Laatste update :
18/03/2026
Curarimimeticum   Cisatracurium besylate  
injecteerbaar geneesmiddel
Stabiliteit in oplossing Stabiliteit in mengsels Factoren die de stabiliteit beïnvloeden Verenigbaarheden Toedieningswijze Literatuur pdf
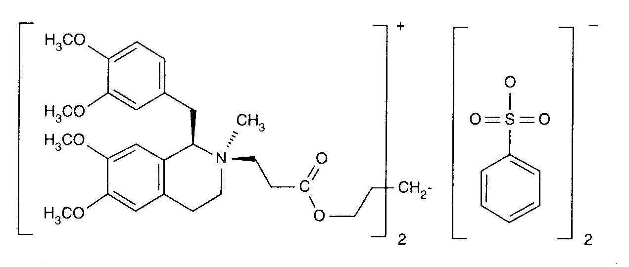
   Molecuulstructuur  

Merknamen in verschillende landen   Merknamen in verschillende landen     

Handelsnamen zijn slechts een indicatie; de samenstelling van hulpstoffen kan per land variëren afhankelijk van de fabrikant

Bensitrak Mexico
Besilato de cisatracurio
Cicuryl Mexico
Cirium Colombia
Cis Atracure
Cisatracurio Brazilië, Chili, Colombia, Ecuador, Italië, Peru, Spanje
Cisatracurium België, Canada, Duitsland, Finland, Frankrijk, Groot Britannië, Hongarije, Ierland, Tunisie
Nimbex België, Canada, Chili, Denemarken, Duitsland, Ecuador, Egypte, Finland, Frankrijk, Griekenland, Groot Britannië, Hongarije, Ierland, Iran, Italië, Luxemburg, Maleisië, Mexico, Nederland, Noorwegen, Oostenrijk, Peru, Polen, Portugal, Saudi-Arabië, Slovenië, Spanje, Tunisie, Turkije, USA, Venezuela, Verenigde Arabische Emiraten, Zweden
Nimbium Brazilië, Colombia
Verenigbaarheden   injecteerbaar geneesmiddel   Verenigbaarheden : Cisatracurium besylate              
In dit scherm worden de verenigbaarheden en onverenigbaarheden weergegeven. In het geval van een onverenigbaarheid wordt ook het type (neerslag, kleurverandering, modificatie van een emulsie, etc) weergegeven. De weergegeven verenigbaarheden zijn meestal alleen op uiterlijk beoordeeld, er heeft zelden een chemische beoordeling van iedere component plaatsgevonden. De verenigbaarheden betreffen gelijktijdige toediening aan de patient middels de Y-site. De data kan niet gebruikt worden in de beoordeling van verenigbaarheden van componenten in infuuszakken of spuiten. Die informatie is te vinden onder ‘stabiliteit in mengsels’.
Stof Oplosmiddel Literatuur
Onmiddellijke neerslag Onverenigbaar
injecteerbaar geneesmiddel Cisatracurium besylate 5 mg/ml
injecteerbaar geneesmiddel Aciclovir sodium 7 mg/ml
Glucose 5% 299
Verenigbaar
injecteerbaar geneesmiddel Cisatracurium besylate 0.1 & 2 mg/ml
injecteerbaar geneesmiddel Aciclovir sodium 7 mg/ml
Glucose 5% 299
Verenigbaar
injecteerbaar geneesmiddel Cisatracurium besylate
injecteerbaar geneesmiddel Alfentanil hydrochloride
3601
Verenigbaar
injecteerbaar geneesmiddel Cisatracurium besylate 0.1 >> 5 mg/ml
injecteerbaar geneesmiddel Alfentanil hydrochloride 125 µg/ml
Glucose 5% 299
Onmiddellijke neerslag Onverenigbaar
injecteerbaar geneesmiddel Cisatracurium besylate 1,2 mg/ml
injecteerbaar geneesmiddel Alprostadil 20 µg/ml
Glucose 5% 4651
Onmiddellijke neerslag Onverenigbaar
injecteerbaar geneesmiddel Cisatracurium besylate 1,2 mg/ml
injecteerbaar geneesmiddel Alprostadil 20 µg/ml
Glucose 5% 4491
Verenigbaar
injecteerbaar geneesmiddel Cisatracurium besylate 0.1 >> 5 mg/ml
injecteerbaar geneesmiddel Amikacin sulfate 5 mg/ml
Glucose 5% 299
Verenigbaar
injecteerbaar geneesmiddel Cisatracurium besylate 0.1 & 2 mg/ml
injecteerbaar geneesmiddel Aminophylline 2.5 mg/ml
Glucose 5% 299
Troebelheid in een uur Onverenigbaar
injecteerbaar geneesmiddel Cisatracurium besylate 5 mg/ml
injecteerbaar geneesmiddel Aminophylline 2.5 mg/ml
Glucose 5% 299
Verenigbaar
injecteerbaar geneesmiddel Cisatracurium besylate
injecteerbaar geneesmiddel Amiodarone hydrochloride
3464
Verenigbaar
injecteerbaar geneesmiddel Cisatracurium besylate 5 mg/ml
injecteerbaar geneesmiddel Amiodarone hydrochloride 15 mg/ml
Glucose 5% 3823
Verenigbaar
injecteerbaar geneesmiddel Cisatracurium besylate 0.1 mg/ml
injecteerbaar geneesmiddel Amphotericin B 0.6 mg/ml
Glucose 5% 299
Onmiddellijke neerslag Onverenigbaar
injecteerbaar geneesmiddel Cisatracurium besylate 2 & 5 mg/ml
injecteerbaar geneesmiddel Amphotericin B 0.6 mg/ml
Glucose 5% 299
Onmiddellijke neerslag Onverenigbaar
injecteerbaar geneesmiddel Cisatracurium besylate 2 mg/ml
injecteerbaar geneesmiddel Amphotericin B cholesteryl sulfate complex 0.83 mg/ml
Glucose 5% 921
Troebelheid in een uur Onverenigbaar
injecteerbaar geneesmiddel Cisatracurium besylate 5 mg/ml
injecteerbaar geneesmiddel Ampicillin sodium 20 mg/ml
Natriumchloride 0,9% 299
Verenigbaar
injecteerbaar geneesmiddel Cisatracurium besylate 0.1 & 2 mg/ml
injecteerbaar geneesmiddel Ampicillin sodium 20 mg/ml
Glucose 5% 299
Troebelheid in een uur Onverenigbaar
injecteerbaar geneesmiddel Cisatracurium besylate 5 mg/ml
injecteerbaar geneesmiddel Ampicillin sodium 20 mg/ml
Glucose 5% 299
Onmiddellijke troebelheid Onverenigbaar
injecteerbaar geneesmiddel Cisatracurium besylate 5 mg/ml
injecteerbaar geneesmiddel Ampicillin sodium - sulbactam sodium 20/10 mg/ml
Glucose 5% 299
Onmiddellijke troebelheid Onverenigbaar
injecteerbaar geneesmiddel Cisatracurium besylate 5 mg/ml
injecteerbaar geneesmiddel Ampicillin sodium - sulbactam sodium 20/10 mg/ml
Natriumchloride 0,9% 299
Verenigbaar
injecteerbaar geneesmiddel Cisatracurium besylate 0.1 & 2 mg/ml
injecteerbaar geneesmiddel Ampicillin sodium - sulbactam sodium 20/10 mg/ml
Glucose 5% 299
Verenigbaar
injecteerbaar geneesmiddel Cisatracurium besylate 0.1 >> 5 mg/ml
injecteerbaar geneesmiddel Aztreonam 40 mg/ml
Glucose 5% 299
Verenigbaar
injecteerbaar geneesmiddel Cisatracurium besylate 0.1 >> 5 mg/ml
injecteerbaar geneesmiddel Bumetanide 0.04 mg/ml
Glucose 5% 299
Verenigbaar
injecteerbaar geneesmiddel Cisatracurium besylate 0.1 >> 5 mg/ml
injecteerbaar geneesmiddel Buprenorphine hydrochloride 0.04 mg/ml
Glucose 5% 299
Verenigbaar
injecteerbaar geneesmiddel Cisatracurium besylate 0.1 >> 5 mg/ml
injecteerbaar geneesmiddel Butorphanol tartrate 0.04 mg/ml
Glucose 5% 299
Verenigbaar
injecteerbaar geneesmiddel Cisatracurium besylate 0.1 >> 5 mg/ml
injecteerbaar geneesmiddel Calcium gluconate 40 mg/ml
Glucose 5% 299
Verenigbaar
injecteerbaar geneesmiddel Cisatracurium besylate 1 mg/ml
injecteerbaar geneesmiddel Calcium gluconate 20 mg/ml
Natriumchloride 0,9% 3429
Onmiddellijke troebelheid Onverenigbaar
injecteerbaar geneesmiddel Cisatracurium besylate 2 & 5 mg/ml
injecteerbaar geneesmiddel Cefazolin sodium 20 mg/ml
Glucose 5% 299
Verenigbaar
injecteerbaar geneesmiddel Cisatracurium besylate 0.1 mg/ml
injecteerbaar geneesmiddel Cefazolin sodium 20 mg/ml
Glucose 5% 299
Verenigbaar
injecteerbaar geneesmiddel Cisatracurium besylate 0.4 mg/ml
injecteerbaar geneesmiddel Cefiderocol sulfate tosylate 20 mg/mL
Glucose 5% 4528
Verenigbaar
injecteerbaar geneesmiddel Cisatracurium besylate 0.4 mg/ml
injecteerbaar geneesmiddel Cefiderocol sulfate tosylate 20 mg/mL
Natriumchloride 0,9% 4528
Onmiddellijke neerslag Onverenigbaar
injecteerbaar geneesmiddel Cisatracurium besylate 0.1 >> 5 mg/ml
injecteerbaar geneesmiddel Cefoperazone sodium 40 mg/ml
Glucose 5% 299
Verenigbaar
injecteerbaar geneesmiddel Cisatracurium besylate 0.1 >> 5 mg/ml
injecteerbaar geneesmiddel Cefoperazone sodium 40 mg/ml
Glucose 5% 299
Troebelheid in 4 uur Onverenigbaar
injecteerbaar geneesmiddel Cisatracurium besylate 2 mg/ml
injecteerbaar geneesmiddel Cefotaxime sodium 20 mg/ml
Glucose 5% 299
Onmiddellijke troebelheid Onverenigbaar
injecteerbaar geneesmiddel Cisatracurium besylate 5 mg/ml
injecteerbaar geneesmiddel Cefotaxime sodium 20 mg/ml
Glucose 5% 299
Verenigbaar
injecteerbaar geneesmiddel Cisatracurium besylate 0.1 mg/ml
injecteerbaar geneesmiddel Cefotaxime sodium 20 mg/ml
Glucose 5% 299
Verenigbaar
injecteerbaar geneesmiddel Cisatracurium besylate 0.1 mg/ml
injecteerbaar geneesmiddel Cefoxitin sodium 20 mg/ml
Glucose 5% 299
Onmiddellijke troebelheid Onverenigbaar
injecteerbaar geneesmiddel Cisatracurium besylate 2 & 5 mg/ml
injecteerbaar geneesmiddel Cefoxitin sodium 20 mg/ml
Glucose 5% 299
Verenigbaar
injecteerbaar geneesmiddel Cisatracurium besylate 0,5 mg/ml
injecteerbaar geneesmiddel Ceftaroline fosamil 2,22 mg/ml
Ringer-lactaat 3249
Verenigbaar
injecteerbaar geneesmiddel Cisatracurium besylate 0,5 mg/ml
injecteerbaar geneesmiddel Ceftaroline fosamil 2,22 mg/ml
Glucose 5% 3249
Verenigbaar
injecteerbaar geneesmiddel Cisatracurium besylate 0,5 mg/ml
injecteerbaar geneesmiddel Ceftaroline fosamil 2,22 mg/ml
Natriumchloride 0,9% 3249
Onmiddellijke troebelheid Onverenigbaar
injecteerbaar geneesmiddel Cisatracurium besylate 5 mg/ml
injecteerbaar geneesmiddel Ceftazidime 40 mg/ml
Glucose 5% 299
Verenigbaar
injecteerbaar geneesmiddel Cisatracurium besylate 0.1 & 2 mg/ml
injecteerbaar geneesmiddel Ceftazidime 40 mg/ml
Glucose 5% 299
Verenigbaar
injecteerbaar geneesmiddel Cisatracurium besylate 0.1 & 2 mg/ml
injecteerbaar geneesmiddel Ceftizoxime sodium 20 mg/ml
Glucose 5% 299
Troebelheid in een uur Onverenigbaar
injecteerbaar geneesmiddel Cisatracurium besylate 5 mg/ml
injecteerbaar geneesmiddel Ceftizoxime sodium 20 mg/ml
Glucose 5% 299
Onmiddellijke neerslag Onverenigbaar
injecteerbaar geneesmiddel Cisatracurium besylate 0.5 mg/ml
injecteerbaar geneesmiddel Ceftobiprole medocaril sodium 2 mg/ml
Natriumchloride 0,9% 2269
Onmiddellijke neerslag Onverenigbaar
injecteerbaar geneesmiddel Cisatracurium besylate 0.5 mg/ml
injecteerbaar geneesmiddel Ceftobiprole medocaril sodium 2 mg/ml
Ringer-lactaat 2269
Onmiddellijke neerslag Onverenigbaar
injecteerbaar geneesmiddel Cisatracurium besylate 0.5 mg/ml
injecteerbaar geneesmiddel Ceftobiprole medocaril sodium 2 mg/ml
Glucose 5% 2269
Niet-gespecificeerde incompatibiliteit Onverenigbaar
injecteerbaar geneesmiddel Cisatracurium besylate
injecteerbaar geneesmiddel Ceftobiprole medocaril sodium
4650
Verenigbaar
injecteerbaar geneesmiddel Cisatracurium besylate 0.4 mg/ml
injecteerbaar geneesmiddel Ceftolozane / tazobactam 10/5 mg/ml
Glucose 5% 3828
Verenigbaar
injecteerbaar geneesmiddel Cisatracurium besylate 0.4 mg/ml
injecteerbaar geneesmiddel Ceftolozane / tazobactam 10/5 mg/ml
Natriumchloride 0,9% 3828
Verenigbaar
injecteerbaar geneesmiddel Cisatracurium besylate 0.1 >> 5 mg/ml
injecteerbaar geneesmiddel Ceftriaxone disodium 20 mg/ml
Glucose 5% 299
Onmiddellijke neerslag Onverenigbaar
injecteerbaar geneesmiddel Cisatracurium besylate 2 & 5 mg/ml
injecteerbaar geneesmiddel Cefuroxime sodium 30 mg/ml
Glucose 5% 299
Verenigbaar
injecteerbaar geneesmiddel Cisatracurium besylate 0.1 >> 5 mg/ml
injecteerbaar geneesmiddel Chlorpromazine hydrochloride 2 mg/ml
Glucose 5% 299
Verenigbaar
injecteerbaar geneesmiddel Cisatracurium besylate 0.1 >> 5 mg/ml
injecteerbaar geneesmiddel Cimetidine hydrochloride 12 mg/ml
Glucose 5% 299
Verenigbaar
injecteerbaar geneesmiddel Cisatracurium besylate 0.1 >> 5 mg/ml
injecteerbaar geneesmiddel Ciprofloxacin lactate 1 mg/ml
Glucose 5% 299
Verenigbaar
injecteerbaar geneesmiddel Cisatracurium besylate 0.1 >> 5 mg/ml
injecteerbaar geneesmiddel Clindamycin phosphate 10 mg/ml
Glucose 5% 299
Verenigbaar
injecteerbaar geneesmiddel Cisatracurium besylate 5 mg/ml
injecteerbaar geneesmiddel Clonazepam 0.2 mg/ml
Natriumchloride 0,9% 3823
Verenigbaar
injecteerbaar geneesmiddel Cisatracurium besylate 5 mg/ml
injecteerbaar geneesmiddel Clonidine hydrochloride 0.012 mg/ml
Natriumchloride 0,9% 3823
Onmiddellijke troebelheid Onverenigbaar
injecteerbaar geneesmiddel Cisatracurium besylate 2 & 5 mg/ml
injecteerbaar geneesmiddel Co-trimoxazole 0,8/4 mg/ml
Glucose 5% 299
Verenigbaar
injecteerbaar geneesmiddel Cisatracurium besylate 0.1 mg/ml
injecteerbaar geneesmiddel Co-trimoxazole 0.8/4 mg/ml
Glucose 5% 299
Verenigbaar
injecteerbaar geneesmiddel Cisatracurium besylate 0.5 mg/ml
injecteerbaar geneesmiddel Dexmedetomidine 4 µg/ml
Natriumchloride 0,9% 1712
Verenigbaar
injecteerbaar geneesmiddel Cisatracurium besylate 0.1 >> 5 mg/ml
injecteerbaar geneesmiddel Diazepam 0.25 mg/ml
Glucose 5% 299
Onmiddellijke neerslag Onverenigbaar
injecteerbaar geneesmiddel Cisatracurium besylate 0.1 >> 5 mg/ml
injecteerbaar geneesmiddel Diazepam 5 mg/ml
Glucose 5% 299
Niet-gespecificeerde incompatibiliteit Onverenigbaar
injecteerbaar geneesmiddel Cisatracurium besylate 5 mg/ml
injecteerbaar geneesmiddel Diclofenac 3 mg/ml
Natriumchloride 0,9% 3823
Verenigbaar
injecteerbaar geneesmiddel Cisatracurium besylate 0.1 >> 5 mg/ml
injecteerbaar geneesmiddel Digoxin 250 µg/ml
Glucose 5% 299
Verenigbaar
injecteerbaar geneesmiddel Cisatracurium besylate 1 mg/ml
injecteerbaar geneesmiddel Diltiazem hydrochloride 1 mg/ml
Natriumchloride 0,9% 3429
Verenigbaar
injecteerbaar geneesmiddel Cisatracurium besylate 0.1 >> 5 mg/ml
injecteerbaar geneesmiddel Diphenhydramine hydrochloride 2 mg/ml
Glucose 5% 299
Verenigbaar
injecteerbaar geneesmiddel Cisatracurium besylate 0.1 >> 5 mg/ml
injecteerbaar geneesmiddel Dobutamine hydrochloride 4 mg/ml
Glucose 5% 299
Verenigbaar
injecteerbaar geneesmiddel Cisatracurium besylate 0.1 >> 5 mg/ml
injecteerbaar geneesmiddel Dopamine hydrochloride 3.2 mg/ml
Glucose 5% 299
Verenigbaar
injecteerbaar geneesmiddel Cisatracurium besylate 0.1 >> 5 mg/ml
injecteerbaar geneesmiddel Doxycycline hyclate 1 mg/ml
Glucose 5% 299
Verenigbaar
injecteerbaar geneesmiddel Cisatracurium besylate
injecteerbaar geneesmiddel Droperidol
3601
Verenigbaar
injecteerbaar geneesmiddel Cisatracurium besylate 0.1 >> 5 mg/ml
injecteerbaar geneesmiddel Droperidol 2.5 mg/ml
Glucose 5% 299
Verenigbaar
injecteerbaar geneesmiddel Cisatracurium besylate 0.1 >> 5 mg/ml
injecteerbaar geneesmiddel Enalaprilate 0.1 mg/ml
Glucose 5% 299
Verenigbaar
injecteerbaar geneesmiddel Cisatracurium besylate 0.1 >> 5 mg/ml
injecteerbaar geneesmiddel Epinephrine hydrochloride 50 µg/ml
Glucose 5% 299
Verenigbaar
injecteerbaar geneesmiddel Cisatracurium besylate 0,4 mg/ml
injecteerbaar geneesmiddel Eravacycline 0,6 mg/ml
Natriumchloride 0,9% 4434
Verenigbaar
injecteerbaar geneesmiddel Cisatracurium besylate 0.1 >> 5 mg/ml
injecteerbaar geneesmiddel Esmolol hydrochloride 10 mg/ml
Glucose 5% 299
Verenigbaar
injecteerbaar geneesmiddel Cisatracurium besylate 0.4 mg/ml
injecteerbaar geneesmiddel Fosfomycin 30 mg/ml
Glucose 5% 4055
Onmiddellijke troebelheid Onverenigbaar
injecteerbaar geneesmiddel Cisatracurium besylate 5 mg/ml
NaHCO3 3823
Verenigbaar
injecteerbaar geneesmiddel Cisatracurium besylate 5 mg/ml
injecteerbaar geneesmiddel Esmolol hydrochloride 10 mg/ml
Natriumchloride 0,9% 3823
Verenigbaar
injecteerbaar geneesmiddel Cisatracurium besylate 2 mg/ml
injecteerbaar geneesmiddel Esmolol hydrochloride 10 mg/ml
Natriumchloride 0,9% 3879
Verenigbaar
injecteerbaar geneesmiddel Cisatracurium besylate 1 mg/ml
injecteerbaar geneesmiddel Esomeprazole sodium 0,4 mg/ml
Natriumchloride 0,9% 3429
Verenigbaar
injecteerbaar geneesmiddel Cisatracurium besylate 0.1 >> 5 mg/ml
injecteerbaar geneesmiddel Famotidine 2 mg/ml
Glucose 5% 299
Verenigbaar
injecteerbaar geneesmiddel Cisatracurium besylate 0.5 mg/ml
injecteerbaar geneesmiddel Fenoldopam mesylate 80 µg/ml
Natriumchloride 0,9% 1803
Verenigbaar
injecteerbaar geneesmiddel Cisatracurium besylate 0.1 >> 5 mg/ml
injecteerbaar geneesmiddel Fentanyl citrate 12.5 µg/ml
Glucose 5% 299
Verenigbaar
injecteerbaar geneesmiddel Cisatracurium besylate
injecteerbaar geneesmiddel Fentanyl citrate
3601
Verenigbaar
injecteerbaar geneesmiddel Cisatracurium besylate 0.1 >> 5 mg/ml
injecteerbaar geneesmiddel Fluconazole 2 mg/ml
Glucose 5% 299
Verenigbaar
injecteerbaar geneesmiddel Cisatracurium besylate 0.4 mg/ml
injecteerbaar geneesmiddel Fosfomycin 30 mg/ml
Natriumchloride 0,9% 4055
Niet-gespecificeerde incompatibiliteit Onverenigbaar
injecteerbaar geneesmiddel Cisatracurium besylate
injecteerbaar geneesmiddel Furosemide
3465
Onmiddellijke troebelheid Onverenigbaar
injecteerbaar geneesmiddel Cisatracurium besylate 2 & 5 mg/ml
NaHCO3 299
Onmiddellijke neerslag Onverenigbaar
injecteerbaar geneesmiddel Cisatracurium besylate 5 mg/ml
injecteerbaar geneesmiddel Furosemide 10 mg/ml
Natriumchloride 0,9% 3463
Verenigbaar
injecteerbaar geneesmiddel Cisatracurium besylate 0.1 mg/ml
injecteerbaar geneesmiddel Furosemide 3 mg/ml
Glucose 5% 299
Niet-gespecificeerde incompatibiliteit Onverenigbaar
injecteerbaar geneesmiddel Cisatracurium besylate 5 mg/ml
injecteerbaar geneesmiddel Furosemide 10 mg/ml
Natriumchloride 0,9% 3823
Onmiddellijke neerslag Onverenigbaar
injecteerbaar geneesmiddel Cisatracurium besylate 5 mg/ml
injecteerbaar geneesmiddel Ganciclovir sodium 20 mg/ml
Glucose 5% 299
Niet-gespecificeerde incompatibiliteit Onverenigbaar
injecteerbaar geneesmiddel Cisatracurium besylate
NaHCO3 3466
Verenigbaar
injecteerbaar geneesmiddel Cisatracurium besylate 0.1 & 2 mg/ml
injecteerbaar geneesmiddel Ganciclovir sodium 20 mg/ml
Glucose 5% 299
Niet-gespecificeerde incompatibiliteit Onverenigbaar
injecteerbaar geneesmiddel Cisatracurium besylate
NaHCO3 3601
Onmiddellijke neerslag Onverenigbaar
injecteerbaar geneesmiddel Cisatracurium besylate 2 & 5 mg/ml
injecteerbaar geneesmiddel Furosemide 3 mg/ml
Glucose 5% 299
Niet-gespecificeerde incompatibiliteit Onverenigbaar
injecteerbaar geneesmiddel Cisatracurium besylate 5 mg/ml
injecteerbaar geneesmiddel Furosemide 10 mg/ml
Geen 3134
Verenigbaar
injecteerbaar geneesmiddel Cisatracurium besylate 0.1 >> 5 mg/ml
injecteerbaar geneesmiddel Gentamicin sulfate 5 mg/ml
Glucose 5% 299
Verenigbaar
injecteerbaar geneesmiddel Cisatracurium besylate 0.1 >> 5 mg/ml
injecteerbaar geneesmiddel Haloperidol lactate 0.2 mg/ml
Glucose 5% 299
Onmiddellijke neerslag Onverenigbaar
injecteerbaar geneesmiddel Cisatracurium besylate 5 mg/ml
injecteerbaar geneesmiddel Heparin sodium 100 UI/ml
Glucose 5% 299
Instabiliteit van de emulsie na 4 uur Onverenigbaar
injecteerbaar geneesmiddel Cisatracurium besylate 2 mg/ml
Parenterale voeding (met lipiden) 4507
Niet-gespecificeerde incompatibiliteit Onverenigbaar
injecteerbaar geneesmiddel Cisatracurium besylate
Ringer-lactaat 3601
Kleur verandering Onverenigbaar
injecteerbaar geneesmiddel Cisatracurium besylate 5 mg/ml
injecteerbaar geneesmiddel Heparin sodium 500 UI/ml
Natriumchloride 0,9% 3463
Verenigbaar
injecteerbaar geneesmiddel Cisatracurium besylate 0.1 & 2 mg/ml
injecteerbaar geneesmiddel Heparin sodium 100 UI/ml
Glucose 5% 299
Niet-gespecificeerde incompatibiliteit Onverenigbaar
injecteerbaar geneesmiddel Cisatracurium besylate 5 mg/ml
injecteerbaar geneesmiddel Heparin sodium 500 UI/ml
Natriumchloride 0,9% 3823
Verenigbaar
injecteerbaar geneesmiddel Cisatracurium besylate
Glucose 5% 3601
Niet-gespecificeerde incompatibiliteit Onverenigbaar
injecteerbaar geneesmiddel Cisatracurium besylate
injecteerbaar geneesmiddel Heparin sodium
3540
Verenigbaar
injecteerbaar geneesmiddel Cisatracurium besylate 0.5 mg/ml
injecteerbaar geneesmiddel Hetastarch 60 mg/ml
specifieke solvent 1721
Verenigbaar
injecteerbaar geneesmiddel Cisatracurium besylate 0.1 >> 5 mg/ml
injecteerbaar geneesmiddel Hydrocortisone sodium succinate 1 mg/ml
Glucose 5% 299
Verenigbaar
injecteerbaar geneesmiddel Cisatracurium besylate 2 mg/ml
injecteerbaar geneesmiddel Hydrocortisone sodium succinate 1 mg/ml
Natriumchloride 0,9% 4465
Verenigbaar
injecteerbaar geneesmiddel Cisatracurium besylate 0.1 >> 5 mg/ml
injecteerbaar geneesmiddel Hydromorphone hydrochloride 0.5 mg/ml
Glucose 5% 299
Verenigbaar
injecteerbaar geneesmiddel Cisatracurium besylate 0.1 >> 5 mg/ml
injecteerbaar geneesmiddel Hydroxyzine dihydrochloride 2 mg/ml
Glucose 5% 299
Verenigbaar
injecteerbaar geneesmiddel Cisatracurium besylate 0.1 >> 5 mg/ml
injecteerbaar geneesmiddel Imipenem - cilastatin sodium 10 mg/ml
Glucose 5% 299
Verenigbaar
injecteerbaar geneesmiddel Cisatracurium besylate 0,4 mg/ml
injecteerbaar geneesmiddel Imipenem-Cilastatin / Relebactam 5 mg/ml
Natriumchloride 0,9% 4433
Verenigbaar
injecteerbaar geneesmiddel Cisatracurium besylate 0,4 mg/ml
injecteerbaar geneesmiddel Imipenem-Cilastatin / Relebactam 5 mg/ml
Glucose 5% 4433
Verenigbaar
injecteerbaar geneesmiddel Cisatracurium besylate 1 mg/ml
injecteerbaar geneesmiddel Insulin 1 UI/ml
Natriumchloride 0,9% 3429
Verenigbaar
injecteerbaar geneesmiddel Cisatracurium besylate 5 mg/ml
injecteerbaar geneesmiddel Insulin 2 UI/ml
Natriumchloride 0,9% 3823
Verenigbaar
injecteerbaar geneesmiddel Cisatracurium besylate 0.4 mg/ml
injecteerbaar geneesmiddel Isavuconazonium sulfate 1.5 mg/ml
Natriumchloride 0,9% 3829
Verenigbaar
injecteerbaar geneesmiddel Cisatracurium besylate 0.4 mg/ml
injecteerbaar geneesmiddel Isavuconazonium sulfate 1.5 mg/ml
Glucose 5% 3829
Verenigbaar
injecteerbaar geneesmiddel Cisatracurium besylate 0.1 >> 5 mg/ml
injecteerbaar geneesmiddel Isoprenaline hydrochloride 0.02 mg/ml
Glucose 5% 299
Verenigbaar
injecteerbaar geneesmiddel Cisatracurium besylate 0.1 >> 5 mg/ml
injecteerbaar geneesmiddel Ketorolac tromethamine 15 mg/ml
Glucose 5% 299
Niet-gespecificeerde incompatibiliteit Onverenigbaar
injecteerbaar geneesmiddel Cisatracurium besylate
injecteerbaar geneesmiddel Ketorolac tromethamine
3601
Verenigbaar
injecteerbaar geneesmiddel Cisatracurium besylate 0.1 >> 5 mg/ml
injecteerbaar geneesmiddel Lorazepam 0.5 mg/ml
Glucose 5% 299
Verenigbaar
injecteerbaar geneesmiddel Cisatracurium besylate 0.1 >> 5 mg/ml
injecteerbaar geneesmiddel Magnesium sulfate 100 mg/ml
Glucose 5% 299
Verenigbaar
injecteerbaar geneesmiddel Cisatracurium besylate 0.1 >> 5 mg/ml
injecteerbaar geneesmiddel Mannitol 150 mg/ml
Glucose 5% 299
Verenigbaar
injecteerbaar geneesmiddel Cisatracurium besylate
Natriumchloride 0,9% 3601
Verenigbaar
injecteerbaar geneesmiddel Cisatracurium besylate 2 mg/ml
injecteerbaar geneesmiddel Labetalol hydrochloride 5 mg/ml
Natriumchloride 0,9% 3879
Verenigbaar
injecteerbaar geneesmiddel Cisatracurium besylate 1 mg/ml
injecteerbaar geneesmiddel Levetiracetam 5 mg/ml
Natriumchloride 0,9% 4569
Verenigbaar
injecteerbaar geneesmiddel Cisatracurium besylate 0.1 >> 5 mg/ml
injecteerbaar geneesmiddel Lidocaine hydrochloride 8 mg/ml
Glucose 5% 299
Verenigbaar
injecteerbaar geneesmiddel Cisatracurium besylate 2 mg/ml
injecteerbaar geneesmiddel Linezolid 2 mg/ml
Geen 1925
Verenigbaar
injecteerbaar geneesmiddel Cisatracurium besylate 0.1 mg/ml
injecteerbaar geneesmiddel Methylprednisolone sodium succinate 5 mg/ml
Glucose 5% 299
Onmiddellijke troebelheid Onverenigbaar
injecteerbaar geneesmiddel Cisatracurium besylate 2 & 5 mg/ml
injecteerbaar geneesmiddel Methylprednisolone sodium succinate 5 mg/ml
Glucose 5% 299
Verenigbaar
injecteerbaar geneesmiddel Cisatracurium besylate 0.1 >> 5 mg/ml
injecteerbaar geneesmiddel Metoclopramide hydrochloride 5 mg/ml
Glucose 5% 299
Verenigbaar
injecteerbaar geneesmiddel Cisatracurium besylate 2 mg/ml
injecteerbaar geneesmiddel Metoprolol tartrate 0.4 mg/ml
Natriumchloride 0,9% 3879
Verenigbaar
injecteerbaar geneesmiddel Cisatracurium besylate 0.1 >> 5 mg/ml
injecteerbaar geneesmiddel Metronidazole 5 mg/ml
Glucose 5% 299
Onmiddellijke neerslag Onverenigbaar
injecteerbaar geneesmiddel Cisatracurium besylate 0.5 mg/ml
injecteerbaar geneesmiddel Micafungin 1.5 mg/ml
Natriumchloride 0,9% 2108
Verenigbaar
injecteerbaar geneesmiddel Cisatracurium besylate
injecteerbaar geneesmiddel Midazolam hydrochloride
3601
Verenigbaar
injecteerbaar geneesmiddel Cisatracurium besylate 5 mg/ml
injecteerbaar geneesmiddel Midazolam hydrochloride 2.1 mg/ml
Natriumchloride 0,9% 3823
Verenigbaar
injecteerbaar geneesmiddel Cisatracurium besylate 0.1 >> 5 mg/ml
injecteerbaar geneesmiddel Midazolam hydrochloride 1 mg/ml
Glucose 5% 299
Verenigbaar
injecteerbaar geneesmiddel Cisatracurium besylate 0.1 >> 5 mg/ml
injecteerbaar geneesmiddel Minocycline hydrochloride 0.2 mg/ml
Glucose 5% 299
Verenigbaar
injecteerbaar geneesmiddel Cisatracurium besylate 0.1 >> 5 mg/ml
injecteerbaar geneesmiddel Morphine sulfate 1 mg/ml
Glucose 5% 299
Verenigbaar
injecteerbaar geneesmiddel Cisatracurium besylate 0.1 >> 5 mg/ml
injecteerbaar geneesmiddel Nalbuphine hydrochloride 10 mg/ml
Glucose 5% 299
Verenigbaar
injecteerbaar geneesmiddel Cisatracurium besylate 0.1 >> 5 mg/ml
injecteerbaar geneesmiddel Netilmicin sulfate 5 mg/ml
Glucose 5% 299
Verenigbaar
injecteerbaar geneesmiddel Cisatracurium besylate 1 mg/ml
injecteerbaar geneesmiddel Nicardipine hydrochloride 0,5 mg/ml
Natriumchloride 0,9% 3429
Verenigbaar
injecteerbaar geneesmiddel Cisatracurium besylate 5 mg/ml
injecteerbaar geneesmiddel Nimodipine 0.2 mg/ml
Natriumchloride 0,9% 3823
Verenigbaar
injecteerbaar geneesmiddel Cisatracurium besylate 0.1 >> 5 mg/ml
injecteerbaar geneesmiddel Nitroglycerin 0.4 mg/ml
Glucose 5% 299
Verenigbaar
injecteerbaar geneesmiddel Cisatracurium besylate 5 mg/ml
injecteerbaar geneesmiddel Nitroglycerin 0.2 mg/ml
Glucose 5% 3823
Onmiddellijke neerslag Onverenigbaar
injecteerbaar geneesmiddel Cisatracurium besylate 2 & 5 mg/ml
injecteerbaar geneesmiddel Nitroprusside sodium 2 mg/ml
Glucose 5% 299
Verenigbaar
injecteerbaar geneesmiddel Cisatracurium besylate 0.1 mg/ml
injecteerbaar geneesmiddel Nitroprusside sodium 2 mg/ml
Glucose 5% 299
Verenigbaar
injecteerbaar geneesmiddel Cisatracurium besylate 0.1 >> 5 mg/ml
injecteerbaar geneesmiddel Norepinephrine bitartrate 0.12 mg/ml
Glucose 5% 299
Verenigbaar
injecteerbaar geneesmiddel Cisatracurium besylate 0.1 >> 5 mg/ml
injecteerbaar geneesmiddel Ofloxacin 4 mg/ml
Glucose 5% 299
Verenigbaar
injecteerbaar geneesmiddel Cisatracurium besylate 5 mg/ml
injecteerbaar geneesmiddel Omeprazole sodium 1.6 mg/ml
Natriumchloride 0,9% 3823
Verenigbaar
injecteerbaar geneesmiddel Cisatracurium besylate 0.1 >> 5 mg/ml
injecteerbaar geneesmiddel Ondansetron hydrochloride 1 mg/ml
Glucose 5% 299
Verenigbaar
injecteerbaar geneesmiddel Cisatracurium besylate 0,5 mg/ml
injecteerbaar geneesmiddel Palonosetron hydrochloride 50 µg/ml
Glucose 5% 2227
Troebelheid in een uur Onverenigbaar
injecteerbaar geneesmiddel Cisatracurium besylate 1 mg/ml
injecteerbaar geneesmiddel Pantoprazole sodium 0,8 mg/ml
Natriumchloride 0,9% 3429
Verenigbaar
injecteerbaar geneesmiddel Cisatracurium besylate 0.1 >> 5 mg/ml
injecteerbaar geneesmiddel Pethidine hydrochloride 4 mg/ml
Glucose 5% 299
Verenigbaar
injecteerbaar geneesmiddel Cisatracurium besylate 0.1 >> 5 mg/ml
injecteerbaar geneesmiddel Phenylephrine hydrochloride 1 mg/ml
Glucose 5% 299
Verenigbaar
injecteerbaar geneesmiddel Cisatracurium besylate 0.1 mg/ml
injecteerbaar geneesmiddel Piperacillin sodium 40 mg/ml
Glucose 5% 299
Onmiddellijke troebelheid Onverenigbaar
injecteerbaar geneesmiddel Cisatracurium besylate 2 & 5 mg/ml
injecteerbaar geneesmiddel Piperacillin sodium 40 mg/ml
Glucose 5% 299
Verenigbaar
injecteerbaar geneesmiddel Cisatracurium besylate 0.1 & 2 mg/ml
injecteerbaar geneesmiddel Piperacillin sodium / tazobactam 40/5 mg/ml
Glucose 5% 299
Neerslag na 4 uur Onverenigbaar
injecteerbaar geneesmiddel Cisatracurium besylate 5 mg/ml
injecteerbaar geneesmiddel Piperacillin sodium / tazobactam 40/5 mg/ml
Glucose 5% 299
Verenigbaar
injecteerbaar geneesmiddel Cisatracurium besylate 0.4 mg/ml
injecteerbaar geneesmiddel Plazomicin sulfate 24 mg/ml
Natriumchloride 0,9% 4145
Verenigbaar
injecteerbaar geneesmiddel Cisatracurium besylate 0.1 >> 5 mg/ml
injecteerbaar geneesmiddel Potassium chloride 100 mEq/l
Glucose 5% 299
Verenigbaar
injecteerbaar geneesmiddel Cisatracurium besylate 5 mg/ml
injecteerbaar geneesmiddel Potassium chloride 10 mEq/l
Natriumchloride 0,9% 3823
Verenigbaar
injecteerbaar geneesmiddel Cisatracurium besylate 0.1 >> 5 mg/ml
injecteerbaar geneesmiddel Procainamide hydrochloride 10 mg/ml
Glucose 5% 299
Verenigbaar
injecteerbaar geneesmiddel Cisatracurium besylate 0.1 >> 5 mg/ml
injecteerbaar geneesmiddel Prochlorperazine edysilate 0.5 mg/ml
Glucose 5% 299
Verenigbaar
injecteerbaar geneesmiddel Cisatracurium besylate 0.1 >> 5 mg/ml
injecteerbaar geneesmiddel Promethazine hydrochloride 2 mg/ml
Glucose 5% 299
Niet-gespecificeerde incompatibiliteit Onverenigbaar
injecteerbaar geneesmiddel Cisatracurium besylate
injecteerbaar geneesmiddel Propofol
3601
Verenigbaar
injecteerbaar geneesmiddel Cisatracurium besylate 0.1 >> 5 mg/ml
injecteerbaar geneesmiddel Ranitidine hydrochloride 2 mg/ml
Glucose 5% 299
Verenigbaar
injecteerbaar geneesmiddel Cisatracurium besylate 5 mg/ml
injecteerbaar geneesmiddel Remifentanil hydrochloride 100 µg/ml
Natriumchloride 0,9% 3823
Verenigbaar
injecteerbaar geneesmiddel Cisatracurium besylate 2 mg/ml
injecteerbaar geneesmiddel Remifentanil hydrochloride 25 & 250 µg/ml
Natriumchloride 0,9% 59
Niet-gespecificeerde incompatibiliteit Onverenigbaar
injecteerbaar geneesmiddel Cisatracurium besylate
injecteerbaar geneesmiddel Sodium bicarbonate
3466
Troebelheid in een uur Onverenigbaar
injecteerbaar geneesmiddel Cisatracurium besylate 2 mg/ml
injecteerbaar geneesmiddel Sodium bicarbonate 84 mg/ml
Glucose 5% 299
Niet-gespecificeerde incompatibiliteit Onverenigbaar
injecteerbaar geneesmiddel Cisatracurium besylate
injecteerbaar geneesmiddel Sodium bicarbonate
3601
Verenigbaar
injecteerbaar geneesmiddel Cisatracurium besylate 0.1 mg/ml
injecteerbaar geneesmiddel Sodium bicarbonate 84 mg/ml
Glucose 5% 299
Onmiddellijke troebelheid Onverenigbaar
injecteerbaar geneesmiddel Cisatracurium besylate 5 mg/ml
injecteerbaar geneesmiddel Sodium bicarbonate 84 mg/ml
Glucose 5% 299
Troebelheid in 2 uur Onverenigbaar
injecteerbaar geneesmiddel Cisatracurium besylate 5 mg/ml
injecteerbaar geneesmiddel Sodium bicarbonate 84 mg/ml
Geen 3212
Verenigbaar
injecteerbaar geneesmiddel Cisatracurium besylate 0.1 >> 5 mg/ml
injecteerbaar geneesmiddel Sufentanil citrate 0.0125 mg/ml
Glucose 5% 299
Verenigbaar
injecteerbaar geneesmiddel Cisatracurium besylate
injecteerbaar geneesmiddel Sufentanil citrate
3601
Verenigbaar
injecteerbaar geneesmiddel Cisatracurium besylate 0,4 mg/ml
injecteerbaar geneesmiddel Sulbactam/durlobactam 15/15 mg/ml
Natriumchloride 0,9% 4801
Verenigbaar
injecteerbaar geneesmiddel Cisatracurium besylate 0.4 mg/ml
injecteerbaar geneesmiddel Tedizolid phosphate 0.8 mg/ml
Natriumchloride 0,9% 3827
Verenigbaar
injecteerbaar geneesmiddel Cisatracurium besylate 0.1 >> 5 mg/ml
injecteerbaar geneesmiddel Theophylline 3.2 mg/ml
Glucose 5% 299
Niet-gespecificeerde incompatibiliteit Onverenigbaar
injecteerbaar geneesmiddel Cisatracurium besylate
injecteerbaar geneesmiddel Thiopental sodium
3601
Verenigbaar
injecteerbaar geneesmiddel Cisatracurium besylate 0.1 mg/ml
injecteerbaar geneesmiddel Thiopental sodium 25 mg/ml
Glucose 5% 299
Niet-gespecificeerde incompatibiliteit Onverenigbaar
injecteerbaar geneesmiddel Cisatracurium besylate 5 mg/ml
injecteerbaar geneesmiddel Thiopental sodium 60 mg/ml
Natriumchloride 0,9% 3823
Onmiddellijke neerslag Onverenigbaar
injecteerbaar geneesmiddel Cisatracurium besylate 2 & 5 mg/ml
injecteerbaar geneesmiddel Thiopental sodium 25 mg/ml
Glucose 5% 299
Verenigbaar
injecteerbaar geneesmiddel Cisatracurium besylate 0.1 & 2 mg/ml
injecteerbaar geneesmiddel Ticarcillin / clavulanic acid 30 mg/ml
Glucose 5% 299
Onmiddellijke troebelheid Onverenigbaar
injecteerbaar geneesmiddel Cisatracurium besylate 5 mg/ml
injecteerbaar geneesmiddel Ticarcillin / clavulanic acid 30 mg/ml
Glucose 5% 299
Verenigbaar
injecteerbaar geneesmiddel Cisatracurium besylate 0.1 >> 5 mg/ml
injecteerbaar geneesmiddel Tobramycin sulfate 5 mg/ml
Glucose 5% 299
Verenigbaar
injecteerbaar geneesmiddel Cisatracurium besylate 0.1 >> 5 mg/ml
injecteerbaar geneesmiddel Vancomycin hydrochloride 10 mg/ml
Glucose 5% 299
Verenigbaar
injecteerbaar geneesmiddel Cisatracurium besylate 1 mg/ml
injecteerbaar geneesmiddel Vasopressin 1 UI/ml
Natriumchloride 0,9% 3429
Verenigbaar
injecteerbaar geneesmiddel Cisatracurium besylate 0.1 >> 5 mg/ml
injecteerbaar geneesmiddel Zidovudine 4 mg/ml
Glucose 5% 299

  Mentions Légales