο Amphotericin B cholesteryl sulfate complex 0.83 mg/ml
Γλυκόζη 5% 921
Мътност за един час Ασύμβατες
Ενέσιμο Cisatracurium besylate 5 mg/ml
Ενέσιμο Ampicillin sodium 20 mg/ml
Χλωριούχο νάτριο 0,9% 299
Σύμφωνος
Ενέσιμο Cisatracurium besylate 0.1 & 2 mg/ml
Ενέσιμο Ampicillin sodium 20 mg/ml
Γλυκόζη 5% 299
Мътност за един час Ασύμβατες
Ενέσιμο Cisatracurium besylate 5 mg/ml
Ενέσιμο Ampicillin sodium 20 mg/ml
Γλυκόζη 5% 299
Άμεση θολότητα Ασύμβατες
Ενέσιμο Cisatracurium besylate 5 mg/ml
Ενέσιμο Ampicillin sodium - sulbactam sodium 20/10 mg/ml
Γλυκόζη 5% 299
Άμεση θολότητα Ασύμβατες
Ενέσιμο Cisatracurium besylate 5 mg/ml
Ενέσιμο Ampicillin sodium - sulbactam sodium 20/10 mg/ml
Χλωριούχο νάτριο 0,9% 299
Σύμφωνος
Ενέσιμο Cisatracurium besylate 0.1 & 2 mg/ml
Ενέσιμο Ampicillin sodium - sulbactam sodium 20/10 mg/ml
Γλυκόζη 5% 299
Σύμφωνος
Ενέσιμο Cisatracurium besylate 0.1 >> 5 mg/ml
Ενέσιμο Aztreonam 40 mg/ml
Γλυκόζη 5% 299
Σύμφωνος
Ενέσιμο Cisatracurium besylate 0.1 >> 5 mg/ml
Ενέσιμο Bumetanide 0.04 mg/ml
Γλυκόζη 5% 299
Σύμφωνος
Ενέσιμο Cisatracurium besylate 0.1 >> 5 mg/ml
Ενέσιμο Buprenorphine hydrochloride 0.04 mg/ml
Γλυκόζη 5% 299
Σύμφωνος
Ενέσιμο Cisatracurium besylate 0.1 >> 5 mg/ml
Ενέσιμο Butorphanol tartrate 0.04 mg/ml
Γλυκόζη 5% 299
Σύμφωνος
Ενέσιμο Cisatracurium besylate 0.1 >> 5 mg/ml
Ενέσιμο Calcium gluconate 40 mg/ml
Γλυκόζη 5% 299
Σύμφωνος
Ενέσιμο Cisatracurium besylate 1 mg/ml
Ενέσιμο Calcium gluconate 20 mg/ml
Χλωριούχο νάτριο 0,9% 3429
Άμεση θολότητα Ασύμβατες
Ενέσιμο Cisatracurium besylate 2 & 5 mg/ml
Ενέσιμο Cefazolin sodium 20 mg/ml
Γλυκόζη 5% 299
Σύμφωνος
Ενέσιμο Cisatracurium besylate 0.1 mg/ml
Ενέσιμο Cefazolin sodium 20 mg/ml
Γλυκόζη 5% 299
Σύμφωνος
Ενέσιμο Cisatracurium besylate 0.4 mg/ml
Ενέσιμο Cefiderocol sulfate tosylate 20 mg/mL
Γλυκόζη 5% 4528
Σύμφωνος
Ενέσιμο Cisatracurium besylate 0.4 mg/ml
Ενέσιμο Cefiderocol sulfate tosylate 20 mg/mL
Χλωριούχο νάτριο 0,9% 4528
Άμεση βροχόπτωση Ασύμβατες
Ενέσιμο Cisatracurium besylate 0.1 >> 5 mg/ml
Ενέσιμο Cefoperazone sodium 40 mg/ml
Γλυκόζη 5% 299
Σύμφωνος
Ενέσιμο Cisatracurium besylate 0.1 >> 5 mg/ml
Ενέσιμο Cefoperazone sodium 40 mg/ml
Γλυκόζη 5% 299
Θολότητα σε 4 ώρες Ασύμβατες
Ενέσιμο Cisatracurium besylate 2 mg/ml
Ενέσιμο Cefotaxime sodium 20 mg/ml
Γλυκόζη 5% 299
Άμεση θολότητα Ασύμβατες
Ενέσιμο Cisatracurium besylate 5 mg/ml
Ενέσιμο Cefotaxime sodium 20 mg/ml
Γλυκόζη 5% 299
Σύμφωνος
Ενέσιμο Cisatracurium besylate 0.1 mg/ml
Ενέσιμο Cefotaxime sodium 20 mg/ml
Γλυκόζη 5% 299
Σύμφωνος
Ενέσιμο Cisatracurium besylate 0.1 mg/ml
Ενέσιμο Cefoxitin sodium 20 mg/ml
Γλυκόζη 5% 299
Άμεση θολότητα Ασύμβατες
Ενέσιμο Cisatracurium besylate 2 & 5 mg/ml
Ενέσιμο Cefoxitin sodium 20 mg/ml
Γλυκόζη 5% 299
Σύμφωνος
Ενέσιμο Cisatracurium besylate 0,5 mg/ml
Ενέσιμο Ceftaroline fosamil 2,22 mg/ml
Γαλακτικό διάλυμα Ringer 3249
Σύμφωνος
Ενέσιμο Cisatracurium besylate 0,5 mg/ml
Ενέσιμο Ceftaroline fosamil 2,22 mg/ml
Γλυκόζη 5% 3249
Σύμφωνος
Ενέσιμο Cisatracurium besylate 0,5 mg/ml
Ενέσιμο Ceftaroline fosamil 2,22 mg/ml
Χλωριούχο νάτριο 0,9% 3249
Άμεση θολότητα Ασύμβατες
Ενέσιμο Cisatracurium besylate 5 mg/ml
Ενέσιμο Ceftazidime 40 mg/ml
Γλυκόζη 5% 299
Σύμφωνος
Ενέσιμο Cisatracurium besylate 0.1 & 2 mg/ml
Ενέσιμο Ceftazidime 40 mg/ml
Γλυκόζη 5% 299
Σύμφωνος
Ενέσιμο Cisatracurium besylate 0.1 & 2 mg/ml
Ενέσιμο Ceftizoxime sodium 20 mg/ml
Γλυκόζη 5% 299
Мътност за един час Ασύμβατες
Ενέσιμο Cisatracurium besylate 5 mg/ml
Ενέσιμο Ceftizoxime sodium 20 mg/ml
Γλυκόζη 5% 299
Άμεση βροχόπτωση Ασύμβατες
Ενέσιμο Cisatracurium besylate 0.5 mg/ml
Ενέσιμο Ceftobiprole medocaril sodium 2 mg/ml
Χλωριούχο νάτριο 0,9% 2269
Άμεση βροχόπτωση Ασύμβατες
Ενέσιμο Cisatracurium besylate 0.5 mg/ml
Ενέσιμο Ceftobiprole medocaril sodium 2 mg/ml
Γαλακτικό διάλυμα Ringer 2269
Άμεση βροχόπτωση Ασύμβατες
Ενέσιμο Cisatracurium besylate 0.5 mg/ml
Ενέσιμο Ceftobiprole medocaril sodium 2 mg/ml
Γλυκόζη 5% 2269
Απροσδιόριστη ασυμβατότητα Ασύμβατες
Ενέσιμο Cisatracurium besylate
Ενέσιμο Ceftobiprole medocaril sodium
4650
Σύμφωνος
Ενέσιμο Cisatracurium besylate 0.4 mg/ml
Ενέσιμο Ceftolozane / tazobactam 10/5 mg/ml
Γλυκόζη 5% 3828
Σύμφωνος
Ενέσιμο Cisatracurium besylate 0.4 mg/ml
Ενέσιμο Ceftolozane / tazobactam 10/5 mg/ml
Χλωριούχο νάτριο 0,9% 3828
Σύμφωνος
Ενέσιμο Cisatracurium besylate 0.1 >> 5 mg/ml
Ενέσιμο Ceftriaxone disodium 20 mg/ml
Γλυκόζη 5% 299
Άμεση βροχόπτωση Ασύμβατες
Ενέσιμο Cisatracurium besylate 2 & 5 mg/ml
Ενέσιμο Cefuroxime sodium 30 mg/ml
Γλυκόζη 5% 299
Σύμφωνος
Ενέσιμο Cisatracurium besylate 0.1 >> 5 mg/ml
Ενέσιμο Chlorpromazine hydrochloride 2 mg/ml
Γλυκόζη 5% 299
Σύμφωνος
Ενέσιμο Cisatracurium besylate 0.1 >> 5 mg/ml
Ενέσιμο Cimetidine hydrochloride 12 mg/ml
Γλυκόζη 5% 299
Σύμφωνος
Ενέσιμο Cisatracurium besylate 0.1 >> 5 mg/ml
Ενέσιμο Ciprofloxacin lactate 1 mg/ml
Γλυκόζη 5% 299
Σύμφωνος
Ενέσιμο Cisatracurium besylate 0.1 >> 5 mg/ml
Ενέσιμο Clindamycin phosphate 10 mg/ml
Γλυκόζη 5% 299
Σύμφωνος
Ενέσιμο Cisatracurium besylate 5 mg/ml
Ενέσιμο Clonazepam 0.2 mg/ml
Χλωριούχο νάτριο 0,9% 3823
Σύμφωνος
Ενέσιμο Cisatracurium besylate 5 mg/ml
Ενέσιμο Clonidine hydrochloride 0.012 mg/ml
Χλωριούχο νάτριο 0,9% 3823
Άμεση θολότητα Ασύμβατες
Ενέσιμο Cisatracurium besylate 2 & 5 mg/ml
Ενέσιμο Co-trimoxazole 0,8/4 mg/ml
Γλυκόζη 5% 299
Σύμφωνος
Ενέσιμο Cisatracurium besylate 0.1 mg/ml
Ενέσιμο Co-trimoxazole 0.8/4 mg/ml
Γλυκόζη 5% 299
Σύμφωνος
Ενέσιμο Cisatracurium besylate 0.5 mg/ml
Ενέσιμο Dexmedetomidine 4 µg/ml
Χλωριούχο νάτριο 0,9% 1712
Σύμφωνος
Ενέσιμο Cisatracurium besylate 0.1 >> 5 mg/ml
Ενέσιμο Diazepam 0.25 mg/ml
Γλυκόζη 5% 299
Άμεση βροχόπτωση Ασύμβατες
Ενέσιμο Cisatracurium besylate 0.1 >> 5 mg/ml
Ενέσιμο Diazepam 5 mg/ml
Γλυκόζη 5% 299
Απροσδιόριστη ασυμβατότητα Ασύμβατες
Ενέσιμο Cisatracurium besylate 5 mg/ml
Ενέσιμο Diclofenac 3 mg/ml
Χλωριούχο νάτριο 0,9% 3823
Σύμφωνος
Ενέσιμο Cisatracurium besylate 0.1 >> 5 mg/ml
Ενέσιμο Digoxin 250 µg/ml
Γλυκόζη 5% 299
Σύμφωνος
Ενέσιμο Cisatracurium besylate 1 mg/ml
Ενέσιμο Diltiazem hydrochloride 1 mg/ml
Χλωριούχο νάτριο 0,9% 3429
Σύμφωνος
Ενέσιμο Cisatracurium besylate 0.1 >> 5 mg/ml
Ενέσιμο Diphenhydramine hydrochloride 2 mg/ml
Γλυκόζη 5% 299
Σύμφωνος
Ενέσιμο Cisatracurium besylate 0.1 >> 5 mg/ml
Ενέσιμο Dobutamine hydrochloride 4 mg/ml
Γλυκόζη 5% 299
Σύμφωνος
Ενέσιμο Cisatracurium besylate 0.1 >> 5 mg/ml
Ενέσιμο Dopamine hydrochloride 3.2 mg/ml
Γλυκόζη 5% 299
Σύμφωνος
Ενέσιμο Cisatracurium besylate 0.1 >> 5 mg/ml
Ενέσιμο Doxycycline hyclate 1 mg/ml
Γλυκόζη 5% 299
Σύμφωνος
Ενέσιμο Cisatracurium besylate
Ενέσιμο Droperidol
3601
Σύμφωνος
Ενέσιμο Cisatracurium besylate 0.1 >> 5 mg/ml
Ενέσιμο Droperidol 2.5 mg/ml
Γλυκόζη 5% 299
Σύμφωνος
Ενέσιμο Cisatracurium besylate 0.1 >> 5 mg/ml
Ενέσιμο Enalaprilate 0.1 mg/ml
Γλυκόζη 5% 299
Σύμφωνος
Ενέσιμο Cisatracurium besylate 0.1 >> 5 mg/ml
Ενέσιμο Epinephrine hydrochloride 50 µg/ml
Γλυκόζη 5% 299
Σύμφωνος
Ενέσιμο Cisatracurium besylate 0,4 mg/ml
Ενέσιμο Eravacycline 0,6 mg/ml
Χλωριούχο νάτριο 0,9% 4434
Σύμφωνος
Ενέσιμο Cisatracurium besylate 0.1 >> 5 mg/ml
Ενέσιμο Esmolol hydrochloride 10 mg/ml
Γλυκόζη 5% 299
Σύμφωνος
Ενέσιμο Cisatracurium besylate 0.4 mg/ml
Ενέσιμο Fosfomycin 30 mg/ml
Γλυκόζη 5% 4055
Άμεση θολότητα Ασύμβατες
Ενέσιμο Cisatracurium besylate 5 mg/ml
NaHCO3 3823
Σύμφωνος
Ενέσιμο Cisatracurium besylate 5 mg/ml
Ενέσιμο Esmolol hydrochloride 10 mg/ml
Χλωριούχο νάτριο 0,9% 3823
Σύμφωνος
Ενέσιμο Cisatracurium besylate 2 mg/ml
Ενέσιμο Esmolol hydrochloride 10 mg/ml
Χλωριούχο νάτριο 0,9% 3879
Σύμφωνος
Ενέσιμο Cisatracurium besylate 1 mg/ml
Ενέσιμο Esomeprazole sodium 0,4 mg/ml
Χλωριούχο νάτριο 0,9% 3429
Σύμφωνος
Ενέσιμο Cisatracurium besylate 0.1 >> 5 mg/ml
Ενέσιμο Famotidine 2 mg/ml
Γλυκόζη 5% 299
Σύμφωνος
Ενέσιμο Cisatracurium besylate 0.5 mg/ml
Ενέσιμο Fenoldopam mesylate 80 µg/ml
Χλωριούχο νάτριο 0,9% 1803
Σύμφωνος
Ενέσιμο Cisatracurium besylate 0.1 >> 5 mg/ml
Ενέσιμο Fentanyl citrate 12.5 µg/ml
Γλυκόζη 5% 299
Σύμφωνος
Ενέσιμο Cisatracurium besylate
Ενέσιμο Fentanyl citrate
3601
Σύμφωνος
Ενέσιμο Cisatracurium besylate 0.1 >> 5 mg/ml
Ενέσιμο Fluconazole 2 mg/ml
Γλυκόζη 5% 299
Σύμφωνος
Ενέσιμο Cisatracurium besylate 0.4 mg/ml
Ενέσιμο Fosfomycin 30 mg/ml
Χλωριούχο νάτριο 0,9% 4055
Απροσδιόριστη ασυμβατότητα Ασύμβατες
Ενέσιμο Cisatracurium besylate
Ενέσιμο Furosemide
3465
Άμεση θολότητα Ασύμβατες
Ενέσιμο Cisatracurium besylate 2 & 5 mg/ml
NaHCO3 299
Άμεση βροχόπτωση Ασύμβατες
Ενέσιμο Cisatracurium besylate 5 mg/ml
Ενέσιμο Furosemide 10 mg/ml
Χλωριούχο νάτριο 0,9% 3463
Σύμφωνος
Ενέσιμο Cisatracurium besylate 0.1 mg/ml
Ενέσιμο Furosemide 3 mg/ml
Γλυκόζη 5% 299
Απροσδιόριστη ασυμβατότητα Ασύμβατες
Ενέσιμο Cisatracurium besylate 5 mg/ml
Ενέσιμο Furosemide 10 mg/ml
Χλωριούχο νάτριο 0,9% 3823
Άμεση βροχόπτωση Ασύμβατες
Ενέσιμο Cisatracurium besylate 5 mg/ml
Ενέσιμο Ganciclovir sodium 20 mg/ml
Γλυκόζη 5% 299
Απροσδιόριστη ασυμβατότητα Ασύμβατες
Ενέσιμο Cisatracurium besylate
NaHCO3 3466
Σύμφωνος
Ενέσιμο Cisatracurium besylate 0.1 & 2 mg/ml
Ενέσιμο Ganciclovir sodium 20 mg/ml
Γλυκόζη 5% 299
Απροσδιόριστη ασυμβατότητα Ασύμβατες
Ενέσιμο Cisatracurium besylate
NaHCO3 3601
Άμεση βροχόπτωση Ασύμβατες
Ενέσιμο Cisatracurium besylate 2 & 5 mg/ml
Ενέσιμο Furosemide 3 mg/ml
Γλυκόζη 5% 299
Απροσδιόριστη ασυμβατότητα Ασύμβατες
Ενέσιμο Cisatracurium besylate 5 mg/ml
Ενέσιμο Furosemide 10 mg/ml
Ουδέν 3134
Σύμφωνος
Ενέσιμο Cisatracurium besylate 0.1 >> 5 mg/ml
Ενέσιμο Gentamicin sulfate 5 mg/ml
Γλυκόζη 5% 299
Σύμφωνος
Ενέσιμο Cisatracurium besylate 0.1 >> 5 mg/ml
Ενέσιμο Haloperidol lactate 0.2 mg/ml
Γλυκόζη 5% 299
Άμεση βροχόπτωση Ασύμβατες
Ενέσιμο Cisatracurium besylate 5 mg/ml
Ενέσιμο Heparin sodium 100 UI/ml
Γλυκόζη 5% 299
Αστάθεια του γαλακτώματος μετά από 4 ώρες Ασύμβατες
Ενέσιμο Cisatracurium besylate 2 mg/ml
Παρεντερική διατροφή (με λιπίδια) 4507
Απροσδιόριστη ασυμβατότητα Ασύμβατες
Ενέσιμο Cisatracurium besylate
Γαλακτικό διάλυμα Ringer 3601
Αλλαγή χρώματος Ασύμβατες
Ενέσιμο Cisatracurium besylate 5 mg/ml
Ενέσιμο Heparin sodium 500 UI/ml
Χλωριούχο νάτριο 0,9% 3463
Σύμφωνος
Ενέσιμο Cisatracurium besylate 0.1 & 2 mg/ml
Ενέσιμο Heparin sodium 100 UI/ml
Γλυκόζη 5% 299
Απροσδιόριστη ασυμβατότητα Ασύμβατες
Ενέσιμο Cisatracurium besylate 5 mg/ml
Ενέσιμο Heparin sodium 500 UI/ml
Χλωριούχο νάτριο 0,9% 3823
Σύμφωνος
Ενέσιμο Cisatracurium besylate
Γλυκόζη 5% 3601
Απροσδιόριστη ασυμβατότητα Ασύμβατες
Ενέσιμο Cisatracurium besylate
Ενέσιμο Heparin sodium
3540
Σύμφωνος
Ενέσιμο Cisatracurium besylate 0.5 mg/ml
Ενέσιμο Hetastarch 60 mg/ml
Ειδικά διαλύτη 1721
Σύμφωνος
Ενέσιμο Cisatracurium besylate 0.1 >> 5 mg/ml
Ενέσιμο Hydrocortisone sodium succinate 1 mg/ml
Γλυκόζη 5% 299
Σύμφωνος
Ενέσιμο Cisatracurium besylate 2 mg/ml
Ενέσιμο Hydrocortisone sodium succinate 1 mg/ml
Χλωριούχο νάτριο 0,9% 4465
Σύμφωνος
Ενέσιμο Cisatracurium besylate 0.1 >> 5 mg/ml
Ενέσιμο Hydromorphone hydrochloride 0.5 mg/ml
Γλυκόζη 5% 299
Σύμφωνος
Ενέσιμο Cisatracurium besylate 0.1 >> 5 mg/ml
Ενέσιμο Hydroxyzine dihydrochloride 2 mg/ml
Γλυκόζη 5% 299
Σύμφωνος
Ενέσιμο Cisatracurium besylate 0.1 >> 5 mg/ml
Ενέσιμο Imipenem - cilastatin sodium 10 mg/ml
Γλυκόζη 5% 299
Σύμφωνος
Ενέσιμο Cisatracurium besylate 0,4 mg/ml
Ενέσιμο Imipenem-Cilastatin / Relebactam 5 mg/ml
Χλωριούχο νάτριο 0,9% 4433
Σύμφωνος
Ενέσιμο Cisatracurium besylate 0,4 mg/ml
Ενέσιμο Imipenem-Cilastatin / Relebactam 5 mg/ml
Γλυκόζη 5% 4433
Σύμφωνος
Ενέσιμο Cisatracurium besylate 1 mg/ml
Ενέσιμο Insulin 1 UI/ml
Χλωριούχο νάτριο 0,9% 3429
Σύμφωνος
Ενέσιμο Cisatracurium besylate 5 mg/ml
Ενέσιμο Insulin 2 UI/ml
Χλωριούχο νάτριο 0,9% 3823
Σύμφωνος
Ενέσιμο Cisatracurium besylate 0.4 mg/ml
Ενέσιμο Isavuconazonium sulfate 1.5 mg/ml
Χλωριούχο νάτριο 0,9% 3829
Σύμφωνος
Ενέσιμο Cisatracurium besylate 0.4 mg/ml
Ενέσιμο Isavuconazonium sulfate 1.5 mg/ml
Γλυκόζη 5% 3829
Σύμφωνος
Ενέσιμο Cisatracurium besylate 0.1 >> 5 mg/ml
Ενέσιμο Isoprenaline hydrochloride 0.02 mg/ml
Γλυκόζη 5% 299
Σύμφωνος
Ενέσιμο Cisatracurium besylate 0.1 >> 5 mg/ml
Ενέσιμο Ketorolac tromethamine 15 mg/ml
Γλυκόζη 5% 299
Απροσδιόριστη ασυμβατότητα Ασύμβατες
Ενέσιμο Cisatracurium besylate
Ενέσιμο Ketorolac tromethamine
3601
Σύμφωνος
Ενέσιμο Cisatracurium besylate 0.1 >> 5 mg/ml
Ενέσιμο Lorazepam 0.5 mg/ml
Γλυκόζη 5% 299
Σύμφωνος
Ενέσιμο Cisatracurium besylate 0.1 >> 5 mg/ml
Ενέσιμο Magnesium sulfate 100 mg/ml
Γλυκόζη 5% 299
Σύμφωνος
Ενέσιμο Cisatracurium besylate 0.1 >> 5 mg/ml
Ενέσιμο Mannitol 150 mg/ml
Γλυκόζη 5% 299
Σύμφωνος
Ενέσιμο Cisatracurium besylate
Χλωριούχο νάτριο 0,9% 3601
Σύμφωνος
Ενέσιμο Cisatracurium besylate 2 mg/ml
Ενέσιμο Labetalol hydrochloride 5 mg/ml
Χλωριούχο νάτριο 0,9% 3879
Σύμφωνος
Ενέσιμο Cisatracurium besylate 1 mg/ml
Ενέσιμο Levetiracetam 5 mg/ml
Χλωριούχο νάτριο 0,9% 4569
Σύμφωνος
Ενέσιμο Cisatracurium besylate 0.1 >> 5 mg/ml
Ενέσιμο Lidocaine hydrochloride 8 mg/ml
Γλυκόζη 5% 299
Σύμφωνος
Ενέσιμο Cisatracurium besylate 2 mg/ml
Ενέσιμο Linezolid 2 mg/ml
Ουδέν 1925
Σύμφωνος
Ενέσιμο Cisatracurium besylate 0.1 mg/ml
Ενέσιμο Methylprednisolone sodium succinate 5 mg/ml
Γλυκόζη 5% 299
Άμεση θολότητα Ασύμβατες
Ενέσιμο Cisatracurium besylate 2 & 5 mg/ml
Ενέσιμο Methylprednisolone sodium succinate 5 mg/ml
Γλυκόζη 5% 299
Σύμφωνος
Ενέσιμο Cisatracurium besylate 0.1 >> 5 mg/ml
Ενέσιμο Metoclopramide hydrochloride 5 mg/ml
Γλυκόζη 5% 299
Σύμφωνος
Ενέσιμο Cisatracurium besylate 2 mg/ml
Ενέσιμο Metoprolol tartrate 0.4 mg/ml
Χλωριούχο νάτριο 0,9% 3879
Σύμφωνος
Ενέσιμο Cisatracurium besylate 0.1 >> 5 mg/ml
Ενέσιμο Metronidazole 5 mg/ml
Γλυκόζη 5% 299
Άμεση βροχόπτωση Ασύμβατες
Ενέσιμο Cisatracurium besylate 0.5 mg/ml
Ενέσιμο Micafungin 1.5 mg/ml
Χλωριούχο νάτριο 0,9% 2108
Σύμφωνος
Ενέσιμο Cisatracurium besylate
Ενέσιμο Midazolam hydrochloride
3601
Σύμφωνος
Ενέσιμο Cisatracurium besylate 5 mg/ml
Ενέσιμο Midazolam hydrochloride 2.1 mg/ml
Χλωριούχο νάτριο 0,9% 3823
Σύμφωνος
Ενέσιμο Cisatracurium besylate 0.1 >> 5 mg/ml
Ενέσιμο Midazolam hydrochloride 1 mg/ml
Γλυκόζη 5% 299
Σύμφωνος
Ενέσιμο Cisatracurium besylate 0.1 >> 5 mg/ml
Ενέσιμο Minocycline hydrochloride 0.2 mg/ml
Γλυκόζη 5% 299
Σύμφωνος
Ενέσιμο Cisatracurium besylate 0.1 >> 5 mg/ml
Ενέσιμο Morphine sulfate 1 mg/ml
Γλυκόζη 5% 299
Σύμφωνος
Ενέσιμο Cisatracurium besylate 0.1 >> 5 mg/ml
Ενέσιμο Nalbuphine hydrochloride 10 mg/ml
Γλυκόζη 5% 299
Σύμφωνος
Ενέσιμο Cisatracurium besylate 0.1 >> 5 mg/ml
Ενέσιμο Netilmicin sulfate 5 mg/ml
Γλυκόζη 5% 299
Σύμφωνος
Ενέσιμο Cisatracurium besylate 1 mg/ml
Ενέσιμο Nicardipine hydrochloride 0,5 mg/ml
Χλωριούχο νάτριο 0,9% 3429
Σύμφωνος
Ενέσιμο Cisatracurium besylate 5 mg/ml
Ενέσιμο Nimodipine 0.2 mg/ml
Χλωριούχο νάτριο 0,9% 3823
Σύμφωνος
Ενέσιμο Cisatracurium besylate 0.1 >> 5 mg/ml
Ενέσιμο Nitroglycerin 0.4 mg/ml
Γλυκόζη 5% 299
Σύμφωνος
Ενέσιμο Cisatracurium besylate 5 mg/ml
Ενέσιμο Nitroglycerin 0.2 mg/ml
Γλυκόζη 5% 3823
Άμεση βροχόπτωση Ασύμβατες
Ενέσιμο Cisatracurium besylate 2 & 5 mg/ml
Ενέσιμο Nitroprusside sodium 2 mg/ml
Γλυκόζη 5% 299
Σύμφωνος
Ενέσιμο Cisatracurium besylate 0.1 mg/ml
Ενέσιμο Nitroprusside sodium 2 mg/ml
Γλυκόζη 5% 299
Σύμφωνος
Ενέσιμο Cisatracurium besylate 0.1 >> 5 mg/ml
Ενέσιμο Norepinephrine bitartrate 0.12 mg/ml
Γλυκόζη 5% 299
Σύμφωνος
Ενέσιμο Cisatracurium besylate 0.1 >> 5 mg/ml
Ενέσιμο Ofloxacin 4 mg/ml
Γλυκόζη 5% 299
Σύμφωνος
Ενέσιμο Cisatracurium besylate 5 mg/ml
Ενέσιμο Omeprazole sodium 1.6 mg/ml
Χλωριούχο νάτριο 0,9% 3823
Σύμφωνος
Ενέσιμο Cisatracurium besylate 0.1 >> 5 mg/ml
Ενέσιμο Ondansetron hydrochloride 1 mg/ml
Γλυκόζη 5% 299
Σύμφωνος
Ενέσιμο Cisatracurium besylate 0,5 mg/ml
Ενέσιμο Palonosetron hydrochloride 50 µg/ml
Γλυκόζη 5% 2227
Мътност за един час Ασύμβατες
Ενέσιμο Cisatracurium besylate 1 mg/ml
Ενέσιμο Pantoprazole sodium 0,8 mg/ml
Χλωριούχο νάτριο 0,9% 3429
Σύμφωνος
Ενέσιμο Cisatracurium besylate 0.1 >> 5 mg/ml
Ενέσιμο Pethidine hydrochloride 4 mg/ml
Γλυκόζη 5% 299
Σύμφωνος
Ενέσιμο Cisatracurium besylate 0.1 >> 5 mg/ml
Ενέσιμο Phenylephrine hydrochloride 1 mg/ml
Γλυκόζη 5% 299
Σύμφωνος
Ενέσιμο Cisatracurium besylate 0.1 mg/ml
Ενέσιμο Piperacillin sodium 40 mg/ml
Γλυκόζη 5% 299
Άμεση θολότητα Ασύμβατες
Ενέσιμο Cisatracurium besylate 2 & 5 mg/ml
Ενέσιμο Piperacillin sodium 40 mg/ml
Γλυκόζη 5% 299
Σύμφωνος
Ενέσιμο Cisatracurium besylate 0.1 & 2 mg/ml
Ενέσιμο Piperacillin sodium / tazobactam 40/5 mg/ml
Γλυκόζη 5% 299
Καταβύθιση μετά από 4 ώρες Ασύμβατες
Ενέσιμο Cisatracurium besylate 5 mg/ml
Ενέσιμο Piperacillin sodium / tazobactam 40/5 mg/ml
Γλυκόζη 5% 299
Σύμφωνος
Ενέσιμο Cisatracurium besylate 0.4 mg/ml
Ενέσιμο Plazomicin sulfate 24 mg/ml
Χλωριούχο νάτριο 0,9% 4145
Σύμφωνος
Ενέσιμο Cisatracurium besylate 0.1 >> 5 mg/ml
Ενέσιμο Potassium chloride 100 mEq/l
Γλυκόζη 5% 299
Σύμφωνος
Ενέσιμο Cisatracurium besylate 5 mg/ml
Ενέσιμο Potassium chloride 10 mEq/l
Χλωριούχο νάτριο 0,9% 3823
Σύμφωνος
Ενέσιμο Cisatracurium besylate 0.1 >> 5 mg/ml
Ενέσιμο Procainamide hydrochloride 10 mg/ml
Γλυκόζη 5% 299
Σύμφωνος
Ενέσιμο Cisatracurium besylate 0.1 >> 5 mg/ml
Ενέσιμο Prochlorperazine edysilate 0.5 mg/ml
Γλυκόζη 5% 299
Σύμφωνος
Ενέσιμο Cisatracurium besylate 0.1 >> 5 mg/ml
Ενέσιμο Promethazine hydrochloride 2 mg/ml
Γλυκόζη 5% 299
Απροσδιόριστη ασυμβατότητα Ασύμβατες
Ενέσιμο Cisatracurium besylate
Ενέσιμο Propofol
3601
Σύμφωνος
Ενέσιμο Cisatracurium besylate 0.1 >> 5 mg/ml
Ενέσιμο Ranitidine hydrochloride 2 mg/ml
Γλυκόζη 5% 299
Σύμφωνος
Ενέσιμο Cisatracurium besylate 5 mg/ml
Ενέσιμο Remifentanil hydrochloride 100 µg/ml
Χλωριούχο νάτριο 0,9% 3823
Σύμφωνος
Ενέσιμο Cisatracurium besylate 2 mg/ml
Ενέσιμο Remifentanil hydrochloride 25 & 250 µg/ml
Χλωριούχο νάτριο 0,9% 59
Απροσδιόριστη ασυμβατότητα Ασύμβατες
Ενέσιμο Cisatracurium besylate
Ενέσιμο Sodium bicarbonate
3466
Мътност за един час Ασύμβατες
Ενέσιμο Cisatracurium besylate 2 mg/ml
Ενέσιμο Sodium bicarbonate 84 mg/ml
Γλυκόζη 5% 299
Απροσδιόριστη ασυμβατότητα Ασύμβατες
Ενέσιμο Cisatracurium besylate
Ενέσιμο Sodium bicarbonate
3601
Σύμφωνος
Ενέσιμο Cisatracurium besylate 0.1 mg/ml
Ενέσιμο Sodium bicarbonate 84 mg/ml
Γλυκόζη 5% 299
Άμεση θολότητα Ασύμβατες
Ενέσιμο Cisatracurium besylate 5 mg/ml
Ενέσιμο Sodium bicarbonate 84 mg/ml
Γλυκόζη 5% 299
Θολότητα σε 2 ώρες Ασύμβατες
Ενέσιμο Cisatracurium besylate 5 mg/ml
Ενέσιμο Sodium bicarbonate 84 mg/ml
Ουδέν 3212
Σύμφωνος
Ενέσιμο Cisatracurium besylate 0.1 >> 5 mg/ml
Ενέσιμο Sufentanil citrate 0.0125 mg/ml
Γλυκόζη 5% 299
Σύμφωνος
Ενέσιμο Cisatracurium besylate
Ενέσιμο Sufentanil citrate
3601
Σύμφωνος
Ενέσιμο Cisatracurium besylate 0,4 mg/ml
Ενέσιμο Sulbactam/durlobactam 15/15 mg/ml
Χλωριούχο νάτριο 0,9% 4801
Σύμφωνος
Ενέσιμο Cisatracurium besylate 0.4 mg/ml
Ενέσιμο Tedizolid phosphate 0.8 mg/ml
Χλωριούχο νάτριο 0,9% 3827
Σύμφωνος
Ενέσιμο Cisatracurium besylate 0.1 >> 5 mg/ml
Ενέσιμο Theophylline 3.2 mg/ml
Γλυκόζη 5% 299
Απροσδιόριστη ασυμβατότητα Ασύμβατες
Ενέσιμο Cisatracurium besylate
Ενέσιμο Thiopental sodium
3601
Σύμφωνος
Ενέσιμο Cisatracurium besylate 0.1 mg/ml
Ενέσιμο Thiopental sodium 25 mg/ml
Γλυκόζη 5% 299
Απροσδιόριστη ασυμβατότητα Ασύμβατες
Ενέσιμο Cisatracurium besylate 5 mg/ml
Ενέσιμο Thiopental sodium 60 mg/ml
Χλωριούχο νάτριο 0,9% 3823
Άμεση βροχόπτωση Ασύμβατες
Ενέσιμο Cisatracurium besylate 2 & 5 mg/ml
Ενέσιμο Thiopental sodium 25 mg/ml
Γλυκόζη 5% 299
Σύμφωνος
Ενέσιμο Cisatracurium besylate 0.1 & 2 mg/ml
Ενέσιμο Ticarcillin / clavulanic acid 30 mg/ml
Γλυκόζη 5% 299
Άμεση θολότητα Ασύμβατες
Ενέσιμο Cisatracurium besylate 5 mg/ml
Ενέσιμο Ticarcillin / clavulanic acid 30 mg/ml
Γλυκόζη 5% 299
Σύμφωνος
Ενέσιμο Cisatracurium besylate 0.1 >> 5 mg/ml
Ενέσιμο Tobramycin sulfate 5 mg/ml
Γλυκόζη 5% 299
Σύμφωνος
Ενέσιμο Cisatracurium besylate 0.1 >> 5 mg/ml
Ενέσιμο Vancomycin hydrochloride 10 mg/ml
Γλυκόζη 5% 299
Σύμφωνος
Ενέσιμο Cisatracurium besylate 1 mg/ml
Ενέσιμο Vasopressin 1 UI/ml
Χλωριούχο νάτριο 0,9% 3429
Σύμφωνος
Ενέσιμο Cisatracurium besylate 0.1 >> 5 mg/ml
Ενέσιμο Zidovudine 4 mg/ml
Γλυκόζη 5% 299

  Mentions Légales