Última actualização :
18/03/2026
Curarizante   Cisatracurium besylate  
injetável
Estabilidade em soluções simples Estabilidade em misturas Factores que afectam a sua estabilidade Compatibilidade Método de administração Bibliografía pdf
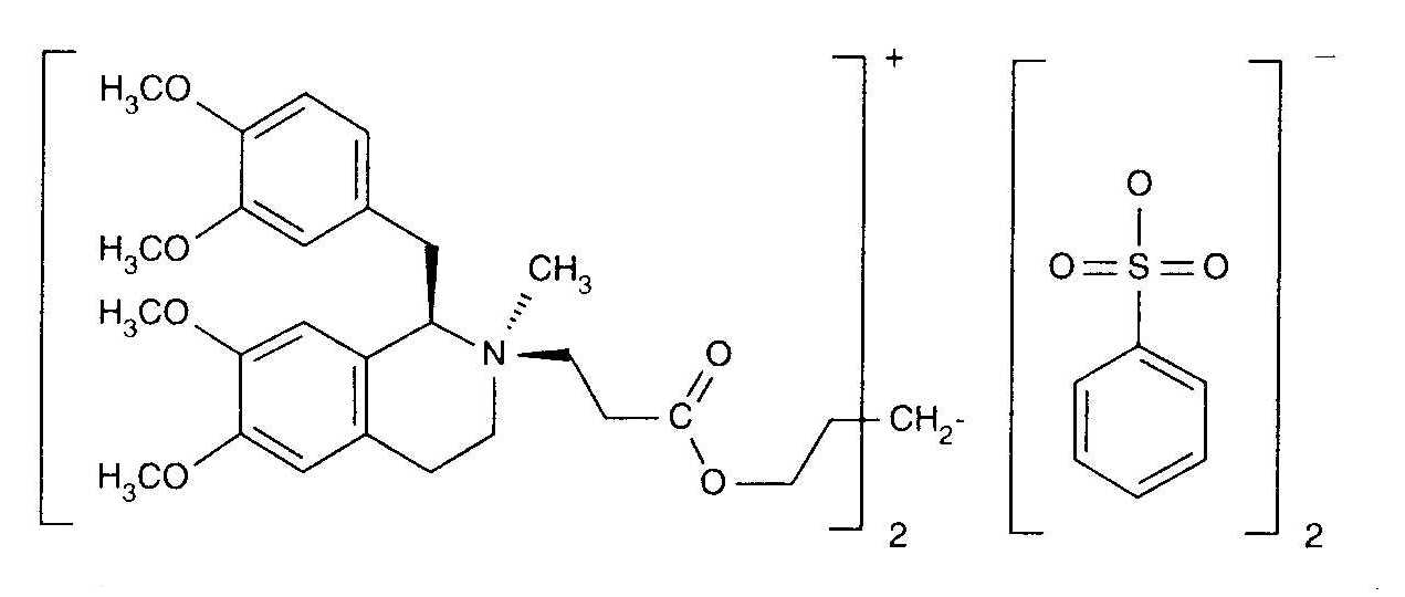
   estrutura química  

Nomes comerciais nos diversos países   Nomes comerciais nos diversos países     

OS NOMES COMERCIAIS SÃO INDICATIVOS E OS EXCIPIENTES DA FORMULAÇÃO PODEM SER DIFERENTES CONFORME O PAÍS E FABRICANTE.

Bensitrak México
Besilato de cisatracurio
Cicuryl México
Cirium Colômbia
Cis Atracure
Cisatracurio Brasil, Chilli, Colômbia, Equator, Espanha, Itália, Peru
Cisatracurium Alemanha, Bélgica, Canadá, Finlandia, França, Gran-bretanha, Hungria, Irlanda, Tunísia
Nimbex Alemanha, Arábia Saudita, Austria, Bélgica, Canadá, Chilli, Dinamarca, Egipto, Emirados Árabes Unidos, Equator, Eslovenia, Espanha, Estados Unidos de América, Finlandia, França, Gran-bretanha, Grècia, Hungria, Irã, Irlanda, Itália, Luxemburgo, Malásia, México, Noruega, Países Baixos, Peru, Polonia, Portugal, Suècia, Tunísia, Turquia, Venezuela
Nimbium Brasil, Colômbia
Compatibilidade   injetável   Compatibilidade : Cisatracurium besylate              
Este ecrã indica as compatibilidades ou incompatibilidades com, neste caso, o tipo de incompatibilidade (precipitação, mudança de cor, modificação de uma emulsão, etc.). As compatibilidades mostradas aqui são principalmente físicas, com a estabilidade química de cada molécula raramente sendo avaliada. A avaliação dessas misturas foi estudada para considerar a possibilidade de administração do local Y ao paciente. Estes dados não podem ser usados para fazer misturas antecipadamente em sacos ou seringas. Este tipo de informação está disponível na tela “Estabilidade na mistura».
molécula Solvente Bibliografia
Precipitação imediata Incompatível
injetável Cisatracurium besylate 5 mg/ml
injetável Aciclovir sodium 7 mg/ml
Glucose 5% 299
Compatível
injetável Cisatracurium besylate 0.1 & 2 mg/ml
injetável Aciclovir sodium 7 mg/ml
Glucose 5% 299
Compatível
injetável Cisatracurium besylate
injetável Alfentanil hydrochloride
3601
Compatível
injetável Cisatracurium besylate 0.1 >> 5 mg/ml
injetável Alfentanil hydrochloride 125 µg/ml
Glucose 5% 299
Precipitação imediata Incompatível
injetável Cisatracurium besylate 1,2 mg/ml
injetável Alprostadil 20 µg/ml
Glucose 5% 4651
Precipitação imediata Incompatível
injetável Cisatracurium besylate 1,2 mg/ml
injetável Alprostadil 20 µg/ml
Glucose 5% 4491
Compatível
injetável Cisatracurium besylate 0.1 >> 5 mg/ml
injetável Amikacin sulfate 5 mg/ml
Glucose 5% 299
Compatível
injetável Cisatracurium besylate 0.1 & 2 mg/ml
injetável Aminophylline 2.5 mg/ml
Glucose 5% 299
Turbidez em uma hora Incompatível
injetável Cisatracurium besylate 5 mg/ml
injetável Aminophylline 2.5 mg/ml
Glucose 5% 299
Compatível
injetável Cisatracurium besylate
injetável Amiodarone hydrochloride
3464
Compatível
injetável Cisatracurium besylate 5 mg/ml
injetável Amiodarone hydrochloride 15 mg/ml
Glucose 5% 3823
Compatível
injetável Cisatracurium besylate 0.1 mg/ml
injetável Amphotericin B 0.6 mg/ml
Glucose 5% 299
Precipitação imediata Incompatível
injetável Cisatracurium besylate 2 & 5 mg/ml
injetável Amphotericin B 0.6 mg/ml
Glucose 5% 299
Precipitação imediata Incompatível
injetável Cisatracurium besylate 2 mg/ml
injetável Amphotericin B cholesteryl sulfate complex 0.83 mg/ml
Glucose 5% 921
Turbidez em uma hora Incompatível
injetável Cisatracurium besylate 5 mg/ml
injetável Ampicillin sodium 20 mg/ml
cloreto de sódio 0,9% 299
Compatível
injetável Cisatracurium besylate 0.1 & 2 mg/ml
injetável Ampicillin sodium 20 mg/ml
Glucose 5% 299
Turbidez em uma hora Incompatível
injetável Cisatracurium besylate 5 mg/ml
injetável Ampicillin sodium 20 mg/ml
Glucose 5% 299
Turvação imediata Incompatível
injetável Cisatracurium besylate 5 mg/ml
injetável Ampicillin sodium - sulbactam sodium 20/10 mg/ml
Glucose 5% 299
Turvação imediata Incompatível
injetável Cisatracurium besylate 5 mg/ml
injetável Ampicillin sodium - sulbactam sodium 20/10 mg/ml
cloreto de sódio 0,9% 299
Compatível
injetável Cisatracurium besylate 0.1 & 2 mg/ml
injetável Ampicillin sodium - sulbactam sodium 20/10 mg/ml
Glucose 5% 299
Compatível
injetável Cisatracurium besylate 0.1 >> 5 mg/ml
injetável Aztreonam 40 mg/ml
Glucose 5% 299
Compatível
injetável Cisatracurium besylate 0.1 >> 5 mg/ml
injetável Bumetanide 0.04 mg/ml
Glucose 5% 299
Compatível
injetável Cisatracurium besylate 0.1 >> 5 mg/ml
injetável Buprenorphine hydrochloride 0.04 mg/ml
Glucose 5% 299
Compatível
injetável Cisatracurium besylate 0.1 >> 5 mg/ml
injetável Butorphanol tartrate 0.04 mg/ml
Glucose 5% 299
Compatível
injetável Cisatracurium besylate 0.1 >> 5 mg/ml
injetável Calcium gluconate 40 mg/ml
Glucose 5% 299
Compatível
injetável Cisatracurium besylate 1 mg/ml
injetável Calcium gluconate 20 mg/ml
cloreto de sódio 0,9% 3429
Turvação imediata Incompatível
injetável Cisatracurium besylate 2 & 5 mg/ml
injetável Cefazolin sodium 20 mg/ml
Glucose 5% 299
Compatível
injetável Cisatracurium besylate 0.1 mg/ml
injetável Cefazolin sodium 20 mg/ml
Glucose 5% 299
Compatível
injetável Cisatracurium besylate 0.4 mg/ml
injetável Cefiderocol sulfate tosylate 20 mg/mL
Glucose 5% 4528
Compatível
injetável Cisatracurium besylate 0.4 mg/ml
injetável Cefiderocol sulfate tosylate 20 mg/mL
cloreto de sódio 0,9% 4528
Precipitação imediata Incompatível
injetável Cisatracurium besylate 0.1 >> 5 mg/ml
injetável Cefoperazone sodium 40 mg/ml
Glucose 5% 299
Compatível
injetável Cisatracurium besylate 0.1 >> 5 mg/ml
injetável Cefoperazone sodium 40 mg/ml
Glucose 5% 299
Turbidez em 4 horas Incompatível
injetável Cisatracurium besylate 2 mg/ml
injetável Cefotaxime sodium 20 mg/ml
Glucose 5% 299
Turvação imediata Incompatível
injetável Cisatracurium besylate 5 mg/ml
injetável Cefotaxime sodium 20 mg/ml
Glucose 5% 299
Compatível
injetável Cisatracurium besylate 0.1 mg/ml
injetável Cefotaxime sodium 20 mg/ml
Glucose 5% 299
Compatível
injetável Cisatracurium besylate 0.1 mg/ml
injetável Cefoxitin sodium 20 mg/ml
Glucose 5% 299
Turvação imediata Incompatível
injetável Cisatracurium besylate 2 & 5 mg/ml
injetável Cefoxitin sodium 20 mg/ml
Glucose 5% 299
Compatível
injetável Cisatracurium besylate 0,5 mg/ml
injetável Ceftaroline fosamil 2,22 mg/ml
Ringer lactato 3249
Compatível
injetável Cisatracurium besylate 0,5 mg/ml
injetável Ceftaroline fosamil 2,22 mg/ml
Glucose 5% 3249
Compatível
injetável Cisatracurium besylate 0,5 mg/ml
injetável Ceftaroline fosamil 2,22 mg/ml
cloreto de sódio 0,9% 3249
Turvação imediata Incompatível
injetável Cisatracurium besylate 5 mg/ml
injetável Ceftazidime 40 mg/ml
Glucose 5% 299
Compatível
injetável Cisatracurium besylate 0.1 & 2 mg/ml
injetável Ceftazidime 40 mg/ml
Glucose 5% 299
Compatível
injetável Cisatracurium besylate 0.1 & 2 mg/ml
injetável Ceftizoxime sodium 20 mg/ml
Glucose 5% 299
Turbidez em uma hora Incompatível
injetável Cisatracurium besylate 5 mg/ml
injetável Ceftizoxime sodium 20 mg/ml
Glucose 5% 299
Precipitação imediata Incompatível
injetável Cisatracurium besylate 0.5 mg/ml
injetável Ceftobiprole medocaril sodium 2 mg/ml
cloreto de sódio 0,9% 2269
Precipitação imediata Incompatível
injetável Cisatracurium besylate 0.5 mg/ml
injetável Ceftobiprole medocaril sodium 2 mg/ml
Ringer lactato 2269
Precipitação imediata Incompatível
injetável Cisatracurium besylate 0.5 mg/ml
injetável Ceftobiprole medocaril sodium 2 mg/ml
Glucose 5% 2269
Incompatibilidade não especificada Incompatível
injetável Cisatracurium besylate
injetável Ceftobiprole medocaril sodium
4650
Compatível
injetável Cisatracurium besylate 0.4 mg/ml
injetável Ceftolozane / tazobactam 10/5 mg/ml
Glucose 5% 3828
Compatível
injetável Cisatracurium besylate 0.4 mg/ml
injetável Ceftolozane / tazobactam 10/5 mg/ml
cloreto de sódio 0,9% 3828
Compatível
injetável Cisatracurium besylate 0.1 >> 5 mg/ml
injetável Ceftriaxone disodium 20 mg/ml
Glucose 5% 299
Precipitação imediata Incompatível
injetável Cisatracurium besylate 2 & 5 mg/ml
injetável Cefuroxime sodium 30 mg/ml
Glucose 5% 299
Compatível
injetável Cisatracurium besylate 0.1 >> 5 mg/ml
injetável Chlorpromazine hydrochloride 2 mg/ml
Glucose 5% 299
Compatível
injetável Cisatracurium besylate 0.1 >> 5 mg/ml
injetável Cimetidine hydrochloride 12 mg/ml
Glucose 5% 299
Compatível
injetável Cisatracurium besylate 0.1 >> 5 mg/ml
injetável Ciprofloxacin lactate 1 mg/ml
Glucose 5% 299
Compatível
injetável Cisatracurium besylate 0.1 >> 5 mg/ml
injetável Clindamycin phosphate 10 mg/ml
Glucose 5% 299
Compatível
injetável Cisatracurium besylate 5 mg/ml
injetável Clonazepam 0.2 mg/ml
cloreto de sódio 0,9% 3823
Compatível
injetável Cisatracurium besylate 5 mg/ml
injetável Clonidine hydrochloride 0.012 mg/ml
cloreto de sódio 0,9% 3823
Turvação imediata Incompatível
injetável Cisatracurium besylate 2 & 5 mg/ml
injetável Co-trimoxazole 0,8/4 mg/ml
Glucose 5% 299
Compatível
injetável Cisatracurium besylate 0.1 mg/ml
injetável Co-trimoxazole 0.8/4 mg/ml
Glucose 5% 299
Compatível
injetável Cisatracurium besylate 0.5 mg/ml
injetável Dexmedetomidine 4 µg/ml
cloreto de sódio 0,9% 1712
Compatível
injetável Cisatracurium besylate 0.1 >> 5 mg/ml
injetável Diazepam 0.25 mg/ml
Glucose 5% 299
Precipitação imediata Incompatível
injetável Cisatracurium besylate 0.1 >> 5 mg/ml
injetável Diazepam 5 mg/ml
Glucose 5% 299
Incompatibilidade não especificada Incompatível
injetável Cisatracurium besylate 5 mg/ml
injetável Diclofenac 3 mg/ml
cloreto de sódio 0,9% 3823
Compatível
injetável Cisatracurium besylate 0.1 >> 5 mg/ml
injetável Digoxin 250 µg/ml
Glucose 5% 299
Compatível
injetável Cisatracurium besylate 1 mg/ml
injetável Diltiazem hydrochloride 1 mg/ml
cloreto de sódio 0,9% 3429
Compatível
injetável Cisatracurium besylate 0.1 >> 5 mg/ml
injetável Diphenhydramine hydrochloride 2 mg/ml
Glucose 5% 299
Compatível
injetável Cisatracurium besylate 0.1 >> 5 mg/ml
injetável Dobutamine hydrochloride 4 mg/ml
Glucose 5% 299
Compatível
injetável Cisatracurium besylate 0.1 >> 5 mg/ml
injetável Dopamine hydrochloride 3.2 mg/ml
Glucose 5% 299
Compatível
injetável Cisatracurium besylate 0.1 >> 5 mg/ml
injetável Doxycycline hyclate 1 mg/ml
Glucose 5% 299
Compatível
injetável Cisatracurium besylate
injetável Droperidol
3601
Compatível
injetável Cisatracurium besylate 0.1 >> 5 mg/ml
injetável Droperidol 2.5 mg/ml
Glucose 5% 299
Compatível
injetável Cisatracurium besylate 0.1 >> 5 mg/ml
injetável Enalaprilate 0.1 mg/ml
Glucose 5% 299
Compatível
injetável Cisatracurium besylate 0.1 >> 5 mg/ml
injetável Epinephrine hydrochloride 50 µg/ml
Glucose 5% 299
Compatível
injetável Cisatracurium besylate 0,4 mg/ml
injetável Eravacycline 0,6 mg/ml
cloreto de sódio 0,9% 4434
Compatível
injetável Cisatracurium besylate 0.1 >> 5 mg/ml
injetável Esmolol hydrochloride 10 mg/ml
Glucose 5% 299
Compatível
injetável Cisatracurium besylate 0.4 mg/ml
injetável Fosfomycin 30 mg/ml
Glucose 5% 4055
Turvação imediata Incompatível
injetável Cisatracurium besylate 5 mg/ml
NaHCO3 3823
Compatível
injetável Cisatracurium besylate 5 mg/ml
injetável Esmolol hydrochloride 10 mg/ml
cloreto de sódio 0,9% 3823
Compatível
injetável Cisatracurium besylate 2 mg/ml
injetável Esmolol hydrochloride 10 mg/ml
cloreto de sódio 0,9% 3879
Compatível
injetável Cisatracurium besylate 1 mg/ml
injetável Esomeprazole sodium 0,4 mg/ml
cloreto de sódio 0,9% 3429
Compatível
injetável Cisatracurium besylate 0.1 >> 5 mg/ml
injetável Famotidine 2 mg/ml
Glucose 5% 299
Compatível
injetável Cisatracurium besylate 0.5 mg/ml
injetável Fenoldopam mesylate 80 µg/ml
cloreto de sódio 0,9% 1803
Compatível
injetável Cisatracurium besylate 0.1 >> 5 mg/ml
injetável Fentanyl citrate 12.5 µg/ml
Glucose 5% 299
Compatível
injetável Cisatracurium besylate
injetável Fentanyl citrate
3601
Compatível
injetável Cisatracurium besylate 0.1 >> 5 mg/ml
injetável Fluconazole 2 mg/ml
Glucose 5% 299
Compatível
injetável Cisatracurium besylate 0.4 mg/ml
injetável Fosfomycin 30 mg/ml
cloreto de sódio 0,9% 4055
Incompatibilidade não especificada Incompatível
injetável Cisatracurium besylate
injetável Furosemide
3465
Turvação imediata Incompatível
injetável Cisatracurium besylate 2 & 5 mg/ml
NaHCO3 299
Precipitação imediata Incompatível
injetável Cisatracurium besylate 5 mg/ml
injetável Furosemide 10 mg/ml
cloreto de sódio 0,9% 3463
Compatível
injetável Cisatracurium besylate 0.1 mg/ml
injetável Furosemide 3 mg/ml
Glucose 5% 299
Incompatibilidade não especificada Incompatível
injetável Cisatracurium besylate 5 mg/ml
injetável Furosemide 10 mg/ml
cloreto de sódio 0,9% 3823
Precipitação imediata Incompatível
injetável Cisatracurium besylate 5 mg/ml
injetável Ganciclovir sodium 20 mg/ml
Glucose 5% 299
Incompatibilidade não especificada Incompatível
injetável Cisatracurium besylate
NaHCO3 3466
Compatível
injetável Cisatracurium besylate 0.1 & 2 mg/ml
injetável Ganciclovir sodium 20 mg/ml
Glucose 5% 299
Incompatibilidade não especificada Incompatível
injetável Cisatracurium besylate
NaHCO3 3601
Precipitação imediata Incompatível
injetável Cisatracurium besylate 2 & 5 mg/ml
injetável Furosemide 3 mg/ml
Glucose 5% 299
Incompatibilidade não especificada Incompatível
injetável Cisatracurium besylate 5 mg/ml
injetável Furosemide 10 mg/ml
nenhum 3134
Compatível
injetável Cisatracurium besylate 0.1 >> 5 mg/ml
injetável Gentamicin sulfate 5 mg/ml
Glucose 5% 299
Compatível
injetável Cisatracurium besylate 0.1 >> 5 mg/ml
injetável Haloperidol lactate 0.2 mg/ml
Glucose 5% 299
Precipitação imediata Incompatível
injetável Cisatracurium besylate 5 mg/ml
injetável Heparin sodium 100 UI/ml
Glucose 5% 299
Instabilidade da emulsão após 4 horas Incompatível
injetável Cisatracurium besylate 2 mg/ml
Nutrição parenteral (com lípidos) 4507
Incompatibilidade não especificada Incompatível
injetável Cisatracurium besylate
Ringer lactato 3601
Mudança de cor Incompatível
injetável Cisatracurium besylate 5 mg/ml
injetável Heparin sodium 500 UI/ml
cloreto de sódio 0,9% 3463
Compatível
injetável Cisatracurium besylate 0.1 & 2 mg/ml
injetável Heparin sodium 100 UI/ml
Glucose 5% 299
Incompatibilidade não especificada Incompatível
injetável Cisatracurium besylate 5 mg/ml
injetável Heparin sodium 500 UI/ml
cloreto de sódio 0,9% 3823
Compatível
injetável Cisatracurium besylate
Glucose 5% 3601
Incompatibilidade não especificada Incompatível
injetável Cisatracurium besylate
injetável Heparin sodium
3540
Compatível
injetável Cisatracurium besylate 0.5 mg/ml
injetável Hetastarch 60 mg/ml
solvente específico 1721
Compatível
injetável Cisatracurium besylate 0.1 >> 5 mg/ml
injetável Hydrocortisone sodium succinate 1 mg/ml
Glucose 5% 299
Compatível
injetável Cisatracurium besylate 2 mg/ml
injetável Hydrocortisone sodium succinate 1 mg/ml
cloreto de sódio 0,9% 4465
Compatível
injetável Cisatracurium besylate 0.1 >> 5 mg/ml
injetável Hydromorphone hydrochloride 0.5 mg/ml
Glucose 5% 299
Compatível
injetável Cisatracurium besylate 0.1 >> 5 mg/ml
injetável Hydroxyzine dihydrochloride 2 mg/ml
Glucose 5% 299
Compatível
injetável Cisatracurium besylate 0.1 >> 5 mg/ml
injetável Imipenem - cilastatin sodium 10 mg/ml
Glucose 5% 299
Compatível
injetável Cisatracurium besylate 0,4 mg/ml
injetável Imipenem-Cilastatin / Relebactam 5 mg/ml
cloreto de sódio 0,9% 4433
Compatível
injetável Cisatracurium besylate 0,4 mg/ml
injetável Imipenem-Cilastatin / Relebactam 5 mg/ml
Glucose 5% 4433
Compatível
injetável Cisatracurium besylate 1 mg/ml
injetável Insulin 1 UI/ml
cloreto de sódio 0,9% 3429
Compatível
injetável Cisatracurium besylate 5 mg/ml
injetável Insulin 2 UI/ml
cloreto de sódio 0,9% 3823
Compatível
injetável Cisatracurium besylate 0.4 mg/ml
injetável Isavuconazonium sulfate 1.5 mg/ml
cloreto de sódio 0,9% 3829
Compatível
injetável Cisatracurium besylate 0.4 mg/ml
injetável Isavuconazonium sulfate 1.5 mg/ml
Glucose 5% 3829
Compatível
injetável Cisatracurium besylate 0.1 >> 5 mg/ml
injetável Isoprenaline hydrochloride 0.02 mg/ml
Glucose 5% 299
Compatível
injetável Cisatracurium besylate 0.1 >> 5 mg/ml
injetável Ketorolac tromethamine 15 mg/ml
Glucose 5% 299
Incompatibilidade não especificada Incompatível
injetável Cisatracurium besylate
injetável Ketorolac tromethamine
3601
Compatível
injetável Cisatracurium besylate 0.1 >> 5 mg/ml
injetável Lorazepam 0.5 mg/ml
Glucose 5% 299
Compatível
injetável Cisatracurium besylate 0.1 >> 5 mg/ml
injetável Magnesium sulfate 100 mg/ml
Glucose 5% 299
Compatível
injetável Cisatracurium besylate 0.1 >> 5 mg/ml
injetável Mannitol 150 mg/ml
Glucose 5% 299
Compatível
injetável Cisatracurium besylate
cloreto de sódio 0,9% 3601
Compatível
injetável Cisatracurium besylate 2 mg/ml
injetável Labetalol hydrochloride 5 mg/ml
cloreto de sódio 0,9% 3879
Compatível
injetável Cisatracurium besylate 1 mg/ml
injetável Levetiracetam 5 mg/ml
cloreto de sódio 0,9% 4569
Compatível
injetável Cisatracurium besylate 0.1 >> 5 mg/ml
injetável Lidocaine hydrochloride 8 mg/ml
Glucose 5% 299
Compatível
injetável Cisatracurium besylate 2 mg/ml
injetável Linezolid 2 mg/ml
nenhum 1925
Compatível
injetável Cisatracurium besylate 0.1 mg/ml
injetável Methylprednisolone sodium succinate 5 mg/ml
Glucose 5% 299
Turvação imediata Incompatível
injetável Cisatracurium besylate 2 & 5 mg/ml
injetável Methylprednisolone sodium succinate 5 mg/ml
Glucose 5% 299
Compatível
injetável Cisatracurium besylate 0.1 >> 5 mg/ml
injetável Metoclopramide hydrochloride 5 mg/ml
Glucose 5% 299
Compatível
injetável Cisatracurium besylate 2 mg/ml
injetável Metoprolol tartrate 0.4 mg/ml
cloreto de sódio 0,9% 3879
Compatível
injetável Cisatracurium besylate 0.1 >> 5 mg/ml
injetável Metronidazole 5 mg/ml
Glucose 5% 299
Precipitação imediata Incompatível
injetável Cisatracurium besylate 0.5 mg/ml
injetável Micafungin 1.5 mg/ml
cloreto de sódio 0,9% 2108
Compatível
injetável Cisatracurium besylate
injetável Midazolam hydrochloride
3601
Compatível
injetável Cisatracurium besylate 5 mg/ml
injetável Midazolam hydrochloride 2.1 mg/ml
cloreto de sódio 0,9% 3823
Compatível
injetável Cisatracurium besylate 0.1 >> 5 mg/ml
injetável Midazolam hydrochloride 1 mg/ml
Glucose 5% 299
Compatível
injetável Cisatracurium besylate 0.1 >> 5 mg/ml
injetável Minocycline hydrochloride 0.2 mg/ml
Glucose 5% 299
Compatível
injetável Cisatracurium besylate 0.1 >> 5 mg/ml
injetável Morphine sulfate 1 mg/ml
Glucose 5% 299
Compatível
injetável Cisatracurium besylate 0.1 >> 5 mg/ml
injetável Nalbuphine hydrochloride 10 mg/ml
Glucose 5% 299
Compatível
injetável Cisatracurium besylate 0.1 >> 5 mg/ml
injetável Netilmicin sulfate 5 mg/ml
Glucose 5% 299
Compatível
injetável Cisatracurium besylate 1 mg/ml
injetável Nicardipine hydrochloride 0,5 mg/ml
cloreto de sódio 0,9% 3429
Compatível
injetável Cisatracurium besylate 5 mg/ml
injetável Nimodipine 0.2 mg/ml
cloreto de sódio 0,9% 3823
Compatível
injetável Cisatracurium besylate 0.1 >> 5 mg/ml
injetável Nitroglycerin 0.4 mg/ml
Glucose 5% 299
Compatível
injetável Cisatracurium besylate 5 mg/ml
injetável Nitroglycerin 0.2 mg/ml
Glucose 5% 3823
Precipitação imediata Incompatível
injetável Cisatracurium besylate 2 & 5 mg/ml
injetável Nitroprusside sodium 2 mg/ml
Glucose 5% 299
Compatível
injetável Cisatracurium besylate 0.1 mg/ml
injetável Nitroprusside sodium 2 mg/ml
Glucose 5% 299
Compatível
injetável Cisatracurium besylate 0.1 >> 5 mg/ml
injetável Norepinephrine bitartrate 0.12 mg/ml
Glucose 5% 299
Compatível
injetável Cisatracurium besylate 0.1 >> 5 mg/ml
injetável Ofloxacin 4 mg/ml
Glucose 5% 299
Compatível
injetável Cisatracurium besylate 5 mg/ml
injetável Omeprazole sodium 1.6 mg/ml
cloreto de sódio 0,9% 3823
Compatível
injetável Cisatracurium besylate 0.1 >> 5 mg/ml
injetável Ondansetron hydrochloride 1 mg/ml
Glucose 5% 299
Compatível
injetável Cisatracurium besylate 0,5 mg/ml
injetável Palonosetron hydrochloride 50 µg/ml
Glucose 5% 2227
Turbidez em uma hora Incompatível
injetável Cisatracurium besylate 1 mg/ml
injetável Pantoprazole sodium 0,8 mg/ml
cloreto de sódio 0,9% 3429
Compatível
injetável Cisatracurium besylate 0.1 >> 5 mg/ml
injetável Pethidine hydrochloride 4 mg/ml
Glucose 5% 299
Compatível
injetável Cisatracurium besylate 0.1 >> 5 mg/ml
injetável Phenylephrine hydrochloride 1 mg/ml
Glucose 5% 299
Compatível
injetável Cisatracurium besylate 0.1 mg/ml
injetável Piperacillin sodium 40 mg/ml
Glucose 5% 299
Turvação imediata Incompatível
injetável Cisatracurium besylate 2 & 5 mg/ml
injetável Piperacillin sodium 40 mg/ml
Glucose 5% 299
Compatível
injetável Cisatracurium besylate 0.1 & 2 mg/ml
injetável Piperacillin sodium / tazobactam 40/5 mg/ml
Glucose 5% 299
Precipitação após 4 horas Incompatível
injetável Cisatracurium besylate 5 mg/ml
injetável Piperacillin sodium / tazobactam 40/5 mg/ml
Glucose 5% 299
Compatível
injetável Cisatracurium besylate 0.4 mg/ml
injetável Plazomicin sulfate 24 mg/ml
cloreto de sódio 0,9% 4145
Compatível
injetável Cisatracurium besylate 0.1 >> 5 mg/ml
injetável Potassium chloride 100 mEq/l
Glucose 5% 299
Compatível
injetável Cisatracurium besylate 5 mg/ml
injetável Potassium chloride 10 mEq/l
cloreto de sódio 0,9% 3823
Compatível
injetável Cisatracurium besylate 0.1 >> 5 mg/ml
injetável Procainamide hydrochloride 10 mg/ml
Glucose 5% 299
Compatível
injetável Cisatracurium besylate 0.1 >> 5 mg/ml
injetável Prochlorperazine edysilate 0.5 mg/ml
Glucose 5% 299
Compatível
injetável Cisatracurium besylate 0.1 >> 5 mg/ml
injetável Promethazine hydrochloride 2 mg/ml
Glucose 5% 299
Incompatibilidade não especificada Incompatível
injetável Cisatracurium besylate
injetável Propofol
3601
Compatível
injetável Cisatracurium besylate 0.1 >> 5 mg/ml
injetável Ranitidine hydrochloride 2 mg/ml
Glucose 5% 299
Compatível
injetável Cisatracurium besylate 5 mg/ml
injetável Remifentanil hydrochloride 100 µg/ml
cloreto de sódio 0,9% 3823
Compatível
injetável Cisatracurium besylate 2 mg/ml
injetável Remifentanil hydrochloride 25 & 250 µg/ml
cloreto de sódio 0,9% 59
Incompatibilidade não especificada Incompatível
injetável Cisatracurium besylate
injetável Sodium bicarbonate
3466
Turbidez em uma hora Incompatível
injetável Cisatracurium besylate 2 mg/ml
injetável Sodium bicarbonate 84 mg/ml
Glucose 5% 299
Incompatibilidade não especificada Incompatível
injetável Cisatracurium besylate
injetável Sodium bicarbonate
3601
Compatível
injetável Cisatracurium besylate 0.1 mg/ml
injetável Sodium bicarbonate 84 mg/ml
Glucose 5% 299
Turvação imediata Incompatível
injetável Cisatracurium besylate 5 mg/ml
injetável Sodium bicarbonate 84 mg/ml
Glucose 5% 299
Turbidez em 2 horas Incompatível
injetável Cisatracurium besylate 5 mg/ml
injetável Sodium bicarbonate 84 mg/ml
nenhum 3212
Compatível
injetável Cisatracurium besylate 0.1 >> 5 mg/ml
injetável Sufentanil citrate 0.0125 mg/ml
Glucose 5% 299
Compatível
injetável Cisatracurium besylate
injetável Sufentanil citrate
3601
Compatível
injetável Cisatracurium besylate 0,4 mg/ml
injetável Sulbactam/durlobactam 15/15 mg/ml
cloreto de sódio 0,9% 4801
Compatível
injetável Cisatracurium besylate 0.4 mg/ml
injetável Tedizolid phosphate 0.8 mg/ml
cloreto de sódio 0,9% 3827
Compatível
injetável Cisatracurium besylate 0.1 >> 5 mg/ml
injetável Theophylline 3.2 mg/ml
Glucose 5% 299
Incompatibilidade não especificada Incompatível
injetável Cisatracurium besylate
injetável Thiopental sodium
3601
Compatível
injetável Cisatracurium besylate 0.1 mg/ml
injetável Thiopental sodium 25 mg/ml
Glucose 5% 299
Incompatibilidade não especificada Incompatível
injetável Cisatracurium besylate 5 mg/ml
injetável Thiopental sodium 60 mg/ml
cloreto de sódio 0,9% 3823
Precipitação imediata Incompatível
injetável Cisatracurium besylate 2 & 5 mg/ml
injetável Thiopental sodium 25 mg/ml
Glucose 5% 299
Compatível
injetável Cisatracurium besylate 0.1 & 2 mg/ml
injetável Ticarcillin / clavulanic acid 30 mg/ml
Glucose 5% 299
Turvação imediata Incompatível
injetável Cisatracurium besylate 5 mg/ml
injetável Ticarcillin / clavulanic acid 30 mg/ml
Glucose 5% 299
Compatível
injetável Cisatracurium besylate 0.1 >> 5 mg/ml
injetável Tobramycin sulfate 5 mg/ml
Glucose 5% 299
Compatível
injetável Cisatracurium besylate 0.1 >> 5 mg/ml
injetável Vancomycin hydrochloride 10 mg/ml
Glucose 5% 299
Compatível
injetável Cisatracurium besylate 1 mg/ml
injetável Vasopressin 1 UI/ml
cloreto de sódio 0,9% 3429
Compatível
injetável Cisatracurium besylate 0.1 >> 5 mg/ml
injetável Zidovudine 4 mg/ml
Glucose 5% 299

  Mentions Légales