Dernière mise à jour :
18/03/2026
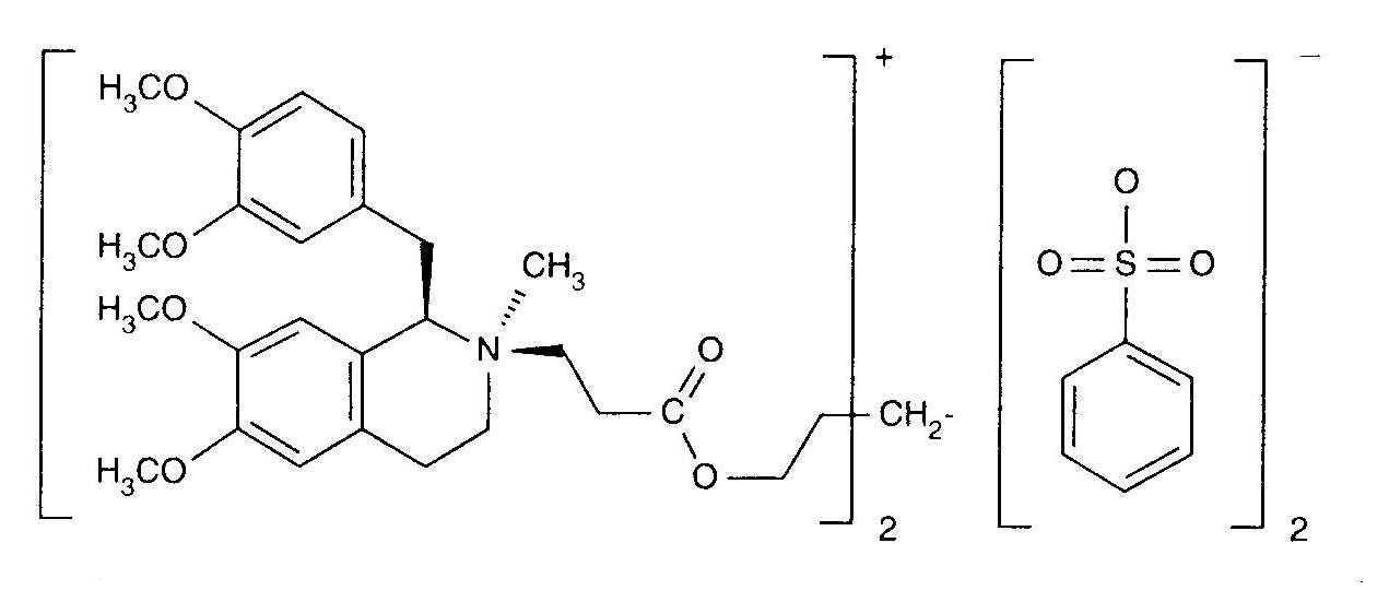
Curarisant   Cisatracurium besylate  
injectable
Stabilité des solutions Stabilité en mélange Facteur influençant la stabilité Compatibilités Voie d’administration Bibliographie pdf
   Structure chimique  

Noms commerciaux   Noms commerciaux     

Les noms commerciaux sont donnés à titre indicatif et la composition en excipients peut être différente selon les pays et selon les laboratoires

Bensitrak Mexique
Besilato de cisatracurio
Cicuryl Mexique
Cirium Colombie
Cis Atracure
Cisatracurio Brésil, Chili, Colombie, Equateur, Espagne, Italie, Pérou
Cisatracurium Allemagne, Belgique, Canada, Finlande, France, Grande Bretagne, Hongrie, Irlande, Tunisie
Nimbex Allemagne, Arabie Saoudite, Autriche, Belgique, Canada, Chili, Danemark, Egypte, Emirats Arabes Unis , Equateur, Espagne, Etats Unis d’Amérique, Finlande, France, Grande Bretagne, Grèce, Hongrie, Iran, Irlande, Italie, Luxembourg, Malaisie, Mexique, Norvège, Pays bas, Pérou, Pologne, Portugal, Slovénie, Suède, Tunisie, Turquie, Vénézuela
Nimbium Brésil, Colombie
Compatibilités   injectable   Compatibilités : Cisatracurium besylate              
Cet écran indique les compatibilités ou incompatibilités avec, dans ce cas, le type d'incompatibilité (précipitation, changement de couleur, modification d'une émulsion, etc.). Les compatibilités présentées ici sont pour la plupart uniquement physiques, la stabilité chimique de chaque molécule étant rarement évaluée. L'évaluation de ces mélanges a été étudiée pour envisager la possibilité d'une administration en site Y au patient. Ces données ne peuvent pas être utilisées pour préparer des mélanges à l'avance dans des poches de perfusion ou des seringues. Ce type d'informations est disponible dans l'écran « Stabilité en mélange ».
Molécule Solvant Bibliographie
Précipitation immédiate Incompatible
injectable Cisatracurium besylate 5 mg/ml
injectable Aciclovir sodium 7 mg/ml
Glucose 5% 299
Compatible
injectable Cisatracurium besylate 0.1 & 2 mg/ml
injectable Aciclovir sodium 7 mg/ml
Glucose 5% 299
Compatible
injectable Cisatracurium besylate
injectable Alfentanil hydrochloride
3601
Compatible
injectable Cisatracurium besylate 0.1 >> 5 mg/ml
injectable Alfentanil hydrochloride 125 µg/ml
Glucose 5% 299
Précipitation immédiate Incompatible
injectable Cisatracurium besylate 1,2 mg/ml
injectable Alprostadil 20 µg/ml
Glucose 5% 4651
Précipitation immédiate Incompatible
injectable Cisatracurium besylate 1,2 mg/ml
injectable Alprostadil 20 µg/ml
Glucose 5% 4491
Compatible
injectable Cisatracurium besylate 0.1 >> 5 mg/ml
injectable Amikacin sulfate 5 mg/ml
Glucose 5% 299
Compatible
injectable Cisatracurium besylate 0.1 & 2 mg/ml
injectable Aminophylline 2.5 mg/ml
Glucose 5% 299
Turbidité en 1 heure Incompatible
injectable Cisatracurium besylate 5 mg/ml
injectable Aminophylline 2.5 mg/ml
Glucose 5% 299
Compatible
injectable Cisatracurium besylate
injectable Amiodarone hydrochloride
3464
Compatible
injectable Cisatracurium besylate 5 mg/ml
injectable Amiodarone hydrochloride 15 mg/ml
Glucose 5% 3823
Compatible
injectable Cisatracurium besylate 0.1 mg/ml
injectable Amphotericin B 0.6 mg/ml
Glucose 5% 299
Précipitation immédiate Incompatible
injectable Cisatracurium besylate 2 & 5 mg/ml
injectable Amphotericin B 0.6 mg/ml
Glucose 5% 299
Précipitation immédiate Incompatible
injectable Cisatracurium besylate 2 mg/ml
injectable Amphotericin B cholesteryl sulfate complex 0.83 mg/ml
Glucose 5% 921
Turbidité en 1 heure Incompatible
injectable Cisatracurium besylate 5 mg/ml
injectable Ampicillin sodium 20 mg/ml
Chlorure de sodium 0,9% 299
Compatible
injectable Cisatracurium besylate 0.1 & 2 mg/ml
injectable Ampicillin sodium 20 mg/ml
Glucose 5% 299
Turbidité en 1 heure Incompatible
injectable Cisatracurium besylate 5 mg/ml
injectable Ampicillin sodium 20 mg/ml
Glucose 5% 299
Turbidité immédiate Incompatible
injectable Cisatracurium besylate 5 mg/ml
injectable Ampicillin sodium - sulbactam sodium 20/10 mg/ml
Glucose 5% 299
Turbidité immédiate Incompatible
injectable Cisatracurium besylate 5 mg/ml
injectable Ampicillin sodium - sulbactam sodium 20/10 mg/ml
Chlorure de sodium 0,9% 299
Compatible
injectable Cisatracurium besylate 0.1 & 2 mg/ml
injectable Ampicillin sodium - sulbactam sodium 20/10 mg/ml
Glucose 5% 299
Compatible
injectable Cisatracurium besylate 0.1 >> 5 mg/ml
injectable Aztreonam 40 mg/ml
Glucose 5% 299
Compatible
injectable Cisatracurium besylate 0.1 >> 5 mg/ml
injectable Bumetanide 0.04 mg/ml
Glucose 5% 299
Compatible
injectable Cisatracurium besylate 0.1 >> 5 mg/ml
injectable Buprenorphine hydrochloride 0.04 mg/ml
Glucose 5% 299
Compatible
injectable Cisatracurium besylate 0.1 >> 5 mg/ml
injectable Butorphanol tartrate 0.04 mg/ml
Glucose 5% 299
Compatible
injectable Cisatracurium besylate 0.1 >> 5 mg/ml
injectable Calcium gluconate 40 mg/ml
Glucose 5% 299
Compatible
injectable Cisatracurium besylate 1 mg/ml
injectable Calcium gluconate 20 mg/ml
Chlorure de sodium 0,9% 3429
Turbidité immédiate Incompatible
injectable Cisatracurium besylate 2 & 5 mg/ml
injectable Cefazolin sodium 20 mg/ml
Glucose 5% 299
Compatible
injectable Cisatracurium besylate 0.1 mg/ml
injectable Cefazolin sodium 20 mg/ml
Glucose 5% 299
Compatible
injectable Cisatracurium besylate 0.4 mg/ml
injectable Cefiderocol sulfate tosylate 20 mg/mL
Glucose 5% 4528
Compatible
injectable Cisatracurium besylate 0.4 mg/ml
injectable Cefiderocol sulfate tosylate 20 mg/mL
Chlorure de sodium 0,9% 4528
Précipitation immédiate Incompatible
injectable Cisatracurium besylate 0.1 >> 5 mg/ml
injectable Cefoperazone sodium 40 mg/ml
Glucose 5% 299
Compatible
injectable Cisatracurium besylate 0.1 >> 5 mg/ml
injectable Cefoperazone sodium 40 mg/ml
Glucose 5% 299
Turbidité en 4 heures Incompatible
injectable Cisatracurium besylate 2 mg/ml
injectable Cefotaxime sodium 20 mg/ml
Glucose 5% 299
Turbidité immédiate Incompatible
injectable Cisatracurium besylate 5 mg/ml
injectable Cefotaxime sodium 20 mg/ml
Glucose 5% 299
Compatible
injectable Cisatracurium besylate 0.1 mg/ml
injectable Cefotaxime sodium 20 mg/ml
Glucose 5% 299
Compatible
injectable Cisatracurium besylate 0.1 mg/ml
injectable Cefoxitin sodium 20 mg/ml
Glucose 5% 299
Turbidité immédiate Incompatible
injectable Cisatracurium besylate 2 & 5 mg/ml
injectable Cefoxitin sodium 20 mg/ml
Glucose 5% 299
Compatible
injectable Cisatracurium besylate 0,5 mg/ml
injectable Ceftaroline fosamil 2,22 mg/ml
Ringer lactate 3249
Compatible
injectable Cisatracurium besylate 0,5 mg/ml
injectable Ceftaroline fosamil 2,22 mg/ml
Glucose 5% 3249
Compatible
injectable Cisatracurium besylate 0,5 mg/ml
injectable Ceftaroline fosamil 2,22 mg/ml
Chlorure de sodium 0,9% 3249
Turbidité immédiate Incompatible
injectable Cisatracurium besylate 5 mg/ml
injectable Ceftazidime 40 mg/ml
Glucose 5% 299
Compatible
injectable Cisatracurium besylate 0.1 & 2 mg/ml
injectable Ceftazidime 40 mg/ml
Glucose 5% 299
Compatible
injectable Cisatracurium besylate 0.1 & 2 mg/ml
injectable Ceftizoxime sodium 20 mg/ml
Glucose 5% 299
Turbidité en 1 heure Incompatible
injectable Cisatracurium besylate 5 mg/ml
injectable Ceftizoxime sodium 20 mg/ml
Glucose 5% 299
Précipitation immédiate Incompatible
injectable Cisatracurium besylate 0.5 mg/ml
injectable Ceftobiprole medocaril sodium 2 mg/ml
Chlorure de sodium 0,9% 2269
Précipitation immédiate Incompatible
injectable Cisatracurium besylate 0.5 mg/ml
injectable Ceftobiprole medocaril sodium 2 mg/ml
Ringer lactate 2269
Précipitation immédiate Incompatible
injectable Cisatracurium besylate 0.5 mg/ml
injectable Ceftobiprole medocaril sodium 2 mg/ml
Glucose 5% 2269
Incompatibilité non précisée Incompatible
injectable Cisatracurium besylate
injectable Ceftobiprole medocaril sodium
4650
Compatible
injectable Cisatracurium besylate 0.4 mg/ml
injectable Ceftolozane / tazobactam 10/5 mg/ml
Glucose 5% 3828
Compatible
injectable Cisatracurium besylate 0.4 mg/ml
injectable Ceftolozane / tazobactam 10/5 mg/ml
Chlorure de sodium 0,9% 3828
Compatible
injectable Cisatracurium besylate 0.1 >> 5 mg/ml
injectable Ceftriaxone disodium 20 mg/ml
Glucose 5% 299
Précipitation immédiate Incompatible
injectable Cisatracurium besylate 2 & 5 mg/ml
injectable Cefuroxime sodium 30 mg/ml
Glucose 5% 299
Compatible
injectable Cisatracurium besylate 0.1 >> 5 mg/ml
injectable Chlorpromazine hydrochloride 2 mg/ml
Glucose 5% 299
Compatible
injectable Cisatracurium besylate 0.1 >> 5 mg/ml
injectable Cimetidine hydrochloride 12 mg/ml
Glucose 5% 299
Compatible
injectable Cisatracurium besylate 0.1 >> 5 mg/ml
injectable Ciprofloxacin lactate 1 mg/ml
Glucose 5% 299
Compatible
injectable Cisatracurium besylate 0.1 >> 5 mg/ml
injectable Clindamycin phosphate 10 mg/ml
Glucose 5% 299
Compatible
injectable Cisatracurium besylate 5 mg/ml
injectable Clonazepam 0.2 mg/ml
Chlorure de sodium 0,9% 3823
Compatible
injectable Cisatracurium besylate 5 mg/ml
injectable Clonidine hydrochloride 0.012 mg/ml
Chlorure de sodium 0,9% 3823
Turbidité immédiate Incompatible
injectable Cisatracurium besylate 2 & 5 mg/ml
injectable Co-trimoxazole 0,8/4 mg/ml
Glucose 5% 299
Compatible
injectable Cisatracurium besylate 0.1 mg/ml
injectable Co-trimoxazole 0.8/4 mg/ml
Glucose 5% 299
Compatible
injectable Cisatracurium besylate 0.5 mg/ml
injectable Dexmedetomidine 4 µg/ml
Chlorure de sodium 0,9% 1712
Compatible
injectable Cisatracurium besylate 0.1 >> 5 mg/ml
injectable Diazepam 0.25 mg/ml
Glucose 5% 299
Précipitation immédiate Incompatible
injectable Cisatracurium besylate 0.1 >> 5 mg/ml
injectable Diazepam 5 mg/ml
Glucose 5% 299
Incompatibilité non précisée Incompatible
injectable Cisatracurium besylate 5 mg/ml
injectable Diclofenac 3 mg/ml
Chlorure de sodium 0,9% 3823
Compatible
injectable Cisatracurium besylate 0.1 >> 5 mg/ml
injectable Digoxin 250 µg/ml
Glucose 5% 299
Compatible
injectable Cisatracurium besylate 1 mg/ml
injectable Diltiazem hydrochloride 1 mg/ml
Chlorure de sodium 0,9% 3429
Compatible
injectable Cisatracurium besylate 0.1 >> 5 mg/ml
injectable Diphenhydramine hydrochloride 2 mg/ml
Glucose 5% 299
Compatible
injectable Cisatracurium besylate 0.1 >> 5 mg/ml
injectable Dobutamine hydrochloride 4 mg/ml
Glucose 5% 299
Compatible
injectable Cisatracurium besylate 0.1 >> 5 mg/ml
injectable Dopamine hydrochloride 3.2 mg/ml
Glucose 5% 299
Compatible
injectable Cisatracurium besylate 0.1 >> 5 mg/ml
injectable Doxycycline hyclate 1 mg/ml
Glucose 5% 299
Compatible
injectable Cisatracurium besylate
injectable Droperidol
3601
Compatible
injectable Cisatracurium besylate 0.1 >> 5 mg/ml
injectable Droperidol 2.5 mg/ml
Glucose 5% 299
Compatible
injectable Cisatracurium besylate 0.1 >> 5 mg/ml
injectable Enalaprilate 0.1 mg/ml
Glucose 5% 299
Compatible
injectable Cisatracurium besylate 0.1 >> 5 mg/ml
injectable Epinephrine hydrochloride 50 µg/ml
Glucose 5% 299
Compatible
injectable Cisatracurium besylate 0,4 mg/ml
injectable Eravacycline 0,6 mg/ml
Chlorure de sodium 0,9% 4434
Compatible
injectable Cisatracurium besylate 0.1 >> 5 mg/ml
injectable Esmolol hydrochloride 10 mg/ml
Glucose 5% 299
Compatible
injectable Cisatracurium besylate 0.4 mg/ml
injectable Fosfomycin 30 mg/ml
Glucose 5% 4055
Turbidité immédiate Incompatible
injectable Cisatracurium besylate 5 mg/ml
NaHCO3 3823
Compatible
injectable Cisatracurium besylate 5 mg/ml
injectable Esmolol hydrochloride 10 mg/ml
Chlorure de sodium 0,9% 3823
Compatible
injectable Cisatracurium besylate 2 mg/ml
injectable Esmolol hydrochloride 10 mg/ml
Chlorure de sodium 0,9% 3879
Compatible
injectable Cisatracurium besylate 1 mg/ml
injectable Esomeprazole sodium 0,4 mg/ml
Chlorure de sodium 0,9% 3429
Compatible
injectable Cisatracurium besylate 0.1 >> 5 mg/ml
injectable Famotidine 2 mg/ml
Glucose 5% 299
Compatible
injectable Cisatracurium besylate 0.5 mg/ml
injectable Fenoldopam mesylate 80 µg/ml
Chlorure de sodium 0,9% 1803
Compatible
injectable Cisatracurium besylate 0.1 >> 5 mg/ml
injectable Fentanyl citrate 12.5 µg/ml
Glucose 5% 299
Compatible
injectable Cisatracurium besylate
injectable Fentanyl citrate
3601
Compatible
injectable Cisatracurium besylate 0.1 >> 5 mg/ml
injectable Fluconazole 2 mg/ml
Glucose 5% 299
Compatible
injectable Cisatracurium besylate 0.4 mg/ml
injectable Fosfomycin 30 mg/ml
Chlorure de sodium 0,9% 4055
Incompatibilité non précisée Incompatible
injectable Cisatracurium besylate
injectable Furosemide
3465
Turbidité immédiate Incompatible
injectable Cisatracurium besylate 2 & 5 mg/ml
NaHCO3 299
Précipitation immédiate Incompatible
injectable Cisatracurium besylate 5 mg/ml
injectable Furosemide 10 mg/ml
Chlorure de sodium 0,9% 3463
Compatible
injectable Cisatracurium besylate 0.1 mg/ml
injectable Furosemide 3 mg/ml
Glucose 5% 299
Incompatibilité non précisée Incompatible
injectable Cisatracurium besylate 5 mg/ml
injectable Furosemide 10 mg/ml
Chlorure de sodium 0,9% 3823
Précipitation immédiate Incompatible
injectable Cisatracurium besylate 5 mg/ml
injectable Ganciclovir sodium 20 mg/ml
Glucose 5% 299
Incompatibilité non précisée Incompatible
injectable Cisatracurium besylate
NaHCO3 3466
Compatible
injectable Cisatracurium besylate 0.1 & 2 mg/ml
injectable Ganciclovir sodium 20 mg/ml
Glucose 5% 299
Incompatibilité non précisée Incompatible
injectable Cisatracurium besylate
NaHCO3 3601
Précipitation immédiate Incompatible
injectable Cisatracurium besylate 2 & 5 mg/ml
injectable Furosemide 3 mg/ml
Glucose 5% 299
Incompatibilité non précisée Incompatible
injectable Cisatracurium besylate 5 mg/ml
injectable Furosemide 10 mg/ml
Aucun 3134
Compatible
injectable Cisatracurium besylate 0.1 >> 5 mg/ml
injectable Gentamicin sulfate 5 mg/ml
Glucose 5% 299
Compatible
injectable Cisatracurium besylate 0.1 >> 5 mg/ml
injectable Haloperidol lactate 0.2 mg/ml
Glucose 5% 299
Précipitation immédiate Incompatible
injectable Cisatracurium besylate 5 mg/ml
injectable Heparin sodium 100 UI/ml
Glucose 5% 299
Instabilité de l'émulsion à 4 heures Incompatible
injectable Cisatracurium besylate 2 mg/ml
Nutrition parentérale (mélange ternaire) 4507
Incompatibilité non précisée Incompatible
injectable Cisatracurium besylate
Ringer lactate 3601
Changement de couleur Incompatible
injectable Cisatracurium besylate 5 mg/ml
injectable Heparin sodium 500 UI/ml
Chlorure de sodium 0,9% 3463
Compatible
injectable Cisatracurium besylate 0.1 & 2 mg/ml
injectable Heparin sodium 100 UI/ml
Glucose 5% 299
Incompatibilité non précisée Incompatible
injectable Cisatracurium besylate 5 mg/ml
injectable Heparin sodium 500 UI/ml
Chlorure de sodium 0,9% 3823
Compatible
injectable Cisatracurium besylate
Glucose 5% 3601
Incompatibilité non précisée Incompatible
injectable Cisatracurium besylate
injectable Heparin sodium
3540
Compatible
injectable Cisatracurium besylate 0.5 mg/ml
injectable Hetastarch 60 mg/ml
Solvant spécifique 1721
Compatible
injectable Cisatracurium besylate 0.1 >> 5 mg/ml
injectable Hydrocortisone sodium succinate 1 mg/ml
Glucose 5% 299
Compatible
injectable Cisatracurium besylate 2 mg/ml
injectable Hydrocortisone sodium succinate 1 mg/ml
Chlorure de sodium 0,9% 4465
Compatible
injectable Cisatracurium besylate 0.1 >> 5 mg/ml
injectable Hydromorphone hydrochloride 0.5 mg/ml
Glucose 5% 299
Compatible
injectable Cisatracurium besylate 0.1 >> 5 mg/ml
injectable Hydroxyzine dihydrochloride 2 mg/ml
Glucose 5% 299
Compatible
injectable Cisatracurium besylate 0.1 >> 5 mg/ml
injectable Imipenem - cilastatin sodium 10 mg/ml
Glucose 5% 299
Compatible
injectable Cisatracurium besylate 0,4 mg/ml
injectable Imipenem-Cilastatin / Relebactam 5 mg/ml
Chlorure de sodium 0,9% 4433
Compatible
injectable Cisatracurium besylate 0,4 mg/ml
injectable Imipenem-Cilastatin / Relebactam 5 mg/ml
Glucose 5% 4433
Compatible
injectable Cisatracurium besylate 1 mg/ml
injectable Insulin 1 UI/ml
Chlorure de sodium 0,9% 3429
Compatible
injectable Cisatracurium besylate 5 mg/ml
injectable Insulin 2 UI/ml
Chlorure de sodium 0,9% 3823
Compatible
injectable Cisatracurium besylate 0.4 mg/ml
injectable Isavuconazonium sulfate 1.5 mg/ml
Chlorure de sodium 0,9% 3829
Compatible
injectable Cisatracurium besylate 0.4 mg/ml
injectable Isavuconazonium sulfate 1.5 mg/ml
Glucose 5% 3829
Compatible
injectable Cisatracurium besylate 0.1 >> 5 mg/ml
injectable Isoprenaline hydrochloride 0.02 mg/ml
Glucose 5% 299
Compatible
injectable Cisatracurium besylate 0.1 >> 5 mg/ml
injectable Ketorolac tromethamine 15 mg/ml
Glucose 5% 299
Incompatibilité non précisée Incompatible
injectable Cisatracurium besylate
injectable Ketorolac tromethamine
3601
Compatible
injectable Cisatracurium besylate 0.1 >> 5 mg/ml
injectable Lorazepam 0.5 mg/ml
Glucose 5% 299
Compatible
injectable Cisatracurium besylate 0.1 >> 5 mg/ml
injectable Magnesium sulfate 100 mg/ml
Glucose 5% 299
Compatible
injectable Cisatracurium besylate 0.1 >> 5 mg/ml
injectable Mannitol 150 mg/ml
Glucose 5% 299
Compatible
injectable Cisatracurium besylate
Chlorure de sodium 0,9% 3601
Compatible
injectable Cisatracurium besylate 2 mg/ml
injectable Labetalol hydrochloride 5 mg/ml
Chlorure de sodium 0,9% 3879
Compatible
injectable Cisatracurium besylate 1 mg/ml
injectable Levetiracetam 5 mg/ml
Chlorure de sodium 0,9% 4569
Compatible
injectable Cisatracurium besylate 0.1 >> 5 mg/ml
injectable Lidocaine hydrochloride 8 mg/ml
Glucose 5% 299
Compatible
injectable Cisatracurium besylate 2 mg/ml
injectable Linezolid 2 mg/ml
Aucun 1925
Compatible
injectable Cisatracurium besylate 0.1 mg/ml
injectable Methylprednisolone sodium succinate 5 mg/ml
Glucose 5% 299
Turbidité immédiate Incompatible
injectable Cisatracurium besylate 2 & 5 mg/ml
injectable Methylprednisolone sodium succinate 5 mg/ml
Glucose 5% 299
Compatible
injectable Cisatracurium besylate 0.1 >> 5 mg/ml
injectable Metoclopramide hydrochloride 5 mg/ml
Glucose 5% 299
Compatible
injectable Cisatracurium besylate 2 mg/ml
injectable Metoprolol tartrate 0.4 mg/ml
Chlorure de sodium 0,9% 3879
Compatible
injectable Cisatracurium besylate 0.1 >> 5 mg/ml
injectable Metronidazole 5 mg/ml
Glucose 5% 299
Précipitation immédiate Incompatible
injectable Cisatracurium besylate 0.5 mg/ml
injectable Micafungin 1.5 mg/ml
Chlorure de sodium 0,9% 2108
Compatible
injectable Cisatracurium besylate
injectable Midazolam hydrochloride
3601
Compatible
injectable Cisatracurium besylate 5 mg/ml
injectable Midazolam hydrochloride 2.1 mg/ml
Chlorure de sodium 0,9% 3823
Compatible
injectable Cisatracurium besylate 0.1 >> 5 mg/ml
injectable Midazolam hydrochloride 1 mg/ml
Glucose 5% 299
Compatible
injectable Cisatracurium besylate 0.1 >> 5 mg/ml
injectable Minocycline hydrochloride 0.2 mg/ml
Glucose 5% 299
Compatible
injectable Cisatracurium besylate 0.1 >> 5 mg/ml
injectable Morphine sulfate 1 mg/ml
Glucose 5% 299
Compatible
injectable Cisatracurium besylate 0.1 >> 5 mg/ml
injectable Nalbuphine hydrochloride 10 mg/ml
Glucose 5% 299
Compatible
injectable Cisatracurium besylate 0.1 >> 5 mg/ml
injectable Netilmicin sulfate 5 mg/ml
Glucose 5% 299
Compatible
injectable Cisatracurium besylate 1 mg/ml
injectable Nicardipine hydrochloride 0,5 mg/ml
Chlorure de sodium 0,9% 3429
Compatible
injectable Cisatracurium besylate 5 mg/ml
injectable Nimodipine 0.2 mg/ml
Chlorure de sodium 0,9% 3823
Compatible
injectable Cisatracurium besylate 0.1 >> 5 mg/ml
injectable Nitroglycerin 0.4 mg/ml
Glucose 5% 299
Compatible
injectable Cisatracurium besylate 5 mg/ml
injectable Nitroglycerin 0.2 mg/ml
Glucose 5% 3823
Précipitation immédiate Incompatible
injectable Cisatracurium besylate 2 & 5 mg/ml
injectable Nitroprusside sodium 2 mg/ml
Glucose 5% 299
Compatible
injectable Cisatracurium besylate 0.1 mg/ml
injectable Nitroprusside sodium 2 mg/ml
Glucose 5% 299
Compatible
injectable Cisatracurium besylate 0.1 >> 5 mg/ml
injectable Norepinephrine bitartrate 0.12 mg/ml
Glucose 5% 299
Compatible
injectable Cisatracurium besylate 0.1 >> 5 mg/ml
injectable Ofloxacin 4 mg/ml
Glucose 5% 299
Compatible
injectable Cisatracurium besylate 5 mg/ml
injectable Omeprazole sodium 1.6 mg/ml
Chlorure de sodium 0,9% 3823
Compatible
injectable Cisatracurium besylate 0.1 >> 5 mg/ml
injectable Ondansetron hydrochloride 1 mg/ml
Glucose 5% 299
Compatible
injectable Cisatracurium besylate 0,5 mg/ml
injectable Palonosetron hydrochloride 50 µg/ml
Glucose 5% 2227
Turbidité en 1 heure Incompatible
injectable Cisatracurium besylate 1 mg/ml
injectable Pantoprazole sodium 0,8 mg/ml
Chlorure de sodium 0,9% 3429
Compatible
injectable Cisatracurium besylate 0.1 >> 5 mg/ml
injectable Pethidine hydrochloride 4 mg/ml
Glucose 5% 299
Compatible
injectable Cisatracurium besylate 0.1 >> 5 mg/ml
injectable Phenylephrine hydrochloride 1 mg/ml
Glucose 5% 299
Compatible
injectable Cisatracurium besylate 0.1 mg/ml
injectable Piperacillin sodium 40 mg/ml
Glucose 5% 299
Turbidité immédiate Incompatible
injectable Cisatracurium besylate 2 & 5 mg/ml
injectable Piperacillin sodium 40 mg/ml
Glucose 5% 299
Compatible
injectable Cisatracurium besylate 0.1 & 2 mg/ml
injectable Piperacillin sodium / tazobactam 40/5 mg/ml
Glucose 5% 299
Précipitation en 4 heures Incompatible
injectable Cisatracurium besylate 5 mg/ml
injectable Piperacillin sodium / tazobactam 40/5 mg/ml
Glucose 5% 299
Compatible
injectable Cisatracurium besylate 0.4 mg/ml
injectable Plazomicin sulfate 24 mg/ml
Chlorure de sodium 0,9% 4145
Compatible
injectable Cisatracurium besylate 0.1 >> 5 mg/ml
injectable Potassium chloride 100 mEq/l
Glucose 5% 299
Compatible
injectable Cisatracurium besylate 5 mg/ml
injectable Potassium chloride 10 mEq/l
Chlorure de sodium 0,9% 3823
Compatible
injectable Cisatracurium besylate 0.1 >> 5 mg/ml
injectable Procainamide hydrochloride 10 mg/ml
Glucose 5% 299
Compatible
injectable Cisatracurium besylate 0.1 >> 5 mg/ml
injectable Prochlorperazine edysilate 0.5 mg/ml
Glucose 5% 299
Compatible
injectable Cisatracurium besylate 0.1 >> 5 mg/ml
injectable Promethazine hydrochloride 2 mg/ml
Glucose 5% 299
Incompatibilité non précisée Incompatible
injectable Cisatracurium besylate
injectable Propofol
3601
Compatible
injectable Cisatracurium besylate 0.1 >> 5 mg/ml
injectable Ranitidine hydrochloride 2 mg/ml
Glucose 5% 299
Compatible
injectable Cisatracurium besylate 5 mg/ml
injectable Remifentanil hydrochloride 100 µg/ml
Chlorure de sodium 0,9% 3823
Compatible
injectable Cisatracurium besylate 2 mg/ml
injectable Remifentanil hydrochloride 25 & 250 µg/ml
Chlorure de sodium 0,9% 59
Incompatibilité non précisée Incompatible
injectable Cisatracurium besylate
injectable Sodium bicarbonate
3466
Turbidité en 1 heure Incompatible
injectable Cisatracurium besylate 2 mg/ml
injectable Sodium bicarbonate 84 mg/ml
Glucose 5% 299
Incompatibilité non précisée Incompatible
injectable Cisatracurium besylate
injectable Sodium bicarbonate
3601
Compatible
injectable Cisatracurium besylate 0.1 mg/ml
injectable Sodium bicarbonate 84 mg/ml
Glucose 5% 299
Turbidité immédiate Incompatible
injectable Cisatracurium besylate 5 mg/ml
injectable Sodium bicarbonate 84 mg/ml
Glucose 5% 299
Turbidité en 2 heures Incompatible
injectable Cisatracurium besylate 5 mg/ml
injectable Sodium bicarbonate 84 mg/ml
Aucun 3212
Compatible
injectable Cisatracurium besylate 0.1 >> 5 mg/ml
injectable Sufentanil citrate 0.0125 mg/ml
Glucose 5% 299
Compatible
injectable Cisatracurium besylate
injectable Sufentanil citrate
3601
Compatible
injectable Cisatracurium besylate 0,4 mg/ml
injectable Sulbactam/durlobactam 15/15 mg/ml
Chlorure de sodium 0,9% 4801
Compatible
injectable Cisatracurium besylate 0.4 mg/ml
injectable Tedizolid phosphate 0.8 mg/ml
Chlorure de sodium 0,9% 3827
Compatible
injectable Cisatracurium besylate 0.1 >> 5 mg/ml
injectable Theophylline 3.2 mg/ml
Glucose 5% 299
Incompatibilité non précisée Incompatible
injectable Cisatracurium besylate
injectable Thiopental sodium
3601
Compatible
injectable Cisatracurium besylate 0.1 mg/ml
injectable Thiopental sodium 25 mg/ml
Glucose 5% 299
Incompatibilité non précisée Incompatible
injectable Cisatracurium besylate 5 mg/ml
injectable Thiopental sodium 60 mg/ml
Chlorure de sodium 0,9% 3823
Précipitation immédiate Incompatible
injectable Cisatracurium besylate 2 & 5 mg/ml
injectable Thiopental sodium 25 mg/ml
Glucose 5% 299
Compatible
injectable Cisatracurium besylate 0.1 & 2 mg/ml
injectable Ticarcillin / clavulanic acid 30 mg/ml
Glucose 5% 299
Turbidité immédiate Incompatible
injectable Cisatracurium besylate 5 mg/ml
injectable Ticarcillin / clavulanic acid 30 mg/ml
Glucose 5% 299
Compatible
injectable Cisatracurium besylate 0.1 >> 5 mg/ml
injectable Tobramycin sulfate 5 mg/ml
Glucose 5% 299
Compatible
injectable Cisatracurium besylate 0.1 >> 5 mg/ml
injectable Vancomycin hydrochloride 10 mg/ml
Glucose 5% 299
Compatible
injectable Cisatracurium besylate 1 mg/ml
injectable Vasopressin 1 UI/ml
Chlorure de sodium 0,9% 3429
Compatible
injectable Cisatracurium besylate 0.1 >> 5 mg/ml
injectable Zidovudine 4 mg/ml
Glucose 5% 299

  Mentions Légales