Pēdējā atjaunošana :
18/03/2026
Kurarīnmimētiķis   Cisatracurium besylate  
Injekcija
Šķīduma stabilitāte Maisījuma stabilitāte Stabilitāti ietekmējoši faktori Saderība Levadīšanas veids Literatūras saraksts pdf
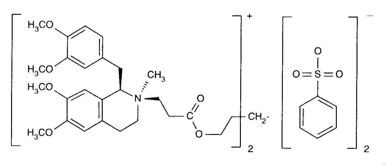
   Ķīmiskā uzbūve   

Oriģinālais nosaukums   Oriģinālais nosaukums     

Tirdzniecības nosaukumi ir apzīmējoši un palīgvielas var atšķirties dažādām valstīm un laboratorijām

Bensitrak Meksika
Besilato de cisatracurio
Cicuryl Meksika
Cirium Kolumbija
Cis Atracure
Cisatracurio Brazīlija, Čīle, Ekvadora, Itālija, Kolumbija, Peru, Spānija
Cisatracurium Beļģija, Francija, Īrija, Kanāda, Lielbritānija, Somija, Tunisija, Ungārija, Vācija
Nimbex Amerikas Savienotās Valstis, Apvienotie Arābu Emirāti, Austrija, Beļģija, Čīle, Dānija, Ēģipte, Ekvadora, Francija, Grieķija, Holande, Irāna, Īrija, Itālija, Kanāda, Lielbritānija, Luksemburga, Malaizija, Meksika, Norvēģija, Peru, Polija, Portugāle, Saūda Arābija, Slovēnija, Somija, Spānija, Tunisija, Turcija, Ungārija, Vācija, Venecuēla, Zviedrija
Nimbium Brazīlija, Kolumbija
Saderība   Injekcija   Saderība : Cisatracurium besylate              
Šī tabula parāda zāļu saderību vai nesaderību, pēc iespējas arī nesaderības tipu (precipitācija, krāsas maiņa, emulsijas sadalīšanās utt). Parādītas šeit saderības ir pārsvarā tikai fizikālās, pēc iespējas tiek parādīta ķīmiskā stabilitāte katrai molekulai. Šo maisījumu analīze tikai veikta, lai izprastu iespējamību ievadīt zāles Y-savienojuma vietā sistēmā pacientam. Šie dati nevar tikt izmantoti, lai pagatavot zāļu maisījumus vēlākai lietošanai maisos vai šļircēs. Šī informācija ir pieejama sadaļā "Maisījuma stabilitāte".
Savienojums Šķīdinātājs Literatūras saraksts
Tūlītēji nokrišņi Nesavienojams
Injekcija Cisatracurium besylate 5 mg/ml
Injekcija Aciclovir sodium 7 mg/ml
5% glikoze 299
Savietojams
Injekcija Cisatracurium besylate 0.1 & 2 mg/ml
Injekcija Aciclovir sodium 7 mg/ml
5% glikoze 299
Savietojams
Injekcija Cisatracurium besylate
Injekcija Alfentanil hydrochloride
3601
Savietojams
Injekcija Cisatracurium besylate 0.1 >> 5 mg/ml
Injekcija Alfentanil hydrochloride 125 µg/ml
5% glikoze 299
Tūlītēji nokrišņi Nesavienojams
Injekcija Cisatracurium besylate 1,2 mg/ml
Injekcija Alprostadil 20 µg/ml
5% glikoze 4651
Tūlītēji nokrišņi Nesavienojams
Injekcija Cisatracurium besylate 1,2 mg/ml
Injekcija Alprostadil 20 µg/ml
5% glikoze 4491
Savietojams
Injekcija Cisatracurium besylate 0.1 >> 5 mg/ml
Injekcija Amikacin sulfate 5 mg/ml
5% glikoze 299
Savietojams
Injekcija Cisatracurium besylate 0.1 & 2 mg/ml
Injekcija Aminophylline 2.5 mg/ml
5% glikoze 299
Duļķainums vienā stundā Nesavienojams
Injekcija Cisatracurium besylate 5 mg/ml
Injekcija Aminophylline 2.5 mg/ml
5% glikoze 299
Savietojams
Injekcija Cisatracurium besylate
Injekcija Amiodarone hydrochloride
3464
Savietojams
Injekcija Cisatracurium besylate 5 mg/ml
Injekcija Amiodarone hydrochloride 15 mg/ml
5% glikoze 3823
Savietojams
Injekcija Cisatracurium besylate 0.1 mg/ml
Injekcija Amphotericin B 0.6 mg/ml
5% glikoze 299
Tūlītēji nokrišņi Nesavienojams
Injekcija Cisatracurium besylate 2 & 5 mg/ml
Injekcija Amphotericin B 0.6 mg/ml
5% glikoze 299
Tūlītēji nokrišņi Nesavienojams
Injekcija Cisatracurium besylate 2 mg/ml
Injekcija Amphotericin B cholesteryl sulfate complex 0.83 mg/ml
5% glikoze 921
Duļķainums vienā stundā Nesavienojams
Injekcija Cisatracurium besylate 5 mg/ml
Injekcija Ampicillin sodium 20 mg/ml
Nātrija hlorīds 0.9% 299
Savietojams
Injekcija Cisatracurium besylate 0.1 & 2 mg/ml
Injekcija Ampicillin sodium 20 mg/ml
5% glikoze 299
Duļķainums vienā stundā Nesavienojams
Injekcija Cisatracurium besylate 5 mg/ml
Injekcija Ampicillin sodium 20 mg/ml
5% glikoze 299
Tūlītēja duļķainība Nesavienojams
Injekcija Cisatracurium besylate 5 mg/ml
Injekcija Ampicillin sodium - sulbactam sodium 20/10 mg/ml
5% glikoze 299
Tūlītēja duļķainība Nesavienojams
Injekcija Cisatracurium besylate 5 mg/ml
Injekcija Ampicillin sodium - sulbactam sodium 20/10 mg/ml
Nātrija hlorīds 0.9% 299
Savietojams
Injekcija Cisatracurium besylate 0.1 & 2 mg/ml
Injekcija Ampicillin sodium - sulbactam sodium 20/10 mg/ml
5% glikoze 299
Savietojams
Injekcija Cisatracurium besylate 0.1 >> 5 mg/ml
Injekcija Aztreonam 40 mg/ml
5% glikoze 299
Savietojams
Injekcija Cisatracurium besylate 0.1 >> 5 mg/ml
Injekcija Bumetanide 0.04 mg/ml
5% glikoze 299
Savietojams
Injekcija Cisatracurium besylate 0.1 >> 5 mg/ml
Injekcija Buprenorphine hydrochloride 0.04 mg/ml
5% glikoze 299
Savietojams
Injekcija Cisatracurium besylate 0.1 >> 5 mg/ml
Injekcija Butorphanol tartrate 0.04 mg/ml
5% glikoze 299
Savietojams
Injekcija Cisatracurium besylate 0.1 >> 5 mg/ml
Injekcija Calcium gluconate 40 mg/ml
5% glikoze 299
Savietojams
Injekcija Cisatracurium besylate 1 mg/ml
Injekcija Calcium gluconate 20 mg/ml
Nātrija hlorīds 0.9% 3429
Tūlītēja duļķainība Nesavienojams
Injekcija Cisatracurium besylate 2 & 5 mg/ml
Injekcija Cefazolin sodium 20 mg/ml
5% glikoze 299
Savietojams
Injekcija Cisatracurium besylate 0.1 mg/ml
Injekcija Cefazolin sodium 20 mg/ml
5% glikoze 299
Savietojams
Injekcija Cisatracurium besylate 0.4 mg/ml
Injekcija Cefiderocol sulfate tosylate 20 mg/mL
5% glikoze 4528
Savietojams
Injekcija Cisatracurium besylate 0.4 mg/ml
Injekcija Cefiderocol sulfate tosylate 20 mg/mL
Nātrija hlorīds 0.9% 4528
Tūlītēji nokrišņi Nesavienojams
Injekcija Cisatracurium besylate 0.1 >> 5 mg/ml
Injekcija Cefoperazone sodium 40 mg/ml
5% glikoze 299
Savietojams
Injekcija Cisatracurium besylate 0.1 >> 5 mg/ml
Injekcija Cefoperazone sodium 40 mg/ml
5% glikoze 299
Drumstumas per 4 valandas Nesavienojams
Injekcija Cisatracurium besylate 2 mg/ml
Injekcija Cefotaxime sodium 20 mg/ml
5% glikoze 299
Tūlītēja duļķainība Nesavienojams
Injekcija Cisatracurium besylate 5 mg/ml
Injekcija Cefotaxime sodium 20 mg/ml
5% glikoze 299
Savietojams
Injekcija Cisatracurium besylate 0.1 mg/ml
Injekcija Cefotaxime sodium 20 mg/ml
5% glikoze 299
Savietojams
Injekcija Cisatracurium besylate 0.1 mg/ml
Injekcija Cefoxitin sodium 20 mg/ml
5% glikoze 299
Tūlītēja duļķainība Nesavienojams
Injekcija Cisatracurium besylate 2 & 5 mg/ml
Injekcija Cefoxitin sodium 20 mg/ml
5% glikoze 299
Savietojams
Injekcija Cisatracurium besylate 0,5 mg/ml
Injekcija Ceftaroline fosamil 2,22 mg/ml
Ringera laktāta šķīdums 3249
Savietojams
Injekcija Cisatracurium besylate 0,5 mg/ml
Injekcija Ceftaroline fosamil 2,22 mg/ml
5% glikoze 3249
Savietojams
Injekcija Cisatracurium besylate 0,5 mg/ml
Injekcija Ceftaroline fosamil 2,22 mg/ml
Nātrija hlorīds 0.9% 3249
Tūlītēja duļķainība Nesavienojams
Injekcija Cisatracurium besylate 5 mg/ml
Injekcija Ceftazidime 40 mg/ml
5% glikoze 299
Savietojams
Injekcija Cisatracurium besylate 0.1 & 2 mg/ml
Injekcija Ceftazidime 40 mg/ml
5% glikoze 299
Savietojams
Injekcija Cisatracurium besylate 0.1 & 2 mg/ml
Injekcija Ceftizoxime sodium 20 mg/ml
5% glikoze 299
Duļķainums vienā stundā Nesavienojams
Injekcija Cisatracurium besylate 5 mg/ml
Injekcija Ceftizoxime sodium 20 mg/ml
5% glikoze 299
Tūlītēji nokrišņi Nesavienojams
Injekcija Cisatracurium besylate 0.5 mg/ml
Injekcija Ceftobiprole medocaril sodium 2 mg/ml
Nātrija hlorīds 0.9% 2269
Tūlītēji nokrišņi Nesavienojams
Injekcija Cisatracurium besylate 0.5 mg/ml
Injekcija Ceftobiprole medocaril sodium 2 mg/ml
Ringera laktāta šķīdums 2269
Tūlītēji nokrišņi Nesavienojams
Injekcija Cisatracurium besylate 0.5 mg/ml
Injekcija Ceftobiprole medocaril sodium 2 mg/ml
5% glikoze 2269
Neprecizēta nesaderība Nesavienojams
Injekcija Cisatracurium besylate
Injekcija Ceftobiprole medocaril sodium
4650
Savietojams
Injekcija Cisatracurium besylate 0.4 mg/ml
Injekcija Ceftolozane / tazobactam 10/5 mg/ml
5% glikoze 3828
Savietojams
Injekcija Cisatracurium besylate 0.4 mg/ml
Injekcija Ceftolozane / tazobactam 10/5 mg/ml
Nātrija hlorīds 0.9% 3828
Savietojams
Injekcija Cisatracurium besylate 0.1 >> 5 mg/ml
Injekcija Ceftriaxone disodium 20 mg/ml
5% glikoze 299
Tūlītēji nokrišņi Nesavienojams
Injekcija Cisatracurium besylate 2 & 5 mg/ml
Injekcija Cefuroxime sodium 30 mg/ml
5% glikoze 299
Savietojams
Injekcija Cisatracurium besylate 0.1 >> 5 mg/ml
Injekcija Chlorpromazine hydrochloride 2 mg/ml
5% glikoze 299
Savietojams
Injekcija Cisatracurium besylate 0.1 >> 5 mg/ml
Injekcija Cimetidine hydrochloride 12 mg/ml
5% glikoze 299
Savietojams
Injekcija Cisatracurium besylate 0.1 >> 5 mg/ml
Injekcija Ciprofloxacin lactate 1 mg/ml
5% glikoze 299
Savietojams
Injekcija Cisatracurium besylate 0.1 >> 5 mg/ml
Injekcija Clindamycin phosphate 10 mg/ml
5% glikoze 299
Savietojams
Injekcija Cisatracurium besylate 5 mg/ml
Injekcija Clonazepam 0.2 mg/ml
Nātrija hlorīds 0.9% 3823
Savietojams
Injekcija Cisatracurium besylate 5 mg/ml
Injekcija Clonidine hydrochloride 0.012 mg/ml
Nātrija hlorīds 0.9% 3823
Tūlītēja duļķainība Nesavienojams
Injekcija Cisatracurium besylate 2 & 5 mg/ml
Injekcija Co-trimoxazole 0,8/4 mg/ml
5% glikoze 299
Savietojams
Injekcija Cisatracurium besylate 0.1 mg/ml
Injekcija Co-trimoxazole 0.8/4 mg/ml
5% glikoze 299
Savietojams
Injekcija Cisatracurium besylate 0.5 mg/ml
Injekcija Dexmedetomidine 4 µg/ml
Nātrija hlorīds 0.9% 1712
Savietojams
Injekcija Cisatracurium besylate 0.1 >> 5 mg/ml
Injekcija Diazepam 0.25 mg/ml
5% glikoze 299
Tūlītēji nokrišņi Nesavienojams
Injekcija Cisatracurium besylate 0.1 >> 5 mg/ml
Injekcija Diazepam 5 mg/ml
5% glikoze 299
Neprecizēta nesaderība Nesavienojams
Injekcija Cisatracurium besylate 5 mg/ml
Injekcija Diclofenac 3 mg/ml
Nātrija hlorīds 0.9% 3823
Savietojams
Injekcija Cisatracurium besylate 0.1 >> 5 mg/ml
Injekcija Digoxin 250 µg/ml
5% glikoze 299
Savietojams
Injekcija Cisatracurium besylate 1 mg/ml
Injekcija Diltiazem hydrochloride 1 mg/ml
Nātrija hlorīds 0.9% 3429
Savietojams
Injekcija Cisatracurium besylate 0.1 >> 5 mg/ml
Injekcija Diphenhydramine hydrochloride 2 mg/ml
5% glikoze 299
Savietojams
Injekcija Cisatracurium besylate 0.1 >> 5 mg/ml
Injekcija Dobutamine hydrochloride 4 mg/ml
5% glikoze 299
Savietojams
Injekcija Cisatracurium besylate 0.1 >> 5 mg/ml
Injekcija Dopamine hydrochloride 3.2 mg/ml
5% glikoze 299
Savietojams
Injekcija Cisatracurium besylate 0.1 >> 5 mg/ml
Injekcija Doxycycline hyclate 1 mg/ml
5% glikoze 299
Savietojams
Injekcija Cisatracurium besylate
Injekcija Droperidol
3601
Savietojams
Injekcija Cisatracurium besylate 0.1 >> 5 mg/ml
Injekcija Droperidol 2.5 mg/ml
5% glikoze 299
Savietojams
Injekcija Cisatracurium besylate 0.1 >> 5 mg/ml
Injekcija Enalaprilate 0.1 mg/ml
5% glikoze 299
Savietojams
Injekcija Cisatracurium besylate 0.1 >> 5 mg/ml
Injekcija Epinephrine hydrochloride 50 µg/ml
5% glikoze 299
Savietojams
Injekcija Cisatracurium besylate 0,4 mg/ml
Injekcija Eravacycline 0,6 mg/ml
Nātrija hlorīds 0.9% 4434
Savietojams
Injekcija Cisatracurium besylate 0.1 >> 5 mg/ml
Injekcija Esmolol hydrochloride 10 mg/ml
5% glikoze 299
Savietojams
Injekcija Cisatracurium besylate 0.4 mg/ml
Injekcija Fosfomycin 30 mg/ml
5% glikoze 4055
Tūlītēja duļķainība Nesavienojams
Injekcija Cisatracurium besylate 5 mg/ml
NaHCO3 3823
Savietojams
Injekcija Cisatracurium besylate 5 mg/ml
Injekcija Esmolol hydrochloride 10 mg/ml
Nātrija hlorīds 0.9% 3823
Savietojams
Injekcija Cisatracurium besylate 2 mg/ml
Injekcija Esmolol hydrochloride 10 mg/ml
Nātrija hlorīds 0.9% 3879
Savietojams
Injekcija Cisatracurium besylate 1 mg/ml
Injekcija Esomeprazole sodium 0,4 mg/ml
Nātrija hlorīds 0.9% 3429
Savietojams
Injekcija Cisatracurium besylate 0.1 >> 5 mg/ml
Injekcija Famotidine 2 mg/ml
5% glikoze 299
Savietojams
Injekcija Cisatracurium besylate 0.5 mg/ml
Injekcija Fenoldopam mesylate 80 µg/ml
Nātrija hlorīds 0.9% 1803
Savietojams
Injekcija Cisatracurium besylate 0.1 >> 5 mg/ml
Injekcija Fentanyl citrate 12.5 µg/ml
5% glikoze 299
Savietojams
Injekcija Cisatracurium besylate
Injekcija Fentanyl citrate
3601
Savietojams
Injekcija Cisatracurium besylate 0.1 >> 5 mg/ml
Injekcija Fluconazole 2 mg/ml
5% glikoze 299
Savietojams
Injekcija Cisatracurium besylate 0.4 mg/ml
Injekcija Fosfomycin 30 mg/ml
Nātrija hlorīds 0.9% 4055
Neprecizēta nesaderība Nesavienojams
Injekcija Cisatracurium besylate
Injekcija Furosemide
3465
Tūlītēja duļķainība Nesavienojams
Injekcija Cisatracurium besylate 2 & 5 mg/ml
NaHCO3 299
Tūlītēji nokrišņi Nesavienojams
Injekcija Cisatracurium besylate 5 mg/ml
Injekcija Furosemide 10 mg/ml
Nātrija hlorīds 0.9% 3463
Savietojams
Injekcija Cisatracurium besylate 0.1 mg/ml
Injekcija Furosemide 3 mg/ml
5% glikoze 299
Neprecizēta nesaderība Nesavienojams
Injekcija Cisatracurium besylate 5 mg/ml
Injekcija Furosemide 10 mg/ml
Nātrija hlorīds 0.9% 3823
Tūlītēji nokrišņi Nesavienojams
Injekcija Cisatracurium besylate 5 mg/ml
Injekcija Ganciclovir sodium 20 mg/ml
5% glikoze 299
Neprecizēta nesaderība Nesavienojams
Injekcija Cisatracurium besylate
NaHCO3 3466
Savietojams
Injekcija Cisatracurium besylate 0.1 & 2 mg/ml
Injekcija Ganciclovir sodium 20 mg/ml
5% glikoze 299
Neprecizēta nesaderība Nesavienojams
Injekcija Cisatracurium besylate
NaHCO3 3601
Tūlītēji nokrišņi Nesavienojams
Injekcija Cisatracurium besylate 2 & 5 mg/ml
Injekcija Furosemide 3 mg/ml
5% glikoze 299
Neprecizēta nesaderība Nesavienojams
Injekcija Cisatracurium besylate 5 mg/ml
Injekcija Furosemide 10 mg/ml
Nekāds 3134
Savietojams
Injekcija Cisatracurium besylate 0.1 >> 5 mg/ml
Injekcija Gentamicin sulfate 5 mg/ml
5% glikoze 299
Savietojams
Injekcija Cisatracurium besylate 0.1 >> 5 mg/ml
Injekcija Haloperidol lactate 0.2 mg/ml
5% glikoze 299
Tūlītēji nokrišņi Nesavienojams
Injekcija Cisatracurium besylate 5 mg/ml
Injekcija Heparin sodium 100 UI/ml
5% glikoze 299
Emulsijas nestabilitāte pēc 4 stundām Nesavienojams
Injekcija Cisatracurium besylate 2 mg/ml
Parenterāla barošana (ar lipīdiem) 4507
Neprecizēta nesaderība Nesavienojams
Injekcija Cisatracurium besylate
Ringera laktāta šķīdums 3601
Krāsu maiņa Nesavienojams
Injekcija Cisatracurium besylate 5 mg/ml
Injekcija Heparin sodium 500 UI/ml
Nātrija hlorīds 0.9% 3463
Savietojams
Injekcija Cisatracurium besylate 0.1 & 2 mg/ml
Injekcija Heparin sodium 100 UI/ml
5% glikoze 299
Neprecizēta nesaderība Nesavienojams
Injekcija Cisatracurium besylate 5 mg/ml
Injekcija Heparin sodium 500 UI/ml
Nātrija hlorīds 0.9% 3823
Savietojams
Injekcija Cisatracurium besylate
5% glikoze 3601
Neprecizēta nesaderība Nesavienojams
Injekcija Cisatracurium besylate
Injekcija Heparin sodium
3540
Savietojams
Injekcija Cisatracurium besylate 0.5 mg/ml
Injekcija Hetastarch 60 mg/ml
īpašu šķīdinātāju 1721
Savietojams
Injekcija Cisatracurium besylate 0.1 >> 5 mg/ml
Injekcija Hydrocortisone sodium succinate 1 mg/ml
5% glikoze 299
Savietojams
Injekcija Cisatracurium besylate 2 mg/ml
Injekcija Hydrocortisone sodium succinate 1 mg/ml
Nātrija hlorīds 0.9% 4465
Savietojams
Injekcija Cisatracurium besylate 0.1 >> 5 mg/ml
Injekcija Hydromorphone hydrochloride 0.5 mg/ml
5% glikoze 299
Savietojams
Injekcija Cisatracurium besylate 0.1 >> 5 mg/ml
Injekcija Hydroxyzine dihydrochloride 2 mg/ml
5% glikoze 299
Savietojams
Injekcija Cisatracurium besylate 0.1 >> 5 mg/ml
Injekcija Imipenem - cilastatin sodium 10 mg/ml
5% glikoze 299
Savietojams
Injekcija Cisatracurium besylate 0,4 mg/ml
Injekcija Imipenem-Cilastatin / Relebactam 5 mg/ml
Nātrija hlorīds 0.9% 4433
Savietojams
Injekcija Cisatracurium besylate 0,4 mg/ml
Injekcija Imipenem-Cilastatin / Relebactam 5 mg/ml
5% glikoze 4433
Savietojams
Injekcija Cisatracurium besylate 1 mg/ml
Injekcija Insulin 1 UI/ml
Nātrija hlorīds 0.9% 3429
Savietojams
Injekcija Cisatracurium besylate 5 mg/ml
Injekcija Insulin 2 UI/ml
Nātrija hlorīds 0.9% 3823
Savietojams
Injekcija Cisatracurium besylate 0.4 mg/ml
Injekcija Isavuconazonium sulfate 1.5 mg/ml
Nātrija hlorīds 0.9% 3829
Savietojams
Injekcija Cisatracurium besylate 0.4 mg/ml
Injekcija Isavuconazonium sulfate 1.5 mg/ml
5% glikoze 3829
Savietojams
Injekcija Cisatracurium besylate 0.1 >> 5 mg/ml
Injekcija Isoprenaline hydrochloride 0.02 mg/ml
5% glikoze 299
Savietojams
Injekcija Cisatracurium besylate 0.1 >> 5 mg/ml
Injekcija Ketorolac tromethamine 15 mg/ml
5% glikoze 299
Neprecizēta nesaderība Nesavienojams
Injekcija Cisatracurium besylate
Injekcija Ketorolac tromethamine
3601
Savietojams
Injekcija Cisatracurium besylate 0.1 >> 5 mg/ml
Injekcija Lorazepam 0.5 mg/ml
5% glikoze 299
Savietojams
Injekcija Cisatracurium besylate 0.1 >> 5 mg/ml
Injekcija Magnesium sulfate 100 mg/ml
5% glikoze 299
Savietojams
Injekcija Cisatracurium besylate 0.1 >> 5 mg/ml
Injekcija Mannitol 150 mg/ml
5% glikoze 299
Savietojams
Injekcija Cisatracurium besylate
Nātrija hlorīds 0.9% 3601
Savietojams
Injekcija Cisatracurium besylate 2 mg/ml
Injekcija Labetalol hydrochloride 5 mg/ml
Nātrija hlorīds 0.9% 3879
Savietojams
Injekcija Cisatracurium besylate 1 mg/ml
Injekcija Levetiracetam 5 mg/ml
Nātrija hlorīds 0.9% 4569
Savietojams
Injekcija Cisatracurium besylate 0.1 >> 5 mg/ml
Injekcija Lidocaine hydrochloride 8 mg/ml
5% glikoze 299
Savietojams
Injekcija Cisatracurium besylate 2 mg/ml
Injekcija Linezolid 2 mg/ml
Nekāds 1925
Savietojams
Injekcija Cisatracurium besylate 0.1 mg/ml
Injekcija Methylprednisolone sodium succinate 5 mg/ml
5% glikoze 299
Tūlītēja duļķainība Nesavienojams
Injekcija Cisatracurium besylate 2 & 5 mg/ml
Injekcija Methylprednisolone sodium succinate 5 mg/ml
5% glikoze 299
Savietojams
Injekcija Cisatracurium besylate 0.1 >> 5 mg/ml
Injekcija Metoclopramide hydrochloride 5 mg/ml
5% glikoze 299
Savietojams
Injekcija Cisatracurium besylate 2 mg/ml
Injekcija Metoprolol tartrate 0.4 mg/ml
Nātrija hlorīds 0.9% 3879
Savietojams
Injekcija Cisatracurium besylate 0.1 >> 5 mg/ml
Injekcija Metronidazole 5 mg/ml
5% glikoze 299
Tūlītēji nokrišņi Nesavienojams
Injekcija Cisatracurium besylate 0.5 mg/ml
Injekcija Micafungin 1.5 mg/ml
Nātrija hlorīds 0.9% 2108
Savietojams
Injekcija Cisatracurium besylate
Injekcija Midazolam hydrochloride
3601
Savietojams
Injekcija Cisatracurium besylate 5 mg/ml
Injekcija Midazolam hydrochloride 2.1 mg/ml
Nātrija hlorīds 0.9% 3823
Savietojams
Injekcija Cisatracurium besylate 0.1 >> 5 mg/ml
Injekcija Midazolam hydrochloride 1 mg/ml
5% glikoze 299
Savietojams
Injekcija Cisatracurium besylate 0.1 >> 5 mg/ml
Injekcija Minocycline hydrochloride 0.2 mg/ml
5% glikoze 299
Savietojams
Injekcija Cisatracurium besylate 0.1 >> 5 mg/ml
Injekcija Morphine sulfate 1 mg/ml
5% glikoze 299
Savietojams
Injekcija Cisatracurium besylate 0.1 >> 5 mg/ml
Injekcija Nalbuphine hydrochloride 10 mg/ml
5% glikoze 299
Savietojams
Injekcija Cisatracurium besylate 0.1 >> 5 mg/ml
Injekcija Netilmicin sulfate 5 mg/ml
5% glikoze 299
Savietojams
Injekcija Cisatracurium besylate 1 mg/ml
Injekcija Nicardipine hydrochloride 0,5 mg/ml
Nātrija hlorīds 0.9% 3429
Savietojams
Injekcija Cisatracurium besylate 5 mg/ml
Injekcija Nimodipine 0.2 mg/ml
Nātrija hlorīds 0.9% 3823
Savietojams
Injekcija Cisatracurium besylate 0.1 >> 5 mg/ml
Injekcija Nitroglycerin 0.4 mg/ml
5% glikoze 299
Savietojams
Injekcija Cisatracurium besylate 5 mg/ml
Injekcija Nitroglycerin 0.2 mg/ml
5% glikoze 3823
Tūlītēji nokrišņi Nesavienojams
Injekcija Cisatracurium besylate 2 & 5 mg/ml
Injekcija Nitroprusside sodium 2 mg/ml
5% glikoze 299
Savietojams
Injekcija Cisatracurium besylate 0.1 mg/ml
Injekcija Nitroprusside sodium 2 mg/ml
5% glikoze 299
Savietojams
Injekcija Cisatracurium besylate 0.1 >> 5 mg/ml
Injekcija Norepinephrine bitartrate 0.12 mg/ml
5% glikoze 299
Savietojams
Injekcija Cisatracurium besylate 0.1 >> 5 mg/ml
Injekcija Ofloxacin 4 mg/ml
5% glikoze 299
Savietojams
Injekcija Cisatracurium besylate 5 mg/ml
Injekcija Omeprazole sodium 1.6 mg/ml
Nātrija hlorīds 0.9% 3823
Savietojams
Injekcija Cisatracurium besylate 0.1 >> 5 mg/ml
Injekcija Ondansetron hydrochloride 1 mg/ml
5% glikoze 299
Savietojams
Injekcija Cisatracurium besylate 0,5 mg/ml
Injekcija Palonosetron hydrochloride 50 µg/ml
5% glikoze 2227
Duļķainums vienā stundā Nesavienojams
Injekcija Cisatracurium besylate 1 mg/ml
Injekcija Pantoprazole sodium 0,8 mg/ml
Nātrija hlorīds 0.9% 3429
Savietojams
Injekcija Cisatracurium besylate 0.1 >> 5 mg/ml
Injekcija Pethidine hydrochloride 4 mg/ml
5% glikoze 299
Savietojams
Injekcija Cisatracurium besylate 0.1 >> 5 mg/ml
Injekcija Phenylephrine hydrochloride 1 mg/ml
5% glikoze 299
Savietojams
Injekcija Cisatracurium besylate 0.1 mg/ml
Injekcija Piperacillin sodium 40 mg/ml
5% glikoze 299
Tūlītēja duļķainība Nesavienojams
Injekcija Cisatracurium besylate 2 & 5 mg/ml
Injekcija Piperacillin sodium 40 mg/ml
5% glikoze 299
Savietojams
Injekcija Cisatracurium besylate 0.1 & 2 mg/ml
Injekcija Piperacillin sodium / tazobactam 40/5 mg/ml
5% glikoze 299
Nokrišņi pēc 4 stundām Nesavienojams
Injekcija Cisatracurium besylate 5 mg/ml
Injekcija Piperacillin sodium / tazobactam 40/5 mg/ml
5% glikoze 299
Savietojams
Injekcija Cisatracurium besylate 0.4 mg/ml
Injekcija Plazomicin sulfate 24 mg/ml
Nātrija hlorīds 0.9% 4145
Savietojams
Injekcija Cisatracurium besylate 0.1 >> 5 mg/ml
Injekcija Potassium chloride 100 mEq/l
5% glikoze 299
Savietojams
Injekcija Cisatracurium besylate 5 mg/ml
Injekcija Potassium chloride 10 mEq/l
Nātrija hlorīds 0.9% 3823
Savietojams
Injekcija Cisatracurium besylate 0.1 >> 5 mg/ml
Injekcija Procainamide hydrochloride 10 mg/ml
5% glikoze 299
Savietojams
Injekcija Cisatracurium besylate 0.1 >> 5 mg/ml
Injekcija Prochlorperazine edysilate 0.5 mg/ml
5% glikoze 299
Savietojams
Injekcija Cisatracurium besylate 0.1 >> 5 mg/ml
Injekcija Promethazine hydrochloride 2 mg/ml
5% glikoze 299
Neprecizēta nesaderība Nesavienojams
Injekcija Cisatracurium besylate
Injekcija Propofol
3601
Savietojams
Injekcija Cisatracurium besylate 0.1 >> 5 mg/ml
Injekcija Ranitidine hydrochloride 2 mg/ml
5% glikoze 299
Savietojams
Injekcija Cisatracurium besylate 5 mg/ml
Injekcija Remifentanil hydrochloride 100 µg/ml
Nātrija hlorīds 0.9% 3823
Savietojams
Injekcija Cisatracurium besylate 2 mg/ml
Injekcija Remifentanil hydrochloride 25 & 250 µg/ml
Nātrija hlorīds 0.9% 59
Neprecizēta nesaderība Nesavienojams
Injekcija Cisatracurium besylate
Injekcija Sodium bicarbonate
3466
Duļķainums vienā stundā Nesavienojams
Injekcija Cisatracurium besylate 2 mg/ml
Injekcija Sodium bicarbonate 84 mg/ml
5% glikoze 299
Neprecizēta nesaderība Nesavienojams
Injekcija Cisatracurium besylate
Injekcija Sodium bicarbonate
3601
Savietojams
Injekcija Cisatracurium besylate 0.1 mg/ml
Injekcija Sodium bicarbonate 84 mg/ml
5% glikoze 299
Tūlītēja duļķainība Nesavienojams
Injekcija Cisatracurium besylate 5 mg/ml
Injekcija Sodium bicarbonate 84 mg/ml
5% glikoze 299
Duļķainība 2 stundu laikā Nesavienojams
Injekcija Cisatracurium besylate 5 mg/ml
Injekcija Sodium bicarbonate 84 mg/ml
Nekāds 3212
Savietojams
Injekcija Cisatracurium besylate 0.1 >> 5 mg/ml
Injekcija Sufentanil citrate 0.0125 mg/ml
5% glikoze 299
Savietojams
Injekcija Cisatracurium besylate
Injekcija Sufentanil citrate
3601
Savietojams
Injekcija Cisatracurium besylate 0,4 mg/ml
Injekcija Sulbactam/durlobactam 15/15 mg/ml
Nātrija hlorīds 0.9% 4801
Savietojams
Injekcija Cisatracurium besylate 0.4 mg/ml
Injekcija Tedizolid phosphate 0.8 mg/ml
Nātrija hlorīds 0.9% 3827
Savietojams
Injekcija Cisatracurium besylate 0.1 >> 5 mg/ml
Injekcija Theophylline 3.2 mg/ml
5% glikoze 299
Neprecizēta nesaderība Nesavienojams
Injekcija Cisatracurium besylate
Injekcija Thiopental sodium
3601
Savietojams
Injekcija Cisatracurium besylate 0.1 mg/ml
Injekcija Thiopental sodium 25 mg/ml
5% glikoze 299
Neprecizēta nesaderība Nesavienojams
Injekcija Cisatracurium besylate 5 mg/ml
Injekcija Thiopental sodium 60 mg/ml
Nātrija hlorīds 0.9% 3823
Tūlītēji nokrišņi Nesavienojams
Injekcija Cisatracurium besylate 2 & 5 mg/ml
Injekcija Thiopental sodium 25 mg/ml
5% glikoze 299
Savietojams
Injekcija Cisatracurium besylate 0.1 & 2 mg/ml
Injekcija Ticarcillin / clavulanic acid 30 mg/ml
5% glikoze 299
Tūlītēja duļķainība Nesavienojams
Injekcija Cisatracurium besylate 5 mg/ml
Injekcija Ticarcillin / clavulanic acid 30 mg/ml
5% glikoze 299
Savietojams
Injekcija Cisatracurium besylate 0.1 >> 5 mg/ml
Injekcija Tobramycin sulfate 5 mg/ml
5% glikoze 299
Savietojams
Injekcija Cisatracurium besylate 0.1 >> 5 mg/ml
Injekcija Vancomycin hydrochloride 10 mg/ml
5% glikoze 299
Savietojams
Injekcija Cisatracurium besylate 1 mg/ml
Injekcija Vasopressin 1 UI/ml
Nātrija hlorīds 0.9% 3429
Savietojams
Injekcija Cisatracurium besylate 0.1 >> 5 mg/ml
Injekcija Zidovudine 4 mg/ml
5% glikoze 299

  Mentions Légales