最新更新 :
18/03/2026
クラーレ様薬   Cisatracurium besylate  
注射薬
溶媒内の安定性 混合時の安定性 安定性に影響する因子 互換性 投与経路 引用文献 PDF
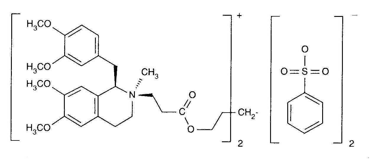
   化学構造  

商品名   商品名     

商品名、賦形剤は国、製薬会社ごとに異なることがあります

Bensitrak メキシコ
Besilato de cisatracurio
Cicuryl メキシコ
Cirium コロンビア
Cis Atracure
Cisatracurio イタリア, エクアドル, コロンビア, スペイン, チリ, ブラジル, ペルー
Cisatracurium アイルランド, イギリス, カナダ, チュニジア, ドイツ, ハンガリー, フィンランド, フランス, ベルギー
Nimbex アイルランド, アメリカ, アラブ首長国連邦, イギリス, イタリア, イラン, エクアドル, エジプト, オランダ, オーストリア, カナダ, ギリシア, サウジアラビア, スウェーデン, スペイン, スロベニア, チュニジア, チリ, デンマーク, トルコ, ドイツ, ノルウェー, ハンガリー, フィンランド, フランス, ベネズエラ, ベルギー, ペルー, ポルトガル, ポーランド, マレーシア, メキシコ, ルクセンブルグ
Nimbium コロンビア, ブラジル
互換性   注射薬   互換性 : Cisatracurium besylate              
This screen indicates the compatibilities or incompatibilities with, in this case, the type of incompatibility (precipitation, color change, modification of an emulsion, etc.). The compatibilities shown here are mostly physical only, with the chemical stability of each molecule rarely being assessed. The evaluation of these mixtures was studied to consider the possibility of Y-site administration to the patient. These data cannot be used for making mixtures in advance in bags or syringes. This type of information is available in the screen "Stability in mixture ».
化合物 溶媒 引用文献
即時降水 非互換
注射薬 Cisatracurium besylate 5 mg/ml
注射薬 Aciclovir sodium 7 mg/ml
グルコース5% 299
対応
注射薬 Cisatracurium besylate 0.1 & 2 mg/ml
注射薬 Aciclovir sodium 7 mg/ml
グルコース5% 299
対応
注射薬 Cisatracurium besylate
注射薬 Alfentanil hydrochloride
3601
対応
注射薬 Cisatracurium besylate 0.1 >> 5 mg/ml
注射薬 Alfentanil hydrochloride 125 µg/ml
グルコース5% 299
即時降水 非互換
注射薬 Cisatracurium besylate 1,2 mg/ml
注射薬 Alprostadil 20 µg/ml
グルコース5% 4651
即時降水 非互換
注射薬 Cisatracurium besylate 1,2 mg/ml
注射薬 Alprostadil 20 µg/ml
グルコース5% 4491
対応
注射薬 Cisatracurium besylate 0.1 >> 5 mg/ml
注射薬 Amikacin sulfate 5 mg/ml
グルコース5% 299
対応
注射薬 Cisatracurium besylate 0.1 & 2 mg/ml
注射薬 Aminophylline 2.5 mg/ml
グルコース5% 299
1時間で濁り 非互換
注射薬 Cisatracurium besylate 5 mg/ml
注射薬 Aminophylline 2.5 mg/ml
グルコース5% 299
対応
注射薬 Cisatracurium besylate
注射薬 Amiodarone hydrochloride
3464
対応
注射薬 Cisatracurium besylate 5 mg/ml
注射薬 Amiodarone hydrochloride 15 mg/ml
グルコース5% 3823
対応
注射薬 Cisatracurium besylate 0.1 mg/ml
注射薬 Amphotericin B 0.6 mg/ml
グルコース5% 299
即時降水 非互換
注射薬 Cisatracurium besylate 2 & 5 mg/ml
注射薬 Amphotericin B 0.6 mg/ml
グルコース5% 299
即時降水 非互換
注射薬 Cisatracurium besylate 2 mg/ml
注射薬 Amphotericin B cholesteryl sulfate complex 0.83 mg/ml
グルコース5% 921
1時間で濁り 非互換
注射薬 Cisatracurium besylate 5 mg/ml
注射薬 Ampicillin sodium 20 mg/ml
NaCl 0,9% 299
対応
注射薬 Cisatracurium besylate 0.1 & 2 mg/ml
注射薬 Ampicillin sodium 20 mg/ml
グルコース5% 299
1時間で濁り 非互換
注射薬 Cisatracurium besylate 5 mg/ml
注射薬 Ampicillin sodium 20 mg/ml
グルコース5% 299
すぐに濁り 非互換
注射薬 Cisatracurium besylate 5 mg/ml
注射薬 Ampicillin sodium - sulbactam sodium 20/10 mg/ml
グルコース5% 299
すぐに濁り 非互換
注射薬 Cisatracurium besylate 5 mg/ml
注射薬 Ampicillin sodium - sulbactam sodium 20/10 mg/ml
NaCl 0,9% 299
対応
注射薬 Cisatracurium besylate 0.1 & 2 mg/ml
注射薬 Ampicillin sodium - sulbactam sodium 20/10 mg/ml
グルコース5% 299
対応
注射薬 Cisatracurium besylate 0.1 >> 5 mg/ml
注射薬 Aztreonam 40 mg/ml
グルコース5% 299
対応
注射薬 Cisatracurium besylate 0.1 >> 5 mg/ml
注射薬 Bumetanide 0.04 mg/ml
グルコース5% 299
対応
注射薬 Cisatracurium besylate 0.1 >> 5 mg/ml
注射薬 Buprenorphine hydrochloride 0.04 mg/ml
グルコース5% 299
対応
注射薬 Cisatracurium besylate 0.1 >> 5 mg/ml
注射薬 Butorphanol tartrate 0.04 mg/ml
グルコース5% 299
対応
注射薬 Cisatracurium besylate 0.1 >> 5 mg/ml
注射薬 Calcium gluconate 40 mg/ml
グルコース5% 299
対応
注射薬 Cisatracurium besylate 1 mg/ml
注射薬 Calcium gluconate 20 mg/ml
NaCl 0,9% 3429
すぐに濁り 非互換
注射薬 Cisatracurium besylate 2 & 5 mg/ml
注射薬 Cefazolin sodium 20 mg/ml
グルコース5% 299
対応
注射薬 Cisatracurium besylate 0.1 mg/ml
注射薬 Cefazolin sodium 20 mg/ml
グルコース5% 299
対応
注射薬 Cisatracurium besylate 0.4 mg/ml
注射薬 Cefiderocol sulfate tosylate 20 mg/mL
グルコース5% 4528
対応
注射薬 Cisatracurium besylate 0.4 mg/ml
注射薬 Cefiderocol sulfate tosylate 20 mg/mL
NaCl 0,9% 4528
即時降水 非互換
注射薬 Cisatracurium besylate 0.1 >> 5 mg/ml
注射薬 Cefoperazone sodium 40 mg/ml
グルコース5% 299
対応
注射薬 Cisatracurium besylate 0.1 >> 5 mg/ml
注射薬 Cefoperazone sodium 40 mg/ml
グルコース5% 299
4時間で濁り 非互換
注射薬 Cisatracurium besylate 2 mg/ml
注射薬 Cefotaxime sodium 20 mg/ml
グルコース5% 299
すぐに濁り 非互換
注射薬 Cisatracurium besylate 5 mg/ml
注射薬 Cefotaxime sodium 20 mg/ml
グルコース5% 299
対応
注射薬 Cisatracurium besylate 0.1 mg/ml
注射薬 Cefotaxime sodium 20 mg/ml
グルコース5% 299
対応
注射薬 Cisatracurium besylate 0.1 mg/ml
注射薬 Cefoxitin sodium 20 mg/ml
グルコース5% 299
すぐに濁り 非互換
注射薬 Cisatracurium besylate 2 & 5 mg/ml
注射薬 Cefoxitin sodium 20 mg/ml
グルコース5% 299
対応
注射薬 Cisatracurium besylate 0,5 mg/ml
注射薬 Ceftaroline fosamil 2,22 mg/ml
乳酸リンゲル 3249
対応
注射薬 Cisatracurium besylate 0,5 mg/ml
注射薬 Ceftaroline fosamil 2,22 mg/ml
グルコース5% 3249
対応
注射薬 Cisatracurium besylate 0,5 mg/ml
注射薬 Ceftaroline fosamil 2,22 mg/ml
NaCl 0,9% 3249
すぐに濁り 非互換
注射薬 Cisatracurium besylate 5 mg/ml
注射薬 Ceftazidime 40 mg/ml
グルコース5% 299
対応
注射薬 Cisatracurium besylate 0.1 & 2 mg/ml
注射薬 Ceftazidime 40 mg/ml
グルコース5% 299
対応
注射薬 Cisatracurium besylate 0.1 & 2 mg/ml
注射薬 Ceftizoxime sodium 20 mg/ml
グルコース5% 299
1時間で濁り 非互換
注射薬 Cisatracurium besylate 5 mg/ml
注射薬 Ceftizoxime sodium 20 mg/ml
グルコース5% 299
即時降水 非互換
注射薬 Cisatracurium besylate 0.5 mg/ml
注射薬 Ceftobiprole medocaril sodium 2 mg/ml
NaCl 0,9% 2269
即時降水 非互換
注射薬 Cisatracurium besylate 0.5 mg/ml
注射薬 Ceftobiprole medocaril sodium 2 mg/ml
乳酸リンゲル 2269
即時降水 非互換
注射薬 Cisatracurium besylate 0.5 mg/ml
注射薬 Ceftobiprole medocaril sodium 2 mg/ml
グルコース5% 2269
不特定の非互換性 非互換
注射薬 Cisatracurium besylate
注射薬 Ceftobiprole medocaril sodium
4650
対応
注射薬 Cisatracurium besylate 0.4 mg/ml
注射薬 Ceftolozane / tazobactam 10/5 mg/ml
グルコース5% 3828
対応
注射薬 Cisatracurium besylate 0.4 mg/ml
注射薬 Ceftolozane / tazobactam 10/5 mg/ml
NaCl 0,9% 3828
対応
注射薬 Cisatracurium besylate 0.1 >> 5 mg/ml
注射薬 Ceftriaxone disodium 20 mg/ml
グルコース5% 299
即時降水 非互換
注射薬 Cisatracurium besylate 2 & 5 mg/ml
注射薬 Cefuroxime sodium 30 mg/ml
グルコース5% 299
対応
注射薬 Cisatracurium besylate 0.1 >> 5 mg/ml
注射薬 Chlorpromazine hydrochloride 2 mg/ml
グルコース5% 299
対応
注射薬 Cisatracurium besylate 0.1 >> 5 mg/ml
注射薬 Cimetidine hydrochloride 12 mg/ml
グルコース5% 299
対応
注射薬 Cisatracurium besylate 0.1 >> 5 mg/ml
注射薬 Ciprofloxacin lactate 1 mg/ml
グルコース5% 299
対応
注射薬 Cisatracurium besylate 0.1 >> 5 mg/ml
注射薬 Clindamycin phosphate 10 mg/ml
グルコース5% 299
対応
注射薬 Cisatracurium besylate 5 mg/ml
注射薬 Clonazepam 0.2 mg/ml
NaCl 0,9% 3823
対応
注射薬 Cisatracurium besylate 5 mg/ml
注射薬 Clonidine hydrochloride 0.012 mg/ml
NaCl 0,9% 3823
すぐに濁り 非互換
注射薬 Cisatracurium besylate 2 & 5 mg/ml
注射薬 Co-trimoxazole 0,8/4 mg/ml
グルコース5% 299
対応
注射薬 Cisatracurium besylate 0.1 mg/ml
注射薬 Co-trimoxazole 0.8/4 mg/ml
グルコース5% 299
対応
注射薬 Cisatracurium besylate 0.5 mg/ml
注射薬 Dexmedetomidine 4 µg/ml
NaCl 0,9% 1712
対応
注射薬 Cisatracurium besylate 0.1 >> 5 mg/ml
注射薬 Diazepam 0.25 mg/ml
グルコース5% 299
即時降水 非互換
注射薬 Cisatracurium besylate 0.1 >> 5 mg/ml
注射薬 Diazepam 5 mg/ml
グルコース5% 299
不特定の非互換性 非互換
注射薬 Cisatracurium besylate 5 mg/ml
注射薬 Diclofenac 3 mg/ml
NaCl 0,9% 3823
対応
注射薬 Cisatracurium besylate 0.1 >> 5 mg/ml
注射薬 Digoxin 250 µg/ml
グルコース5% 299
対応
注射薬 Cisatracurium besylate 1 mg/ml
注射薬 Diltiazem hydrochloride 1 mg/ml
NaCl 0,9% 3429
対応
注射薬 Cisatracurium besylate 0.1 >> 5 mg/ml
注射薬 Diphenhydramine hydrochloride 2 mg/ml
グルコース5% 299
対応
注射薬 Cisatracurium besylate 0.1 >> 5 mg/ml
注射薬 Dobutamine hydrochloride 4 mg/ml
グルコース5% 299
対応
注射薬 Cisatracurium besylate 0.1 >> 5 mg/ml
注射薬 Dopamine hydrochloride 3.2 mg/ml
グルコース5% 299
対応
注射薬 Cisatracurium besylate 0.1 >> 5 mg/ml
注射薬 Doxycycline hyclate 1 mg/ml
グルコース5% 299
対応
注射薬 Cisatracurium besylate
注射薬 Droperidol
3601
対応
注射薬 Cisatracurium besylate 0.1 >> 5 mg/ml
注射薬 Droperidol 2.5 mg/ml
グルコース5% 299
対応
注射薬 Cisatracurium besylate 0.1 >> 5 mg/ml
注射薬 Enalaprilate 0.1 mg/ml
グルコース5% 299
対応
注射薬 Cisatracurium besylate 0.1 >> 5 mg/ml
注射薬 Epinephrine hydrochloride 50 µg/ml
グルコース5% 299
対応
注射薬 Cisatracurium besylate 0,4 mg/ml
注射薬 Eravacycline 0,6 mg/ml
NaCl 0,9% 4434
対応
注射薬 Cisatracurium besylate 0.1 >> 5 mg/ml
注射薬 Esmolol hydrochloride 10 mg/ml
グルコース5% 299
対応
注射薬 Cisatracurium besylate 0.4 mg/ml
注射薬 Fosfomycin 30 mg/ml
グルコース5% 4055
すぐに濁り 非互換
注射薬 Cisatracurium besylate 5 mg/ml
NaHCO3 3823
対応
注射薬 Cisatracurium besylate 5 mg/ml
注射薬 Esmolol hydrochloride 10 mg/ml
NaCl 0,9% 3823
対応
注射薬 Cisatracurium besylate 2 mg/ml
注射薬 Esmolol hydrochloride 10 mg/ml
NaCl 0,9% 3879
対応
注射薬 Cisatracurium besylate 1 mg/ml
注射薬 Esomeprazole sodium 0,4 mg/ml
NaCl 0,9% 3429
対応
注射薬 Cisatracurium besylate 0.1 >> 5 mg/ml
注射薬 Famotidine 2 mg/ml
グルコース5% 299
対応
注射薬 Cisatracurium besylate 0.5 mg/ml
注射薬 Fenoldopam mesylate 80 µg/ml
NaCl 0,9% 1803
対応
注射薬 Cisatracurium besylate 0.1 >> 5 mg/ml
注射薬 Fentanyl citrate 12.5 µg/ml
グルコース5% 299
対応
注射薬 Cisatracurium besylate
注射薬 Fentanyl citrate
3601
対応
注射薬 Cisatracurium besylate 0.1 >> 5 mg/ml
注射薬 Fluconazole 2 mg/ml
グルコース5% 299
対応
注射薬 Cisatracurium besylate 0.4 mg/ml
注射薬 Fosfomycin 30 mg/ml
NaCl 0,9% 4055
不特定の非互換性 非互換
注射薬 Cisatracurium besylate
注射薬 Furosemide
3465
すぐに濁り 非互換
注射薬 Cisatracurium besylate 2 & 5 mg/ml
NaHCO3 299
即時降水 非互換
注射薬 Cisatracurium besylate 5 mg/ml
注射薬 Furosemide 10 mg/ml
NaCl 0,9% 3463
対応
注射薬 Cisatracurium besylate 0.1 mg/ml
注射薬 Furosemide 3 mg/ml
グルコース5% 299
不特定の非互換性 非互換
注射薬 Cisatracurium besylate 5 mg/ml
注射薬 Furosemide 10 mg/ml
NaCl 0,9% 3823
即時降水 非互換
注射薬 Cisatracurium besylate 5 mg/ml
注射薬 Ganciclovir sodium 20 mg/ml
グルコース5% 299
不特定の非互換性 非互換
注射薬 Cisatracurium besylate
NaHCO3 3466
対応
注射薬 Cisatracurium besylate 0.1 & 2 mg/ml
注射薬 Ganciclovir sodium 20 mg/ml
グルコース5% 299
不特定の非互換性 非互換
注射薬 Cisatracurium besylate
NaHCO3 3601
即時降水 非互換
注射薬 Cisatracurium besylate 2 & 5 mg/ml
注射薬 Furosemide 3 mg/ml
グルコース5% 299
不特定の非互換性 非互換
注射薬 Cisatracurium besylate 5 mg/ml
注射薬 Furosemide 10 mg/ml
なし 3134
対応
注射薬 Cisatracurium besylate 0.1 >> 5 mg/ml
注射薬 Gentamicin sulfate 5 mg/ml
グルコース5% 299
対応
注射薬 Cisatracurium besylate 0.1 >> 5 mg/ml
注射薬 Haloperidol lactate 0.2 mg/ml
グルコース5% 299
即時降水 非互換
注射薬 Cisatracurium besylate 5 mg/ml
注射薬 Heparin sodium 100 UI/ml
グルコース5% 299
4時間後のエマルジョンの不安定性 非互換
注射薬 Cisatracurium besylate 2 mg/ml
非経口的栄養(脂肪含む) 4507
不特定の非互換性 非互換
注射薬 Cisatracurium besylate
乳酸リンゲル 3601
色変更 非互換
注射薬 Cisatracurium besylate 5 mg/ml
注射薬 Heparin sodium 500 UI/ml
NaCl 0,9% 3463
対応
注射薬 Cisatracurium besylate 0.1 & 2 mg/ml
注射薬 Heparin sodium 100 UI/ml
グルコース5% 299
不特定の非互換性 非互換
注射薬 Cisatracurium besylate 5 mg/ml
注射薬 Heparin sodium 500 UI/ml
NaCl 0,9% 3823
対応
注射薬 Cisatracurium besylate
グルコース5% 3601
不特定の非互換性 非互換
注射薬 Cisatracurium besylate
注射薬 Heparin sodium
3540
対応
注射薬 Cisatracurium besylate 0.5 mg/ml
注射薬 Hetastarch 60 mg/ml
特定の溶媒 1721
対応
注射薬 Cisatracurium besylate 0.1 >> 5 mg/ml
注射薬 Hydrocortisone sodium succinate 1 mg/ml
グルコース5% 299
対応
注射薬 Cisatracurium besylate 2 mg/ml
注射薬 Hydrocortisone sodium succinate 1 mg/ml
NaCl 0,9% 4465
対応
注射薬 Cisatracurium besylate 0.1 >> 5 mg/ml
注射薬 Hydromorphone hydrochloride 0.5 mg/ml
グルコース5% 299
対応
注射薬 Cisatracurium besylate 0.1 >> 5 mg/ml
注射薬 Hydroxyzine dihydrochloride 2 mg/ml
グルコース5% 299
対応
注射薬 Cisatracurium besylate 0.1 >> 5 mg/ml
注射薬 Imipenem - cilastatin sodium 10 mg/ml
グルコース5% 299
対応
注射薬 Cisatracurium besylate 0,4 mg/ml
注射薬 Imipenem-Cilastatin / Relebactam 5 mg/ml
NaCl 0,9% 4433
対応
注射薬 Cisatracurium besylate 0,4 mg/ml
注射薬 Imipenem-Cilastatin / Relebactam 5 mg/ml
グルコース5% 4433
対応
注射薬 Cisatracurium besylate 1 mg/ml
注射薬 Insulin 1 UI/ml
NaCl 0,9% 3429
対応
注射薬 Cisatracurium besylate 5 mg/ml
注射薬 Insulin 2 UI/ml
NaCl 0,9% 3823
対応
注射薬 Cisatracurium besylate 0.4 mg/ml
注射薬 Isavuconazonium sulfate 1.5 mg/ml
NaCl 0,9% 3829
対応
注射薬 Cisatracurium besylate 0.4 mg/ml
注射薬 Isavuconazonium sulfate 1.5 mg/ml
グルコース5% 3829
対応
注射薬 Cisatracurium besylate 0.1 >> 5 mg/ml
注射薬 Isoprenaline hydrochloride 0.02 mg/ml
グルコース5% 299
対応
注射薬 Cisatracurium besylate 0.1 >> 5 mg/ml
注射薬 Ketorolac tromethamine 15 mg/ml
グルコース5% 299
不特定の非互換性 非互換
注射薬 Cisatracurium besylate
注射薬 Ketorolac tromethamine
3601
対応
注射薬 Cisatracurium besylate 0.1 >> 5 mg/ml
注射薬 Lorazepam 0.5 mg/ml
グルコース5% 299
対応
注射薬 Cisatracurium besylate 0.1 >> 5 mg/ml
注射薬 Magnesium sulfate 100 mg/ml
グルコース5% 299
対応
注射薬 Cisatracurium besylate 0.1 >> 5 mg/ml
注射薬 Mannitol 150 mg/ml
グルコース5% 299
対応
注射薬 Cisatracurium besylate
NaCl 0,9% 3601
対応
注射薬 Cisatracurium besylate 2 mg/ml
注射薬 Labetalol hydrochloride 5 mg/ml
NaCl 0,9% 3879
対応
注射薬 Cisatracurium besylate 1 mg/ml
注射薬 Levetiracetam 5 mg/ml
NaCl 0,9% 4569
対応
注射薬 Cisatracurium besylate 0.1 >> 5 mg/ml
注射薬 Lidocaine hydrochloride 8 mg/ml
グルコース5% 299
対応
注射薬 Cisatracurium besylate 2 mg/ml
注射薬 Linezolid 2 mg/ml
なし 1925
対応
注射薬 Cisatracurium besylate 0.1 mg/ml
注射薬 Methylprednisolone sodium succinate 5 mg/ml
グルコース5% 299
すぐに濁り 非互換
注射薬 Cisatracurium besylate 2 & 5 mg/ml
注射薬 Methylprednisolone sodium succinate 5 mg/ml
グルコース5% 299
対応
注射薬 Cisatracurium besylate 0.1 >> 5 mg/ml
注射薬 Metoclopramide hydrochloride 5 mg/ml
グルコース5% 299
対応
注射薬 Cisatracurium besylate 2 mg/ml
注射薬 Metoprolol tartrate 0.4 mg/ml
NaCl 0,9% 3879
対応
注射薬 Cisatracurium besylate 0.1 >> 5 mg/ml
注射薬 Metronidazole 5 mg/ml
グルコース5% 299
即時降水 非互換
注射薬 Cisatracurium besylate 0.5 mg/ml
注射薬 Micafungin 1.5 mg/ml
NaCl 0,9% 2108
対応
注射薬 Cisatracurium besylate
注射薬 Midazolam hydrochloride
3601
対応
注射薬 Cisatracurium besylate 5 mg/ml
注射薬 Midazolam hydrochloride 2.1 mg/ml
NaCl 0,9% 3823
対応
注射薬 Cisatracurium besylate 0.1 >> 5 mg/ml
注射薬 Midazolam hydrochloride 1 mg/ml
グルコース5% 299
対応
注射薬 Cisatracurium besylate 0.1 >> 5 mg/ml
注射薬 Minocycline hydrochloride 0.2 mg/ml
グルコース5% 299
対応
注射薬 Cisatracurium besylate 0.1 >> 5 mg/ml
注射薬 Morphine sulfate 1 mg/ml
グルコース5% 299
対応
注射薬 Cisatracurium besylate 0.1 >> 5 mg/ml
注射薬 Nalbuphine hydrochloride 10 mg/ml
グルコース5% 299
対応
注射薬 Cisatracurium besylate 0.1 >> 5 mg/ml
注射薬 Netilmicin sulfate 5 mg/ml
グルコース5% 299
対応
注射薬 Cisatracurium besylate 1 mg/ml
注射薬 Nicardipine hydrochloride 0,5 mg/ml
NaCl 0,9% 3429
対応
注射薬 Cisatracurium besylate 5 mg/ml
注射薬 Nimodipine 0.2 mg/ml
NaCl 0,9% 3823
対応
注射薬 Cisatracurium besylate 0.1 >> 5 mg/ml
注射薬 Nitroglycerin 0.4 mg/ml
グルコース5% 299
対応
注射薬 Cisatracurium besylate 5 mg/ml
注射薬 Nitroglycerin 0.2 mg/ml
グルコース5% 3823
即時降水 非互換
注射薬 Cisatracurium besylate 2 & 5 mg/ml
注射薬 Nitroprusside sodium 2 mg/ml
グルコース5% 299
対応
注射薬 Cisatracurium besylate 0.1 mg/ml
注射薬 Nitroprusside sodium 2 mg/ml
グルコース5% 299
対応
注射薬 Cisatracurium besylate 0.1 >> 5 mg/ml
注射薬 Norepinephrine bitartrate 0.12 mg/ml
グルコース5% 299
対応
注射薬 Cisatracurium besylate 0.1 >> 5 mg/ml
注射薬 Ofloxacin 4 mg/ml
グルコース5% 299
対応
注射薬 Cisatracurium besylate 5 mg/ml
注射薬 Omeprazole sodium 1.6 mg/ml
NaCl 0,9% 3823
対応
注射薬 Cisatracurium besylate 0.1 >> 5 mg/ml
注射薬 Ondansetron hydrochloride 1 mg/ml
グルコース5% 299
対応
注射薬 Cisatracurium besylate 0,5 mg/ml
注射薬 Palonosetron hydrochloride 50 µg/ml
グルコース5% 2227
1時間で濁り 非互換
注射薬 Cisatracurium besylate 1 mg/ml
注射薬 Pantoprazole sodium 0,8 mg/ml
NaCl 0,9% 3429
対応
注射薬 Cisatracurium besylate 0.1 >> 5 mg/ml
注射薬 Pethidine hydrochloride 4 mg/ml
グルコース5% 299
対応
注射薬 Cisatracurium besylate 0.1 >> 5 mg/ml
注射薬 Phenylephrine hydrochloride 1 mg/ml
グルコース5% 299
対応
注射薬 Cisatracurium besylate 0.1 mg/ml
注射薬 Piperacillin sodium 40 mg/ml
グルコース5% 299
すぐに濁り 非互換
注射薬 Cisatracurium besylate 2 & 5 mg/ml
注射薬 Piperacillin sodium 40 mg/ml
グルコース5% 299
対応
注射薬 Cisatracurium besylate 0.1 & 2 mg/ml
注射薬 Piperacillin sodium / tazobactam 40/5 mg/ml
グルコース5% 299
4時間後の降水 非互換
注射薬 Cisatracurium besylate 5 mg/ml
注射薬 Piperacillin sodium / tazobactam 40/5 mg/ml
グルコース5% 299
対応
注射薬 Cisatracurium besylate 0.4 mg/ml
注射薬 Plazomicin sulfate 24 mg/ml
NaCl 0,9% 4145
対応
注射薬 Cisatracurium besylate 0.1 >> 5 mg/ml
注射薬 Potassium chloride 100 mEq/l
グルコース5% 299
対応
注射薬 Cisatracurium besylate 5 mg/ml
注射薬 Potassium chloride 10 mEq/l
NaCl 0,9% 3823
対応
注射薬 Cisatracurium besylate 0.1 >> 5 mg/ml
注射薬 Procainamide hydrochloride 10 mg/ml
グルコース5% 299
対応
注射薬 Cisatracurium besylate 0.1 >> 5 mg/ml
注射薬 Prochlorperazine edysilate 0.5 mg/ml
グルコース5% 299
対応
注射薬 Cisatracurium besylate 0.1 >> 5 mg/ml
注射薬 Promethazine hydrochloride 2 mg/ml
グルコース5% 299
不特定の非互換性 非互換
注射薬 Cisatracurium besylate
注射薬 Propofol
3601
対応
注射薬 Cisatracurium besylate 0.1 >> 5 mg/ml
注射薬 Ranitidine hydrochloride 2 mg/ml
グルコース5% 299
対応
注射薬 Cisatracurium besylate 5 mg/ml
注射薬 Remifentanil hydrochloride 100 µg/ml
NaCl 0,9% 3823
対応
注射薬 Cisatracurium besylate 2 mg/ml
注射薬 Remifentanil hydrochloride 25 & 250 µg/ml
NaCl 0,9% 59
不特定の非互換性 非互換
注射薬 Cisatracurium besylate
注射薬 Sodium bicarbonate
3466
1時間で濁り 非互換
注射薬 Cisatracurium besylate 2 mg/ml
注射薬 Sodium bicarbonate 84 mg/ml
グルコース5% 299
不特定の非互換性 非互換
注射薬 Cisatracurium besylate
注射薬 Sodium bicarbonate
3601
対応
注射薬 Cisatracurium besylate 0.1 mg/ml
注射薬 Sodium bicarbonate 84 mg/ml
グルコース5% 299
すぐに濁り 非互換
注射薬 Cisatracurium besylate 5 mg/ml
注射薬 Sodium bicarbonate 84 mg/ml
グルコース5% 299
2時間での濁度 非互換
注射薬 Cisatracurium besylate 5 mg/ml
注射薬 Sodium bicarbonate 84 mg/ml
なし 3212
対応
注射薬 Cisatracurium besylate 0.1 >> 5 mg/ml
注射薬 Sufentanil citrate 0.0125 mg/ml
グルコース5% 299
対応
注射薬 Cisatracurium besylate
注射薬 Sufentanil citrate
3601
対応
注射薬 Cisatracurium besylate 0,4 mg/ml
注射薬 Sulbactam/durlobactam 15/15 mg/ml
NaCl 0,9% 4801
対応
注射薬 Cisatracurium besylate 0.4 mg/ml
注射薬 Tedizolid phosphate 0.8 mg/ml
NaCl 0,9% 3827
対応
注射薬 Cisatracurium besylate 0.1 >> 5 mg/ml
注射薬 Theophylline 3.2 mg/ml
グルコース5% 299
不特定の非互換性 非互換
注射薬 Cisatracurium besylate
注射薬 Thiopental sodium
3601
対応
注射薬 Cisatracurium besylate 0.1 mg/ml
注射薬 Thiopental sodium 25 mg/ml
グルコース5% 299
不特定の非互換性 非互換
注射薬 Cisatracurium besylate 5 mg/ml
注射薬 Thiopental sodium 60 mg/ml
NaCl 0,9% 3823
即時降水 非互換
注射薬 Cisatracurium besylate 2 & 5 mg/ml
注射薬 Thiopental sodium 25 mg/ml
グルコース5% 299
対応
注射薬 Cisatracurium besylate 0.1 & 2 mg/ml
注射薬 Ticarcillin / clavulanic acid 30 mg/ml
グルコース5% 299
すぐに濁り 非互換
注射薬 Cisatracurium besylate 5 mg/ml
注射薬 Ticarcillin / clavulanic acid 30 mg/ml
グルコース5% 299
対応
注射薬 Cisatracurium besylate 0.1 >> 5 mg/ml
注射薬 Tobramycin sulfate 5 mg/ml
グルコース5% 299
対応
注射薬 Cisatracurium besylate 0.1 >> 5 mg/ml
注射薬 Vancomycin hydrochloride 10 mg/ml
グルコース5% 299
対応
注射薬 Cisatracurium besylate 1 mg/ml
注射薬 Vasopressin 1 UI/ml
NaCl 0,9% 3429
対応
注射薬 Cisatracurium besylate 0.1 >> 5 mg/ml
注射薬 Zidovudine 4 mg/ml
グルコース5% 299

  Mentions Légales