Последнее обновление :
18/03/2026
Кураримиметик   Cisatracurium besylate  
Инъекция
Стабильность растворов Стабильность смесей Факторы, которые влияют на стабильность Совместимость Способы введения Библиография pdf
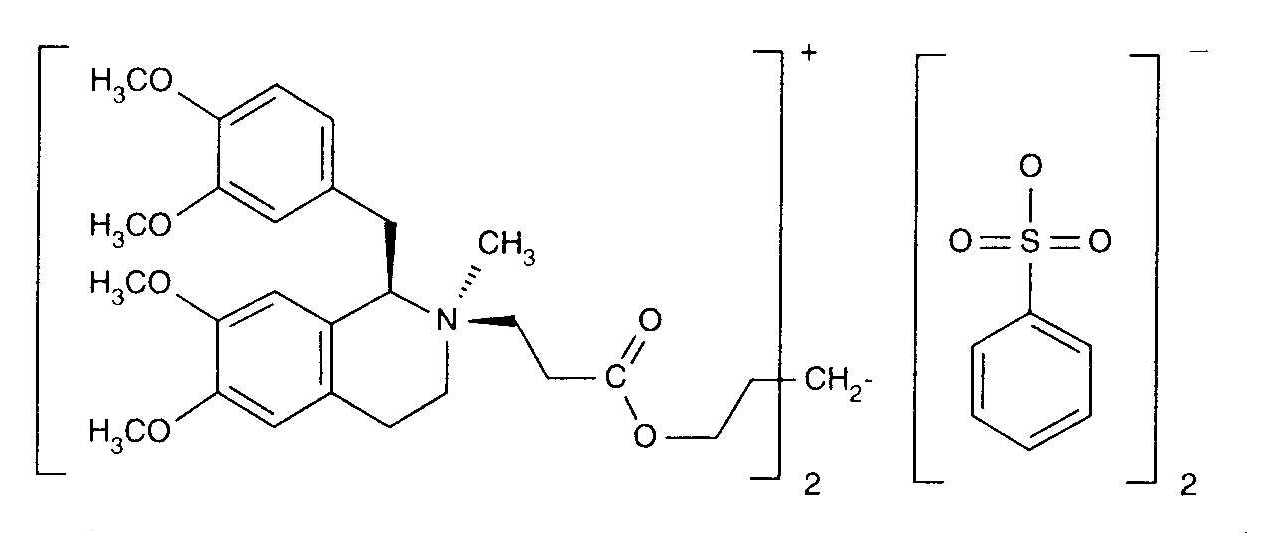
   Химическая структура  

Товарное название   Товарное название     

Trade names are indicative and excipients composition can be different depending on the country and manufacturers

Bensitrak Мексика
Besilato de cisatracurio
Cicuryl Мексика
Cirium Колумбия
Cis Atracure
Cisatracurio Бразилия, Испания, Италия, Колумбия, Перу, чили, Эквадор
Cisatracurium Бельгия, Великобритания, Венгрия, Германия, Ирландия, Канада, Тунис, Финляндия, Франция
Nimbex Австрия, Бельгия, Великобритания, Венгрия, Венесуэла, Германия, Голландия, Греция, Дания, Египет, Иран, Ирландия, Испания, Италия, Канада, Люксембург, Малайзия, Мексика, Норвегия, Объединенные Арабские Эмираты, Перу, Польша, Португалия, Саудовская Аравия, Словения, Соединённые Штаты Америки, Тунис, Турция, Финляндия, Франция, чили, Швеция, Эквадор
Nimbium Бразилия, Колумбия
Совместимость   Инъекция   Совместимость : Cisatracurium besylate              
Эта таблица показывает совместимость или несовместимость препаратов, по возможности тип несовместимости (преципитат, смена цвета, разложение эмульсии и др.). Показанные здесь совместимости в основном физические, по возможности указана и химическая стабильность каждой молекулы. Анализ этих смесей произведён для исследования возможности ввести препараты пациенту в Y-соединении систем. Эти данные нельзя использовать, чтобы приготовить лекарства на будущее в мешках или шприцах. Эта информация доступна в разделе "Стабильность смесей".
Молекула Растворитель Ссылки
Немедленные осадки несовместимый
Инъекция Cisatracurium besylate 5 mg/ml
Инъекция Aciclovir sodium 7 mg/ml
Глюкоза 5% 299
совместимый
Инъекция Cisatracurium besylate 0.1 & 2 mg/ml
Инъекция Aciclovir sodium 7 mg/ml
Глюкоза 5% 299
совместимый
Инъекция Cisatracurium besylate
Инъекция Alfentanil hydrochloride
3601
совместимый
Инъекция Cisatracurium besylate 0.1 >> 5 mg/ml
Инъекция Alfentanil hydrochloride 125 µg/ml
Глюкоза 5% 299
Немедленные осадки несовместимый
Инъекция Cisatracurium besylate 1,2 mg/ml
Инъекция Alprostadil 20 µg/ml
Глюкоза 5% 4651
Немедленные осадки несовместимый
Инъекция Cisatracurium besylate 1,2 mg/ml
Инъекция Alprostadil 20 µg/ml
Глюкоза 5% 4491
совместимый
Инъекция Cisatracurium besylate 0.1 >> 5 mg/ml
Инъекция Amikacin sulfate 5 mg/ml
Глюкоза 5% 299
совместимый
Инъекция Cisatracurium besylate 0.1 & 2 mg/ml
Инъекция Aminophylline 2.5 mg/ml
Глюкоза 5% 299
Мутность за один час несовместимый
Инъекция Cisatracurium besylate 5 mg/ml
Инъекция Aminophylline 2.5 mg/ml
Глюкоза 5% 299
совместимый
Инъекция Cisatracurium besylate
Инъекция Amiodarone hydrochloride
3464
совместимый
Инъекция Cisatracurium besylate 5 mg/ml
Инъекция Amiodarone hydrochloride 15 mg/ml
Глюкоза 5% 3823
совместимый
Инъекция Cisatracurium besylate 0.1 mg/ml
Инъекция Amphotericin B 0.6 mg/ml
Глюкоза 5% 299
Немедленные осадки несовместимый
Инъекция Cisatracurium besylate 2 & 5 mg/ml
Инъекция Amphotericin B 0.6 mg/ml
Глюкоза 5% 299
Немедленные осадки несовместимый
Инъекция Cisatracurium besylate 2 mg/ml
Инъекция Amphotericin B cholesteryl sulfate complex 0.83 mg/ml
Глюкоза 5% 921
Мутность за один час несовместимый
Инъекция Cisatracurium besylate 5 mg/ml
Инъекция Ampicillin sodium 20 mg/ml
Натрия хлорид 0,9% 299
совместимый
Инъекция Cisatracurium besylate 0.1 & 2 mg/ml
Инъекция Ampicillin sodium 20 mg/ml
Глюкоза 5% 299
Мутность за один час несовместимый
Инъекция Cisatracurium besylate 5 mg/ml
Инъекция Ampicillin sodium 20 mg/ml
Глюкоза 5% 299
Немедленная мутность несовместимый
Инъекция Cisatracurium besylate 5 mg/ml
Инъекция Ampicillin sodium - sulbactam sodium 20/10 mg/ml
Глюкоза 5% 299
Немедленная мутность несовместимый
Инъекция Cisatracurium besylate 5 mg/ml
Инъекция Ampicillin sodium - sulbactam sodium 20/10 mg/ml
Натрия хлорид 0,9% 299
совместимый
Инъекция Cisatracurium besylate 0.1 & 2 mg/ml
Инъекция Ampicillin sodium - sulbactam sodium 20/10 mg/ml
Глюкоза 5% 299
совместимый
Инъекция Cisatracurium besylate 0.1 >> 5 mg/ml
Инъекция Aztreonam 40 mg/ml
Глюкоза 5% 299
совместимый
Инъекция Cisatracurium besylate 0.1 >> 5 mg/ml
Инъекция Bumetanide 0.04 mg/ml
Глюкоза 5% 299
совместимый
Инъекция Cisatracurium besylate 0.1 >> 5 mg/ml
Инъекция Buprenorphine hydrochloride 0.04 mg/ml
Глюкоза 5% 299
совместимый
Инъекция Cisatracurium besylate 0.1 >> 5 mg/ml
Инъекция Butorphanol tartrate 0.04 mg/ml
Глюкоза 5% 299
совместимый
Инъекция Cisatracurium besylate 0.1 >> 5 mg/ml
Инъекция Calcium gluconate 40 mg/ml
Глюкоза 5% 299
совместимый
Инъекция Cisatracurium besylate 1 mg/ml
Инъекция Calcium gluconate 20 mg/ml
Натрия хлорид 0,9% 3429
Немедленная мутность несовместимый
Инъекция Cisatracurium besylate 2 & 5 mg/ml
Инъекция Cefazolin sodium 20 mg/ml
Глюкоза 5% 299
совместимый
Инъекция Cisatracurium besylate 0.1 mg/ml
Инъекция Cefazolin sodium 20 mg/ml
Глюкоза 5% 299
совместимый
Инъекция Cisatracurium besylate 0.4 mg/ml
Инъекция Cefiderocol sulfate tosylate 20 mg/mL
Глюкоза 5% 4528
совместимый
Инъекция Cisatracurium besylate 0.4 mg/ml
Инъекция Cefiderocol sulfate tosylate 20 mg/mL
Натрия хлорид 0,9% 4528
Немедленные осадки несовместимый
Инъекция Cisatracurium besylate 0.1 >> 5 mg/ml
Инъекция Cefoperazone sodium 40 mg/ml
Глюкоза 5% 299
совместимый
Инъекция Cisatracurium besylate 0.1 >> 5 mg/ml
Инъекция Cefoperazone sodium 40 mg/ml
Глюкоза 5% 299
Мутность за 4 часа несовместимый
Инъекция Cisatracurium besylate 2 mg/ml
Инъекция Cefotaxime sodium 20 mg/ml
Глюкоза 5% 299
Немедленная мутность несовместимый
Инъекция Cisatracurium besylate 5 mg/ml
Инъекция Cefotaxime sodium 20 mg/ml
Глюкоза 5% 299
совместимый
Инъекция Cisatracurium besylate 0.1 mg/ml
Инъекция Cefotaxime sodium 20 mg/ml
Глюкоза 5% 299
совместимый
Инъекция Cisatracurium besylate 0.1 mg/ml
Инъекция Cefoxitin sodium 20 mg/ml
Глюкоза 5% 299
Немедленная мутность несовместимый
Инъекция Cisatracurium besylate 2 & 5 mg/ml
Инъекция Cefoxitin sodium 20 mg/ml
Глюкоза 5% 299
совместимый
Инъекция Cisatracurium besylate 0,5 mg/ml
Инъекция Ceftaroline fosamil 2,22 mg/ml
Раствор Рингера лактата 3249
совместимый
Инъекция Cisatracurium besylate 0,5 mg/ml
Инъекция Ceftaroline fosamil 2,22 mg/ml
Глюкоза 5% 3249
совместимый
Инъекция Cisatracurium besylate 0,5 mg/ml
Инъекция Ceftaroline fosamil 2,22 mg/ml
Натрия хлорид 0,9% 3249
Немедленная мутность несовместимый
Инъекция Cisatracurium besylate 5 mg/ml
Инъекция Ceftazidime 40 mg/ml
Глюкоза 5% 299
совместимый
Инъекция Cisatracurium besylate 0.1 & 2 mg/ml
Инъекция Ceftazidime 40 mg/ml
Глюкоза 5% 299
совместимый
Инъекция Cisatracurium besylate 0.1 & 2 mg/ml
Инъекция Ceftizoxime sodium 20 mg/ml
Глюкоза 5% 299
Мутность за один час несовместимый
Инъекция Cisatracurium besylate 5 mg/ml
Инъекция Ceftizoxime sodium 20 mg/ml
Глюкоза 5% 299
Немедленные осадки несовместимый
Инъекция Cisatracurium besylate 0.5 mg/ml
Инъекция Ceftobiprole medocaril sodium 2 mg/ml
Натрия хлорид 0,9% 2269
Немедленные осадки несовместимый
Инъекция Cisatracurium besylate 0.5 mg/ml
Инъекция Ceftobiprole medocaril sodium 2 mg/ml
Раствор Рингера лактата 2269
Немедленные осадки несовместимый
Инъекция Cisatracurium besylate 0.5 mg/ml
Инъекция Ceftobiprole medocaril sodium 2 mg/ml
Глюкоза 5% 2269
Неопределенная несовместимость несовместимый
Инъекция Cisatracurium besylate
Инъекция Ceftobiprole medocaril sodium
4650
совместимый
Инъекция Cisatracurium besylate 0.4 mg/ml
Инъекция Ceftolozane / tazobactam 10/5 mg/ml
Глюкоза 5% 3828
совместимый
Инъекция Cisatracurium besylate 0.4 mg/ml
Инъекция Ceftolozane / tazobactam 10/5 mg/ml
Натрия хлорид 0,9% 3828
совместимый
Инъекция Cisatracurium besylate 0.1 >> 5 mg/ml
Инъекция Ceftriaxone disodium 20 mg/ml
Глюкоза 5% 299
Немедленные осадки несовместимый
Инъекция Cisatracurium besylate 2 & 5 mg/ml
Инъекция Cefuroxime sodium 30 mg/ml
Глюкоза 5% 299
совместимый
Инъекция Cisatracurium besylate 0.1 >> 5 mg/ml
Инъекция Chlorpromazine hydrochloride 2 mg/ml
Глюкоза 5% 299
совместимый
Инъекция Cisatracurium besylate 0.1 >> 5 mg/ml
Инъекция Cimetidine hydrochloride 12 mg/ml
Глюкоза 5% 299
совместимый
Инъекция Cisatracurium besylate 0.1 >> 5 mg/ml
Инъекция Ciprofloxacin lactate 1 mg/ml
Глюкоза 5% 299
совместимый
Инъекция Cisatracurium besylate 0.1 >> 5 mg/ml
Инъекция Clindamycin phosphate 10 mg/ml
Глюкоза 5% 299
совместимый
Инъекция Cisatracurium besylate 5 mg/ml
Инъекция Clonazepam 0.2 mg/ml
Натрия хлорид 0,9% 3823
совместимый
Инъекция Cisatracurium besylate 5 mg/ml
Инъекция Clonidine hydrochloride 0.012 mg/ml
Натрия хлорид 0,9% 3823
Немедленная мутность несовместимый
Инъекция Cisatracurium besylate 2 & 5 mg/ml
Инъекция Co-trimoxazole 0,8/4 mg/ml
Глюкоза 5% 299
совместимый
Инъекция Cisatracurium besylate 0.1 mg/ml
Инъекция Co-trimoxazole 0.8/4 mg/ml
Глюкоза 5% 299
совместимый
Инъекция Cisatracurium besylate 0.5 mg/ml
Инъекция Dexmedetomidine 4 µg/ml
Натрия хлорид 0,9% 1712
совместимый
Инъекция Cisatracurium besylate 0.1 >> 5 mg/ml
Инъекция Diazepam 0.25 mg/ml
Глюкоза 5% 299
Немедленные осадки несовместимый
Инъекция Cisatracurium besylate 0.1 >> 5 mg/ml
Инъекция Diazepam 5 mg/ml
Глюкоза 5% 299
Неопределенная несовместимость несовместимый
Инъекция Cisatracurium besylate 5 mg/ml
Инъекция Diclofenac 3 mg/ml
Натрия хлорид 0,9% 3823
совместимый
Инъекция Cisatracurium besylate 0.1 >> 5 mg/ml
Инъекция Digoxin 250 µg/ml
Глюкоза 5% 299
совместимый
Инъекция Cisatracurium besylate 1 mg/ml
Инъекция Diltiazem hydrochloride 1 mg/ml
Натрия хлорид 0,9% 3429
совместимый
Инъекция Cisatracurium besylate 0.1 >> 5 mg/ml
Инъекция Diphenhydramine hydrochloride 2 mg/ml
Глюкоза 5% 299
совместимый
Инъекция Cisatracurium besylate 0.1 >> 5 mg/ml
Инъекция Dobutamine hydrochloride 4 mg/ml
Глюкоза 5% 299
совместимый
Инъекция Cisatracurium besylate 0.1 >> 5 mg/ml
Инъекция Dopamine hydrochloride 3.2 mg/ml
Глюкоза 5% 299
совместимый
Инъекция Cisatracurium besylate 0.1 >> 5 mg/ml
Инъекция Doxycycline hyclate 1 mg/ml
Глюкоза 5% 299
совместимый
Инъекция Cisatracurium besylate
Инъекция Droperidol
3601
совместимый
Инъекция Cisatracurium besylate 0.1 >> 5 mg/ml
Инъекция Droperidol 2.5 mg/ml
Глюкоза 5% 299
совместимый
Инъекция Cisatracurium besylate 0.1 >> 5 mg/ml
Инъекция Enalaprilate 0.1 mg/ml
Глюкоза 5% 299
совместимый
Инъекция Cisatracurium besylate 0.1 >> 5 mg/ml
Инъекция Epinephrine hydrochloride 50 µg/ml
Глюкоза 5% 299
совместимый
Инъекция Cisatracurium besylate 0,4 mg/ml
Инъекция Eravacycline 0,6 mg/ml
Натрия хлорид 0,9% 4434
совместимый
Инъекция Cisatracurium besylate 0.1 >> 5 mg/ml
Инъекция Esmolol hydrochloride 10 mg/ml
Глюкоза 5% 299
совместимый
Инъекция Cisatracurium besylate 0.4 mg/ml
Инъекция Fosfomycin 30 mg/ml
Глюкоза 5% 4055
Немедленная мутность несовместимый
Инъекция Cisatracurium besylate 5 mg/ml
NaHCO3 3823
совместимый
Инъекция Cisatracurium besylate 5 mg/ml
Инъекция Esmolol hydrochloride 10 mg/ml
Натрия хлорид 0,9% 3823
совместимый
Инъекция Cisatracurium besylate 2 mg/ml
Инъекция Esmolol hydrochloride 10 mg/ml
Натрия хлорид 0,9% 3879
совместимый
Инъекция Cisatracurium besylate 1 mg/ml
Инъекция Esomeprazole sodium 0,4 mg/ml
Натрия хлорид 0,9% 3429
совместимый
Инъекция Cisatracurium besylate 0.1 >> 5 mg/ml
Инъекция Famotidine 2 mg/ml
Глюкоза 5% 299
совместимый
Инъекция Cisatracurium besylate 0.5 mg/ml
Инъекция Fenoldopam mesylate 80 µg/ml
Натрия хлорид 0,9% 1803
совместимый
Инъекция Cisatracurium besylate 0.1 >> 5 mg/ml
Инъекция Fentanyl citrate 12.5 µg/ml
Глюкоза 5% 299
совместимый
Инъекция Cisatracurium besylate
Инъекция Fentanyl citrate
3601
совместимый
Инъекция Cisatracurium besylate 0.1 >> 5 mg/ml
Инъекция Fluconazole 2 mg/ml
Глюкоза 5% 299
совместимый
Инъекция Cisatracurium besylate 0.4 mg/ml
Инъекция Fosfomycin 30 mg/ml
Натрия хлорид 0,9% 4055
Неопределенная несовместимость несовместимый
Инъекция Cisatracurium besylate
Инъекция Furosemide
3465
Немедленная мутность несовместимый
Инъекция Cisatracurium besylate 2 & 5 mg/ml
NaHCO3 299
Немедленные осадки несовместимый
Инъекция Cisatracurium besylate 5 mg/ml
Инъекция Furosemide 10 mg/ml
Натрия хлорид 0,9% 3463
совместимый
Инъекция Cisatracurium besylate 0.1 mg/ml
Инъекция Furosemide 3 mg/ml
Глюкоза 5% 299
Неопределенная несовместимость несовместимый
Инъекция Cisatracurium besylate 5 mg/ml
Инъекция Furosemide 10 mg/ml
Натрия хлорид 0,9% 3823
Немедленные осадки несовместимый
Инъекция Cisatracurium besylate 5 mg/ml
Инъекция Ganciclovir sodium 20 mg/ml
Глюкоза 5% 299
Неопределенная несовместимость несовместимый
Инъекция Cisatracurium besylate
NaHCO3 3466
совместимый
Инъекция Cisatracurium besylate 0.1 & 2 mg/ml
Инъекция Ganciclovir sodium 20 mg/ml
Глюкоза 5% 299
Неопределенная несовместимость несовместимый
Инъекция Cisatracurium besylate
NaHCO3 3601
Немедленные осадки несовместимый
Инъекция Cisatracurium besylate 2 & 5 mg/ml
Инъекция Furosemide 3 mg/ml
Глюкоза 5% 299
Неопределенная несовместимость несовместимый
Инъекция Cisatracurium besylate 5 mg/ml
Инъекция Furosemide 10 mg/ml
Нет 3134
совместимый
Инъекция Cisatracurium besylate 0.1 >> 5 mg/ml
Инъекция Gentamicin sulfate 5 mg/ml
Глюкоза 5% 299
совместимый
Инъекция Cisatracurium besylate 0.1 >> 5 mg/ml
Инъекция Haloperidol lactate 0.2 mg/ml
Глюкоза 5% 299
Немедленные осадки несовместимый
Инъекция Cisatracurium besylate 5 mg/ml
Инъекция Heparin sodium 100 UI/ml
Глюкоза 5% 299
Нестабильность эмульсии через 4 часов. несовместимый
Инъекция Cisatracurium besylate 2 mg/ml
Парентеральное питание (с липидами) 4507
Неопределенная несовместимость несовместимый
Инъекция Cisatracurium besylate
Раствор Рингера лактата 3601
Изменение цвета несовместимый
Инъекция Cisatracurium besylate 5 mg/ml
Инъекция Heparin sodium 500 UI/ml
Натрия хлорид 0,9% 3463
совместимый
Инъекция Cisatracurium besylate 0.1 & 2 mg/ml
Инъекция Heparin sodium 100 UI/ml
Глюкоза 5% 299
Неопределенная несовместимость несовместимый
Инъекция Cisatracurium besylate 5 mg/ml
Инъекция Heparin sodium 500 UI/ml
Натрия хлорид 0,9% 3823
совместимый
Инъекция Cisatracurium besylate
Глюкоза 5% 3601
Неопределенная несовместимость несовместимый
Инъекция Cisatracurium besylate
Инъекция Heparin sodium
3540
совместимый
Инъекция Cisatracurium besylate 0.5 mg/ml
Инъекция Hetastarch 60 mg/ml
Конкретные растворителя 1721
совместимый
Инъекция Cisatracurium besylate 0.1 >> 5 mg/ml
Инъекция Hydrocortisone sodium succinate 1 mg/ml
Глюкоза 5% 299
совместимый
Инъекция Cisatracurium besylate 2 mg/ml
Инъекция Hydrocortisone sodium succinate 1 mg/ml
Натрия хлорид 0,9% 4465
совместимый
Инъекция Cisatracurium besylate 0.1 >> 5 mg/ml
Инъекция Hydromorphone hydrochloride 0.5 mg/ml
Глюкоза 5% 299
совместимый
Инъекция Cisatracurium besylate 0.1 >> 5 mg/ml
Инъекция Hydroxyzine dihydrochloride 2 mg/ml
Глюкоза 5% 299
совместимый
Инъекция Cisatracurium besylate 0.1 >> 5 mg/ml
Инъекция Imipenem - cilastatin sodium 10 mg/ml
Глюкоза 5% 299
совместимый
Инъекция Cisatracurium besylate 0,4 mg/ml
Инъекция Imipenem-Cilastatin / Relebactam 5 mg/ml
Натрия хлорид 0,9% 4433
совместимый
Инъекция Cisatracurium besylate 0,4 mg/ml
Инъекция Imipenem-Cilastatin / Relebactam 5 mg/ml
Глюкоза 5% 4433
совместимый
Инъекция Cisatracurium besylate 1 mg/ml
Инъекция Insulin 1 UI/ml
Натрия хлорид 0,9% 3429
совместимый
Инъекция Cisatracurium besylate 5 mg/ml
Инъекция Insulin 2 UI/ml
Натрия хлорид 0,9% 3823
совместимый
Инъекция Cisatracurium besylate 0.4 mg/ml
Инъекция Isavuconazonium sulfate 1.5 mg/ml
Натрия хлорид 0,9% 3829
совместимый
Инъекция Cisatracurium besylate 0.4 mg/ml
Инъекция Isavuconazonium sulfate 1.5 mg/ml
Глюкоза 5% 3829
совместимый
Инъекция Cisatracurium besylate 0.1 >> 5 mg/ml
Инъекция Isoprenaline hydrochloride 0.02 mg/ml
Глюкоза 5% 299
совместимый
Инъекция Cisatracurium besylate 0.1 >> 5 mg/ml
Инъекция Ketorolac tromethamine 15 mg/ml
Глюкоза 5% 299
Неопределенная несовместимость несовместимый
Инъекция Cisatracurium besylate
Инъекция Ketorolac tromethamine
3601
совместимый
Инъекция Cisatracurium besylate 0.1 >> 5 mg/ml
Инъекция Lorazepam 0.5 mg/ml
Глюкоза 5% 299
совместимый
Инъекция Cisatracurium besylate 0.1 >> 5 mg/ml
Инъекция Magnesium sulfate 100 mg/ml
Глюкоза 5% 299
совместимый
Инъекция Cisatracurium besylate 0.1 >> 5 mg/ml
Инъекция Mannitol 150 mg/ml
Глюкоза 5% 299
совместимый
Инъекция Cisatracurium besylate
Натрия хлорид 0,9% 3601
совместимый
Инъекция Cisatracurium besylate 2 mg/ml
Инъекция Labetalol hydrochloride 5 mg/ml
Натрия хлорид 0,9% 3879
совместимый
Инъекция Cisatracurium besylate 1 mg/ml
Инъекция Levetiracetam 5 mg/ml
Натрия хлорид 0,9% 4569
совместимый
Инъекция Cisatracurium besylate 0.1 >> 5 mg/ml
Инъекция Lidocaine hydrochloride 8 mg/ml
Глюкоза 5% 299
совместимый
Инъекция Cisatracurium besylate 2 mg/ml
Инъекция Linezolid 2 mg/ml
Нет 1925
совместимый
Инъекция Cisatracurium besylate 0.1 mg/ml
Инъекция Methylprednisolone sodium succinate 5 mg/ml
Глюкоза 5% 299
Немедленная мутность несовместимый
Инъекция Cisatracurium besylate 2 & 5 mg/ml
Инъекция Methylprednisolone sodium succinate 5 mg/ml
Глюкоза 5% 299
совместимый
Инъекция Cisatracurium besylate 0.1 >> 5 mg/ml
Инъекция Metoclopramide hydrochloride 5 mg/ml
Глюкоза 5% 299
совместимый
Инъекция Cisatracurium besylate 2 mg/ml
Инъекция Metoprolol tartrate 0.4 mg/ml
Натрия хлорид 0,9% 3879
совместимый
Инъекция Cisatracurium besylate 0.1 >> 5 mg/ml
Инъекция Metronidazole 5 mg/ml
Глюкоза 5% 299
Немедленные осадки несовместимый
Инъекция Cisatracurium besylate 0.5 mg/ml
Инъекция Micafungin 1.5 mg/ml
Натрия хлорид 0,9% 2108
совместимый
Инъекция Cisatracurium besylate
Инъекция Midazolam hydrochloride
3601
совместимый
Инъекция Cisatracurium besylate 5 mg/ml
Инъекция Midazolam hydrochloride 2.1 mg/ml
Натрия хлорид 0,9% 3823
совместимый
Инъекция Cisatracurium besylate 0.1 >> 5 mg/ml
Инъекция Midazolam hydrochloride 1 mg/ml
Глюкоза 5% 299
совместимый
Инъекция Cisatracurium besylate 0.1 >> 5 mg/ml
Инъекция Minocycline hydrochloride 0.2 mg/ml
Глюкоза 5% 299
совместимый
Инъекция Cisatracurium besylate 0.1 >> 5 mg/ml
Инъекция Morphine sulfate 1 mg/ml
Глюкоза 5% 299
совместимый
Инъекция Cisatracurium besylate 0.1 >> 5 mg/ml
Инъекция Nalbuphine hydrochloride 10 mg/ml
Глюкоза 5% 299
совместимый
Инъекция Cisatracurium besylate 0.1 >> 5 mg/ml
Инъекция Netilmicin sulfate 5 mg/ml
Глюкоза 5% 299
совместимый
Инъекция Cisatracurium besylate 1 mg/ml
Инъекция Nicardipine hydrochloride 0,5 mg/ml
Натрия хлорид 0,9% 3429
совместимый
Инъекция Cisatracurium besylate 5 mg/ml
Инъекция Nimodipine 0.2 mg/ml
Натрия хлорид 0,9% 3823
совместимый
Инъекция Cisatracurium besylate 0.1 >> 5 mg/ml
Инъекция Nitroglycerin 0.4 mg/ml
Глюкоза 5% 299
совместимый
Инъекция Cisatracurium besylate 5 mg/ml
Инъекция Nitroglycerin 0.2 mg/ml
Глюкоза 5% 3823
Немедленные осадки несовместимый
Инъекция Cisatracurium besylate 2 & 5 mg/ml
Инъекция Nitroprusside sodium 2 mg/ml
Глюкоза 5% 299
совместимый
Инъекция Cisatracurium besylate 0.1 mg/ml
Инъекция Nitroprusside sodium 2 mg/ml
Глюкоза 5% 299
совместимый
Инъекция Cisatracurium besylate 0.1 >> 5 mg/ml
Инъекция Norepinephrine bitartrate 0.12 mg/ml
Глюкоза 5% 299
совместимый
Инъекция Cisatracurium besylate 0.1 >> 5 mg/ml
Инъекция Ofloxacin 4 mg/ml
Глюкоза 5% 299
совместимый
Инъекция Cisatracurium besylate 5 mg/ml
Инъекция Omeprazole sodium 1.6 mg/ml
Натрия хлорид 0,9% 3823
совместимый
Инъекция Cisatracurium besylate 0.1 >> 5 mg/ml
Инъекция Ondansetron hydrochloride 1 mg/ml
Глюкоза 5% 299
совместимый
Инъекция Cisatracurium besylate 0,5 mg/ml
Инъекция Palonosetron hydrochloride 50 µg/ml
Глюкоза 5% 2227
Мутность за один час несовместимый
Инъекция Cisatracurium besylate 1 mg/ml
Инъекция Pantoprazole sodium 0,8 mg/ml
Натрия хлорид 0,9% 3429
совместимый
Инъекция Cisatracurium besylate 0.1 >> 5 mg/ml
Инъекция Pethidine hydrochloride 4 mg/ml
Глюкоза 5% 299
совместимый
Инъекция Cisatracurium besylate 0.1 >> 5 mg/ml
Инъекция Phenylephrine hydrochloride 1 mg/ml
Глюкоза 5% 299
совместимый
Инъекция Cisatracurium besylate 0.1 mg/ml
Инъекция Piperacillin sodium 40 mg/ml
Глюкоза 5% 299
Немедленная мутность несовместимый
Инъекция Cisatracurium besylate 2 & 5 mg/ml
Инъекция Piperacillin sodium 40 mg/ml
Глюкоза 5% 299
совместимый
Инъекция Cisatracurium besylate 0.1 & 2 mg/ml
Инъекция Piperacillin sodium / tazobactam 40/5 mg/ml
Глюкоза 5% 299
Осадки через 4 часа несовместимый
Инъекция Cisatracurium besylate 5 mg/ml
Инъекция Piperacillin sodium / tazobactam 40/5 mg/ml
Глюкоза 5% 299
совместимый
Инъекция Cisatracurium besylate 0.4 mg/ml
Инъекция Plazomicin sulfate 24 mg/ml
Натрия хлорид 0,9% 4145
совместимый
Инъекция Cisatracurium besylate 0.1 >> 5 mg/ml
Инъекция Potassium chloride 100 mEq/l
Глюкоза 5% 299
совместимый
Инъекция Cisatracurium besylate 5 mg/ml
Инъекция Potassium chloride 10 mEq/l
Натрия хлорид 0,9% 3823
совместимый
Инъекция Cisatracurium besylate 0.1 >> 5 mg/ml
Инъекция Procainamide hydrochloride 10 mg/ml
Глюкоза 5% 299
совместимый
Инъекция Cisatracurium besylate 0.1 >> 5 mg/ml
Инъекция Prochlorperazine edysilate 0.5 mg/ml
Глюкоза 5% 299
совместимый
Инъекция Cisatracurium besylate 0.1 >> 5 mg/ml
Инъекция Promethazine hydrochloride 2 mg/ml
Глюкоза 5% 299
Неопределенная несовместимость несовместимый
Инъекция Cisatracurium besylate
Инъекция Propofol
3601
совместимый
Инъекция Cisatracurium besylate 0.1 >> 5 mg/ml
Инъекция Ranitidine hydrochloride 2 mg/ml
Глюкоза 5% 299
совместимый
Инъекция Cisatracurium besylate 5 mg/ml
Инъекция Remifentanil hydrochloride 100 µg/ml
Натрия хлорид 0,9% 3823
совместимый
Инъекция Cisatracurium besylate 2 mg/ml
Инъекция Remifentanil hydrochloride 25 & 250 µg/ml
Натрия хлорид 0,9% 59
Неопределенная несовместимость несовместимый
Инъекция Cisatracurium besylate
Инъекция Sodium bicarbonate
3466
Мутность за один час несовместимый
Инъекция Cisatracurium besylate 2 mg/ml
Инъекция Sodium bicarbonate 84 mg/ml
Глюкоза 5% 299
Неопределенная несовместимость несовместимый
Инъекция Cisatracurium besylate
Инъекция Sodium bicarbonate
3601
совместимый
Инъекция Cisatracurium besylate 0.1 mg/ml
Инъекция Sodium bicarbonate 84 mg/ml
Глюкоза 5% 299
Немедленная мутность несовместимый
Инъекция Cisatracurium besylate 5 mg/ml
Инъекция Sodium bicarbonate 84 mg/ml
Глюкоза 5% 299
Мутность через 2 часа несовместимый
Инъекция Cisatracurium besylate 5 mg/ml
Инъекция Sodium bicarbonate 84 mg/ml
Нет 3212
совместимый
Инъекция Cisatracurium besylate 0.1 >> 5 mg/ml
Инъекция Sufentanil citrate 0.0125 mg/ml
Глюкоза 5% 299
совместимый
Инъекция Cisatracurium besylate
Инъекция Sufentanil citrate
3601
совместимый
Инъекция Cisatracurium besylate 0,4 mg/ml
Инъекция Sulbactam/durlobactam 15/15 mg/ml
Натрия хлорид 0,9% 4801
совместимый
Инъекция Cisatracurium besylate 0.4 mg/ml
Инъекция Tedizolid phosphate 0.8 mg/ml
Натрия хлорид 0,9% 3827
совместимый
Инъекция Cisatracurium besylate 0.1 >> 5 mg/ml
Инъекция Theophylline 3.2 mg/ml
Глюкоза 5% 299
Неопределенная несовместимость несовместимый
Инъекция Cisatracurium besylate
Инъекция Thiopental sodium
3601
совместимый
Инъекция Cisatracurium besylate 0.1 mg/ml
Инъекция Thiopental sodium 25 mg/ml
Глюкоза 5% 299
Неопределенная несовместимость несовместимый
Инъекция Cisatracurium besylate 5 mg/ml
Инъекция Thiopental sodium 60 mg/ml
Натрия хлорид 0,9% 3823
Немедленные осадки несовместимый
Инъекция Cisatracurium besylate 2 & 5 mg/ml
Инъекция Thiopental sodium 25 mg/ml
Глюкоза 5% 299
совместимый
Инъекция Cisatracurium besylate 0.1 & 2 mg/ml
Инъекция Ticarcillin / clavulanic acid 30 mg/ml
Глюкоза 5% 299
Немедленная мутность несовместимый
Инъекция Cisatracurium besylate 5 mg/ml
Инъекция Ticarcillin / clavulanic acid 30 mg/ml
Глюкоза 5% 299
совместимый
Инъекция Cisatracurium besylate 0.1 >> 5 mg/ml
Инъекция Tobramycin sulfate 5 mg/ml
Глюкоза 5% 299
совместимый
Инъекция Cisatracurium besylate 0.1 >> 5 mg/ml
Инъекция Vancomycin hydrochloride 10 mg/ml
Глюкоза 5% 299
совместимый
Инъекция Cisatracurium besylate 1 mg/ml
Инъекция Vasopressin 1 UI/ml
Натрия хлорид 0,9% 3429
совместимый
Инъекция Cisatracurium besylate 0.1 >> 5 mg/ml
Инъекция Zidovudine 4 mg/ml
Глюкоза 5% 299

  Mentions Légales