Ultimo aggiornamento :
03/02/2026
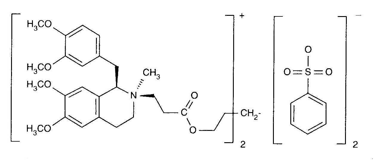
Curarizzante   Cisatracurium besylate  
Iniezione
Stabilità in soluzione Stabilità in miscela Fattori che influenzano la stabilità Compatibilità metodo di iniezione Bibliografia pdf
   Struttura chimica  

Nome commerciale   Nome commerciale     

Trade names are indicative and excipients composition can be different depending on the country and manufacturers

Bensitrak Messico
Besilato de cisatracurio
Cicuryl Messico
Cirium Colombia
Cis Atracure
Cisatracurio Brasile, Chile, Colombia, Ecuador, Italia, Perù, Spagna
Cisatracurium Belgio, Canada, Finlandia, Francia, Germania, Gran Bretagna, Irlanda, Tunisia, Ungheria
Nimbex Arabia Saudita, Austria, Belgio, Canada, Chile, Danimarca, Ecuador, Egitto, Emirati Arabi Uniti, Finlandia, Francia, Germania, Gran Bretagna, Grecia, Iran, Irlanda, Italia, Lussemburgo, Malaysia, Messico, Norvegia, Paesi Bassi, Perù, Polonia, Portogallo, Slovenia, Spagna, Stati Uniti d’America, Svezia, Tunisia, Turchia, Ungheria, Venezuela
Nimbium Brasile, Colombia
Compatibilità   Iniezione   Compatibilità : Cisatracurium besylate              
explication_incompatibilite_molecules
Molecola Solvente Bibliografia
Precipitazioni immediate Incompatibile
Iniezione Cisatracurium besylate 5 mg/ml
Iniezione Aciclovir sodium 7 mg/ml
Glucosio 5% 299
Compatibile
Iniezione Cisatracurium besylate 0.1 & 2 mg/ml
Iniezione Aciclovir sodium 7 mg/ml
Glucosio 5% 299
Compatibile
Iniezione Cisatracurium besylate
Iniezione Alfentanil hydrochloride
3601
Compatibile
Iniezione Cisatracurium besylate 0.1 >> 5 mg/ml
Iniezione Alfentanil hydrochloride 125 µg/ml
Glucosio 5% 299
Precipitazioni immediate Incompatibile
Iniezione Cisatracurium besylate 1,2 mg/ml
Iniezione Alprostadil 20 µg/ml
Glucosio 5% 4651
Precipitazioni immediate Incompatibile
Iniezione Cisatracurium besylate 1,2 mg/ml
Iniezione Alprostadil 20 µg/ml
Glucosio 5% 4491
Compatibile
Iniezione Cisatracurium besylate 0.1 >> 5 mg/ml
Iniezione Amikacin sulfate 5 mg/ml
Glucosio 5% 299
Compatibile
Iniezione Cisatracurium besylate 0.1 & 2 mg/ml
Iniezione Aminophylline 2.5 mg/ml
Glucosio 5% 299
Torbidità in un'ora Incompatibile
Iniezione Cisatracurium besylate 5 mg/ml
Iniezione Aminophylline 2.5 mg/ml
Glucosio 5% 299
Compatibile
Iniezione Cisatracurium besylate
Iniezione Amiodarone hydrochloride
3464
Compatibile
Iniezione Cisatracurium besylate 5 mg/ml
Iniezione Amiodarone hydrochloride 15 mg/ml
Glucosio 5% 3823
Compatibile
Iniezione Cisatracurium besylate 0.1 mg/ml
Iniezione Amphotericin B 0.6 mg/ml
Glucosio 5% 299
Precipitazioni immediate Incompatibile
Iniezione Cisatracurium besylate 2 & 5 mg/ml
Iniezione Amphotericin B 0.6 mg/ml
Glucosio 5% 299
Precipitazioni immediate Incompatibile
Iniezione Cisatracurium besylate 2 mg/ml
Iniezione Amphotericin B cholesteryl sulfate complex 0.83 mg/ml
Glucosio 5% 921
Torbidità in un'ora Incompatibile
Iniezione Cisatracurium besylate 5 mg/ml
Iniezione Ampicillin sodium 20 mg/ml
Cloruro di sodio 0,9% 299
Compatibile
Iniezione Cisatracurium besylate 0.1 & 2 mg/ml
Iniezione Ampicillin sodium 20 mg/ml
Glucosio 5% 299
Torbidità in un'ora Incompatibile
Iniezione Cisatracurium besylate 5 mg/ml
Iniezione Ampicillin sodium 20 mg/ml
Glucosio 5% 299
Torbidità immediata Incompatibile
Iniezione Cisatracurium besylate 5 mg/ml
Iniezione Ampicillin sodium - sulbactam sodium 20/10 mg/ml
Glucosio 5% 299
Torbidità immediata Incompatibile
Iniezione Cisatracurium besylate 5 mg/ml
Iniezione Ampicillin sodium - sulbactam sodium 20/10 mg/ml
Cloruro di sodio 0,9% 299
Compatibile
Iniezione Cisatracurium besylate 0.1 & 2 mg/ml
Iniezione Ampicillin sodium - sulbactam sodium 20/10 mg/ml
Glucosio 5% 299
Compatibile
Iniezione Cisatracurium besylate 0.1 >> 5 mg/ml
Iniezione Aztreonam 40 mg/ml
Glucosio 5% 299
Compatibile
Iniezione Cisatracurium besylate 0.1 >> 5 mg/ml
Iniezione Bumetanide 0.04 mg/ml
Glucosio 5% 299
Compatibile
Iniezione Cisatracurium besylate 0.1 >> 5 mg/ml
Iniezione Buprenorphine hydrochloride 0.04 mg/ml
Glucosio 5% 299
Compatibile
Iniezione Cisatracurium besylate 0.1 >> 5 mg/ml
Iniezione Butorphanol tartrate 0.04 mg/ml
Glucosio 5% 299
Compatibile
Iniezione Cisatracurium besylate 0.1 >> 5 mg/ml
Iniezione Calcium gluconate 40 mg/ml
Glucosio 5% 299
Compatibile
Iniezione Cisatracurium besylate 1 mg/ml
Iniezione Calcium gluconate 20 mg/ml
Cloruro di sodio 0,9% 3429
Torbidità immediata Incompatibile
Iniezione Cisatracurium besylate 2 & 5 mg/ml
Iniezione Cefazolin sodium 20 mg/ml
Glucosio 5% 299
Compatibile
Iniezione Cisatracurium besylate 0.1 mg/ml
Iniezione Cefazolin sodium 20 mg/ml
Glucosio 5% 299
Compatibile
Iniezione Cisatracurium besylate 0.4 mg/ml
Iniezione Cefiderocol sulfate tosylate 20 mg/mL
Glucosio 5% 4528
Compatibile
Iniezione Cisatracurium besylate 0.4 mg/ml
Iniezione Cefiderocol sulfate tosylate 20 mg/mL
Cloruro di sodio 0,9% 4528
Precipitazioni immediate Incompatibile
Iniezione Cisatracurium besylate 0.1 >> 5 mg/ml
Iniezione Cefoperazone sodium 40 mg/ml
Glucosio 5% 299
Compatibile
Iniezione Cisatracurium besylate 0.1 >> 5 mg/ml
Iniezione Cefoperazone sodium 40 mg/ml
Glucosio 5% 299
Torbidità in 4 ore Incompatibile
Iniezione Cisatracurium besylate 2 mg/ml
Iniezione Cefotaxime sodium 20 mg/ml
Glucosio 5% 299
Torbidità immediata Incompatibile
Iniezione Cisatracurium besylate 5 mg/ml
Iniezione Cefotaxime sodium 20 mg/ml
Glucosio 5% 299
Compatibile
Iniezione Cisatracurium besylate 0.1 mg/ml
Iniezione Cefotaxime sodium 20 mg/ml
Glucosio 5% 299
Compatibile
Iniezione Cisatracurium besylate 0.1 mg/ml
Iniezione Cefoxitin sodium 20 mg/ml
Glucosio 5% 299
Torbidità immediata Incompatibile
Iniezione Cisatracurium besylate 2 & 5 mg/ml
Iniezione Cefoxitin sodium 20 mg/ml
Glucosio 5% 299
Compatibile
Iniezione Cisatracurium besylate 0,5 mg/ml
Iniezione Ceftaroline fosamil 2,22 mg/ml
Ringer lattato 3249
Compatibile
Iniezione Cisatracurium besylate 0,5 mg/ml
Iniezione Ceftaroline fosamil 2,22 mg/ml
Glucosio 5% 3249
Compatibile
Iniezione Cisatracurium besylate 0,5 mg/ml
Iniezione Ceftaroline fosamil 2,22 mg/ml
Cloruro di sodio 0,9% 3249
Torbidità immediata Incompatibile
Iniezione Cisatracurium besylate 5 mg/ml
Iniezione Ceftazidime 40 mg/ml
Glucosio 5% 299
Compatibile
Iniezione Cisatracurium besylate 0.1 & 2 mg/ml
Iniezione Ceftazidime 40 mg/ml
Glucosio 5% 299
Compatibile
Iniezione Cisatracurium besylate 0.1 & 2 mg/ml
Iniezione Ceftizoxime sodium 20 mg/ml
Glucosio 5% 299
Torbidità in un'ora Incompatibile
Iniezione Cisatracurium besylate 5 mg/ml
Iniezione Ceftizoxime sodium 20 mg/ml
Glucosio 5% 299
Precipitazioni immediate Incompatibile
Iniezione Cisatracurium besylate 0.5 mg/ml
Iniezione Ceftobiprole medocaril sodium 2 mg/ml
Cloruro di sodio 0,9% 2269
Precipitazioni immediate Incompatibile
Iniezione Cisatracurium besylate 0.5 mg/ml
Iniezione Ceftobiprole medocaril sodium 2 mg/ml
Ringer lattato 2269
Precipitazioni immediate Incompatibile
Iniezione Cisatracurium besylate 0.5 mg/ml
Iniezione Ceftobiprole medocaril sodium 2 mg/ml
Glucosio 5% 2269
Incompatibilità non specificata Incompatibile
Iniezione Cisatracurium besylate
Iniezione Ceftobiprole medocaril sodium
4650
Compatibile
Iniezione Cisatracurium besylate 0.4 mg/ml
Iniezione Ceftolozane / tazobactam 10/5 mg/ml
Glucosio 5% 3828
Compatibile
Iniezione Cisatracurium besylate 0.4 mg/ml
Iniezione Ceftolozane / tazobactam 10/5 mg/ml
Cloruro di sodio 0,9% 3828
Compatibile
Iniezione Cisatracurium besylate 0.1 >> 5 mg/ml
Iniezione Ceftriaxone disodium 20 mg/ml
Glucosio 5% 299
Precipitazioni immediate Incompatibile
Iniezione Cisatracurium besylate 2 & 5 mg/ml
Iniezione Cefuroxime sodium 30 mg/ml
Glucosio 5% 299
Compatibile
Iniezione Cisatracurium besylate 0.1 >> 5 mg/ml
Iniezione Chlorpromazine hydrochloride 2 mg/ml
Glucosio 5% 299
Compatibile
Iniezione Cisatracurium besylate 0.1 >> 5 mg/ml
Iniezione Cimetidine hydrochloride 12 mg/ml
Glucosio 5% 299
Compatibile
Iniezione Cisatracurium besylate 0.1 >> 5 mg/ml
Iniezione Ciprofloxacin lactate 1 mg/ml
Glucosio 5% 299
Compatibile
Iniezione Cisatracurium besylate 0.1 >> 5 mg/ml
Iniezione Clindamycin phosphate 10 mg/ml
Glucosio 5% 299
Compatibile
Iniezione Cisatracurium besylate 5 mg/ml
Iniezione Clonazepam 0.2 mg/ml
Cloruro di sodio 0,9% 3823
Compatibile
Iniezione Cisatracurium besylate 5 mg/ml
Iniezione Clonidine hydrochloride 0.012 mg/ml
Cloruro di sodio 0,9% 3823
Torbidità immediata Incompatibile
Iniezione Cisatracurium besylate 2 & 5 mg/ml
Iniezione Co-trimoxazole 0,8/4 mg/ml
Glucosio 5% 299
Compatibile
Iniezione Cisatracurium besylate 0.1 mg/ml
Iniezione Co-trimoxazole 0.8/4 mg/ml
Glucosio 5% 299
Compatibile
Iniezione Cisatracurium besylate 0.5 mg/ml
Iniezione Dexmedetomidine 4 µg/ml
Cloruro di sodio 0,9% 1712
Compatibile
Iniezione Cisatracurium besylate 0.1 >> 5 mg/ml
Iniezione Diazepam 0.25 mg/ml
Glucosio 5% 299
Precipitazioni immediate Incompatibile
Iniezione Cisatracurium besylate 0.1 >> 5 mg/ml
Iniezione Diazepam 5 mg/ml
Glucosio 5% 299
Incompatibilità non specificata Incompatibile
Iniezione Cisatracurium besylate 5 mg/ml
Iniezione Diclofenac 3 mg/ml
Cloruro di sodio 0,9% 3823
Compatibile
Iniezione Cisatracurium besylate 0.1 >> 5 mg/ml
Iniezione Digoxin 250 µg/ml
Glucosio 5% 299
Compatibile
Iniezione Cisatracurium besylate 1 mg/ml
Iniezione Diltiazem hydrochloride 1 mg/ml
Cloruro di sodio 0,9% 3429
Compatibile
Iniezione Cisatracurium besylate 0.1 >> 5 mg/ml
Iniezione Diphenhydramine hydrochloride 2 mg/ml
Glucosio 5% 299
Compatibile
Iniezione Cisatracurium besylate 0.1 >> 5 mg/ml
Iniezione Dobutamine hydrochloride 4 mg/ml
Glucosio 5% 299
Compatibile
Iniezione Cisatracurium besylate 0.1 >> 5 mg/ml
Iniezione Dopamine hydrochloride 3.2 mg/ml
Glucosio 5% 299
Compatibile
Iniezione Cisatracurium besylate 0.1 >> 5 mg/ml
Iniezione Doxycycline hyclate 1 mg/ml
Glucosio 5% 299
Compatibile
Iniezione Cisatracurium besylate
Iniezione Droperidol
3601
Compatibile
Iniezione Cisatracurium besylate 0.1 >> 5 mg/ml
Iniezione Droperidol 2.5 mg/ml
Glucosio 5% 299
Compatibile
Iniezione Cisatracurium besylate 0.1 >> 5 mg/ml
Iniezione Enalaprilate 0.1 mg/ml
Glucosio 5% 299
Compatibile
Iniezione Cisatracurium besylate 0.1 >> 5 mg/ml
Iniezione Epinephrine hydrochloride 50 µg/ml
Glucosio 5% 299
Compatibile
Iniezione Cisatracurium besylate 0,4 mg/ml
Iniezione Eravacycline 0,6 mg/ml
Cloruro di sodio 0,9% 4434
Compatibile
Iniezione Cisatracurium besylate 0.1 >> 5 mg/ml
Iniezione Esmolol hydrochloride 10 mg/ml
Glucosio 5% 299
Compatibile
Iniezione Cisatracurium besylate 0.4 mg/ml
Iniezione Fosfomycin 30 mg/ml
Glucosio 5% 4055
Torbidità immediata Incompatibile
Iniezione Cisatracurium besylate 5 mg/ml
NaHCO3 3823
Compatibile
Iniezione Cisatracurium besylate 5 mg/ml
Iniezione Esmolol hydrochloride 10 mg/ml
Cloruro di sodio 0,9% 3823
Compatibile
Iniezione Cisatracurium besylate 2 mg/ml
Iniezione Esmolol hydrochloride 10 mg/ml
Cloruro di sodio 0,9% 3879
Compatibile
Iniezione Cisatracurium besylate 1 mg/ml
Iniezione Esomeprazole sodium 0,4 mg/ml
Cloruro di sodio 0,9% 3429
Compatibile
Iniezione Cisatracurium besylate 0.1 >> 5 mg/ml
Iniezione Famotidine 2 mg/ml
Glucosio 5% 299
Compatibile
Iniezione Cisatracurium besylate 0.5 mg/ml
Iniezione Fenoldopam mesylate 80 µg/ml
Cloruro di sodio 0,9% 1803
Compatibile
Iniezione Cisatracurium besylate 0.1 >> 5 mg/ml
Iniezione Fentanyl citrate 12.5 µg/ml
Glucosio 5% 299
Compatibile
Iniezione Cisatracurium besylate
Iniezione Fentanyl citrate
3601
Compatibile
Iniezione Cisatracurium besylate 0.1 >> 5 mg/ml
Iniezione Fluconazole 2 mg/ml
Glucosio 5% 299
Compatibile
Iniezione Cisatracurium besylate 0.4 mg/ml
Iniezione Fosfomycin 30 mg/ml
Cloruro di sodio 0,9% 4055
Incompatibilità non specificata Incompatibile
Iniezione Cisatracurium besylate
Iniezione Furosemide
3465
Torbidità immediata Incompatibile
Iniezione Cisatracurium besylate 2 & 5 mg/ml
NaHCO3 299
Precipitazioni immediate Incompatibile
Iniezione Cisatracurium besylate 5 mg/ml
Iniezione Furosemide 10 mg/ml
Cloruro di sodio 0,9% 3463
Compatibile
Iniezione Cisatracurium besylate 0.1 mg/ml
Iniezione Furosemide 3 mg/ml
Glucosio 5% 299
Incompatibilità non specificata Incompatibile
Iniezione Cisatracurium besylate 5 mg/ml
Iniezione Furosemide 10 mg/ml
Cloruro di sodio 0,9% 3823
Precipitazioni immediate Incompatibile
Iniezione Cisatracurium besylate 5 mg/ml
Iniezione Ganciclovir sodium 20 mg/ml
Glucosio 5% 299
Incompatibilità non specificata Incompatibile
Iniezione Cisatracurium besylate
NaHCO3 3466
Compatibile
Iniezione Cisatracurium besylate 0.1 & 2 mg/ml
Iniezione Ganciclovir sodium 20 mg/ml
Glucosio 5% 299
Incompatibilità non specificata Incompatibile
Iniezione Cisatracurium besylate
NaHCO3 3601
Precipitazioni immediate Incompatibile
Iniezione Cisatracurium besylate 2 & 5 mg/ml
Iniezione Furosemide 3 mg/ml
Glucosio 5% 299
Incompatibilità non specificata Incompatibile
Iniezione Cisatracurium besylate 5 mg/ml
Iniezione Furosemide 10 mg/ml
Nessuno 3134
Compatibile
Iniezione Cisatracurium besylate 0.1 >> 5 mg/ml
Iniezione Gentamicin sulfate 5 mg/ml
Glucosio 5% 299
Compatibile
Iniezione Cisatracurium besylate 0.1 >> 5 mg/ml
Iniezione Haloperidol lactate 0.2 mg/ml
Glucosio 5% 299
Precipitazioni immediate Incompatibile
Iniezione Cisatracurium besylate 5 mg/ml
Iniezione Heparin sodium 100 UI/ml
Glucosio 5% 299
Instabilità dell'emulsione dopo 4 ore Incompatibile
Iniezione Cisatracurium besylate 2 mg/ml
Nutrizione parenterale (con lipidi) 4507
Incompatibilità non specificata Incompatibile
Iniezione Cisatracurium besylate
Ringer lattato 3601
Cambio di colore Incompatibile
Iniezione Cisatracurium besylate 5 mg/ml
Iniezione Heparin sodium 500 UI/ml
Cloruro di sodio 0,9% 3463
Compatibile
Iniezione Cisatracurium besylate 0.1 & 2 mg/ml
Iniezione Heparin sodium 100 UI/ml
Glucosio 5% 299
Incompatibilità non specificata Incompatibile
Iniezione Cisatracurium besylate 5 mg/ml
Iniezione Heparin sodium 500 UI/ml
Cloruro di sodio 0,9% 3823
Compatibile
Iniezione Cisatracurium besylate
Glucosio 5% 3601
Incompatibilità non specificata Incompatibile
Iniezione Cisatracurium besylate
Iniezione Heparin sodium
3540
Compatibile
Iniezione Cisatracurium besylate 0.5 mg/ml
Iniezione Hetastarch 60 mg/ml
solvente specifico 1721
Compatibile
Iniezione Cisatracurium besylate 0.1 >> 5 mg/ml
Iniezione Hydrocortisone sodium succinate 1 mg/ml
Glucosio 5% 299
Compatibile
Iniezione Cisatracurium besylate 2 mg/ml
Iniezione Hydrocortisone sodium succinate 1 mg/ml
Cloruro di sodio 0,9% 4465
Compatibile
Iniezione Cisatracurium besylate 0.1 >> 5 mg/ml
Iniezione Hydromorphone hydrochloride 0.5 mg/ml
Glucosio 5% 299
Compatibile
Iniezione Cisatracurium besylate 0.1 >> 5 mg/ml
Iniezione Hydroxyzine dihydrochloride 2 mg/ml
Glucosio 5% 299
Compatibile
Iniezione Cisatracurium besylate 0.1 >> 5 mg/ml
Iniezione Imipenem - cilastatin sodium 10 mg/ml
Glucosio 5% 299
Compatibile
Iniezione Cisatracurium besylate 0,4 mg/ml
Iniezione Imipenem-Cilastatin / Relebactam 5 mg/ml
Cloruro di sodio 0,9% 4433
Compatibile
Iniezione Cisatracurium besylate 0,4 mg/ml
Iniezione Imipenem-Cilastatin / Relebactam 5 mg/ml
Glucosio 5% 4433
Compatibile
Iniezione Cisatracurium besylate 1 mg/ml
Iniezione Insulin 1 UI/ml
Cloruro di sodio 0,9% 3429
Compatibile
Iniezione Cisatracurium besylate 5 mg/ml
Iniezione Insulin 2 UI/ml
Cloruro di sodio 0,9% 3823
Compatibile
Iniezione Cisatracurium besylate 0.4 mg/ml
Iniezione Isavuconazonium sulfate 1.5 mg/ml
Cloruro di sodio 0,9% 3829
Compatibile
Iniezione Cisatracurium besylate 0.4 mg/ml
Iniezione Isavuconazonium sulfate 1.5 mg/ml
Glucosio 5% 3829
Compatibile
Iniezione Cisatracurium besylate 0.1 >> 5 mg/ml
Iniezione Isoprenaline hydrochloride 0.02 mg/ml
Glucosio 5% 299
Compatibile
Iniezione Cisatracurium besylate 0.1 >> 5 mg/ml
Iniezione Ketorolac tromethamine 15 mg/ml
Glucosio 5% 299
Incompatibilità non specificata Incompatibile
Iniezione Cisatracurium besylate
Iniezione Ketorolac tromethamine
3601
Compatibile
Iniezione Cisatracurium besylate 0.1 >> 5 mg/ml
Iniezione Lorazepam 0.5 mg/ml
Glucosio 5% 299
Compatibile
Iniezione Cisatracurium besylate 0.1 >> 5 mg/ml
Iniezione Magnesium sulfate 100 mg/ml
Glucosio 5% 299
Compatibile
Iniezione Cisatracurium besylate 0.1 >> 5 mg/ml
Iniezione Mannitol 150 mg/ml
Glucosio 5% 299
Compatibile
Iniezione Cisatracurium besylate
Cloruro di sodio 0,9% 3601
Compatibile
Iniezione Cisatracurium besylate 2 mg/ml
Iniezione Labetalol hydrochloride 5 mg/ml
Cloruro di sodio 0,9% 3879
Compatibile
Iniezione Cisatracurium besylate 1 mg/ml
Iniezione Levetiracetam 5 mg/ml
Cloruro di sodio 0,9% 4569
Compatibile
Iniezione Cisatracurium besylate 0.1 >> 5 mg/ml
Iniezione Lidocaine hydrochloride 8 mg/ml
Glucosio 5% 299
Compatibile
Iniezione Cisatracurium besylate 2 mg/ml
Iniezione Linezolid 2 mg/ml
Nessuno 1925
Compatibile
Iniezione Cisatracurium besylate 0.1 mg/ml
Iniezione Methylprednisolone sodium succinate 5 mg/ml
Glucosio 5% 299
Torbidità immediata Incompatibile
Iniezione Cisatracurium besylate 2 & 5 mg/ml
Iniezione Methylprednisolone sodium succinate 5 mg/ml
Glucosio 5% 299
Compatibile
Iniezione Cisatracurium besylate 0.1 >> 5 mg/ml
Iniezione Metoclopramide hydrochloride 5 mg/ml
Glucosio 5% 299
Compatibile
Iniezione Cisatracurium besylate 2 mg/ml
Iniezione Metoprolol tartrate 0.4 mg/ml
Cloruro di sodio 0,9% 3879
Compatibile
Iniezione Cisatracurium besylate 0.1 >> 5 mg/ml
Iniezione Metronidazole 5 mg/ml
Glucosio 5% 299
Precipitazioni immediate Incompatibile
Iniezione Cisatracurium besylate 0.5 mg/ml
Iniezione Micafungin 1.5 mg/ml
Cloruro di sodio 0,9% 2108
Compatibile
Iniezione Cisatracurium besylate
Iniezione Midazolam hydrochloride
3601
Compatibile
Iniezione Cisatracurium besylate 5 mg/ml
Iniezione Midazolam hydrochloride 2.1 mg/ml
Cloruro di sodio 0,9% 3823
Compatibile
Iniezione Cisatracurium besylate 0.1 >> 5 mg/ml
Iniezione Midazolam hydrochloride 1 mg/ml
Glucosio 5% 299
Compatibile
Iniezione Cisatracurium besylate 0.1 >> 5 mg/ml
Iniezione Minocycline hydrochloride 0.2 mg/ml
Glucosio 5% 299
Compatibile
Iniezione Cisatracurium besylate 0.1 >> 5 mg/ml
Iniezione Morphine sulfate 1 mg/ml
Glucosio 5% 299
Compatibile
Iniezione Cisatracurium besylate 0.1 >> 5 mg/ml
Iniezione Nalbuphine hydrochloride 10 mg/ml
Glucosio 5% 299
Compatibile
Iniezione Cisatracurium besylate 0.1 >> 5 mg/ml
Iniezione Netilmicin sulfate 5 mg/ml
Glucosio 5% 299
Compatibile
Iniezione Cisatracurium besylate 1 mg/ml
Iniezione Nicardipine hydrochloride 0,5 mg/ml
Cloruro di sodio 0,9% 3429
Compatibile
Iniezione Cisatracurium besylate 5 mg/ml
Iniezione Nimodipine 0.2 mg/ml
Cloruro di sodio 0,9% 3823
Compatibile
Iniezione Cisatracurium besylate 0.1 >> 5 mg/ml
Iniezione Nitroglycerin 0.4 mg/ml
Glucosio 5% 299
Compatibile
Iniezione Cisatracurium besylate 5 mg/ml
Iniezione Nitroglycerin 0.2 mg/ml
Glucosio 5% 3823
Precipitazioni immediate Incompatibile
Iniezione Cisatracurium besylate 2 & 5 mg/ml
Iniezione Nitroprusside sodium 2 mg/ml
Glucosio 5% 299
Compatibile
Iniezione Cisatracurium besylate 0.1 mg/ml
Iniezione Nitroprusside sodium 2 mg/ml
Glucosio 5% 299
Compatibile
Iniezione Cisatracurium besylate 0.1 >> 5 mg/ml
Iniezione Norepinephrine bitartrate 0.12 mg/ml
Glucosio 5% 299
Compatibile
Iniezione Cisatracurium besylate 0.1 >> 5 mg/ml
Iniezione Ofloxacin 4 mg/ml
Glucosio 5% 299
Compatibile
Iniezione Cisatracurium besylate 5 mg/ml
Iniezione Omeprazole sodium 1.6 mg/ml
Cloruro di sodio 0,9% 3823
Compatibile
Iniezione Cisatracurium besylate 0.1 >> 5 mg/ml
Iniezione Ondansetron hydrochloride 1 mg/ml
Glucosio 5% 299
Compatibile
Iniezione Cisatracurium besylate 0,5 mg/ml
Iniezione Palonosetron hydrochloride 50 µg/ml
Glucosio 5% 2227
Torbidità in un'ora Incompatibile
Iniezione Cisatracurium besylate 1 mg/ml
Iniezione Pantoprazole sodium 0,8 mg/ml
Cloruro di sodio 0,9% 3429
Compatibile
Iniezione Cisatracurium besylate 0.1 >> 5 mg/ml
Iniezione Pethidine hydrochloride 4 mg/ml
Glucosio 5% 299
Compatibile
Iniezione Cisatracurium besylate 0.1 >> 5 mg/ml
Iniezione Phenylephrine hydrochloride 1 mg/ml
Glucosio 5% 299
Compatibile
Iniezione Cisatracurium besylate 0.1 mg/ml
Iniezione Piperacillin sodium 40 mg/ml
Glucosio 5% 299
Torbidità immediata Incompatibile
Iniezione Cisatracurium besylate 2 & 5 mg/ml
Iniezione Piperacillin sodium 40 mg/ml
Glucosio 5% 299
Compatibile
Iniezione Cisatracurium besylate 0.1 & 2 mg/ml
Iniezione Piperacillin sodium / tazobactam 40/5 mg/ml
Glucosio 5% 299
Precipitazioni dopo 4 ore Incompatibile
Iniezione Cisatracurium besylate 5 mg/ml
Iniezione Piperacillin sodium / tazobactam 40/5 mg/ml
Glucosio 5% 299
Compatibile
Iniezione Cisatracurium besylate 0.4 mg/ml
Iniezione Plazomicin sulfate 24 mg/ml
Cloruro di sodio 0,9% 4145
Compatibile
Iniezione Cisatracurium besylate 0.1 >> 5 mg/ml
Iniezione Potassium chloride 100 mEq/l
Glucosio 5% 299
Compatibile
Iniezione Cisatracurium besylate 5 mg/ml
Iniezione Potassium chloride 10 mEq/l
Cloruro di sodio 0,9% 3823
Compatibile
Iniezione Cisatracurium besylate 0.1 >> 5 mg/ml
Iniezione Procainamide hydrochloride 10 mg/ml
Glucosio 5% 299
Compatibile
Iniezione Cisatracurium besylate 0.1 >> 5 mg/ml
Iniezione Prochlorperazine edysilate 0.5 mg/ml
Glucosio 5% 299
Compatibile
Iniezione Cisatracurium besylate 0.1 >> 5 mg/ml
Iniezione Promethazine hydrochloride 2 mg/ml
Glucosio 5% 299
Incompatibilità non specificata Incompatibile
Iniezione Cisatracurium besylate
Iniezione Propofol
3601
Compatibile
Iniezione Cisatracurium besylate 0.1 >> 5 mg/ml
Iniezione Ranitidine hydrochloride 2 mg/ml
Glucosio 5% 299
Compatibile
Iniezione Cisatracurium besylate 5 mg/ml
Iniezione Remifentanil hydrochloride 100 µg/ml
Cloruro di sodio 0,9% 3823
Compatibile
Iniezione Cisatracurium besylate 2 mg/ml
Iniezione Remifentanil hydrochloride 25 & 250 µg/ml
Cloruro di sodio 0,9% 59
Incompatibilità non specificata Incompatibile
Iniezione Cisatracurium besylate
Iniezione Sodium bicarbonate
3466
Torbidità in un'ora Incompatibile
Iniezione Cisatracurium besylate 2 mg/ml
Iniezione Sodium bicarbonate 84 mg/ml
Glucosio 5% 299
Incompatibilità non specificata Incompatibile
Iniezione Cisatracurium besylate
Iniezione Sodium bicarbonate
3601
Compatibile
Iniezione Cisatracurium besylate 0.1 mg/ml
Iniezione Sodium bicarbonate 84 mg/ml
Glucosio 5% 299
Torbidità immediata Incompatibile
Iniezione Cisatracurium besylate 5 mg/ml
Iniezione Sodium bicarbonate 84 mg/ml
Glucosio 5% 299
Torbidità in 2 ore Incompatibile
Iniezione Cisatracurium besylate 5 mg/ml
Iniezione Sodium bicarbonate 84 mg/ml
Nessuno 3212
Compatibile
Iniezione Cisatracurium besylate 0.1 >> 5 mg/ml
Iniezione Sufentanil citrate 0.0125 mg/ml
Glucosio 5% 299
Compatibile
Iniezione Cisatracurium besylate
Iniezione Sufentanil citrate
3601
Compatibile
Iniezione Cisatracurium besylate 0,4 mg/ml
Iniezione Sulbactam/durlobactam 15/15 mg/ml
Cloruro di sodio 0,9% 4801
Compatibile
Iniezione Cisatracurium besylate 0.4 mg/ml
Iniezione Tedizolid phosphate 0.8 mg/ml
Cloruro di sodio 0,9% 3827
Compatibile
Iniezione Cisatracurium besylate 0.1 >> 5 mg/ml
Iniezione Theophylline 3.2 mg/ml
Glucosio 5% 299
Incompatibilità non specificata Incompatibile
Iniezione Cisatracurium besylate
Iniezione Thiopental sodium
3601
Compatibile
Iniezione Cisatracurium besylate 0.1 mg/ml
Iniezione Thiopental sodium 25 mg/ml
Glucosio 5% 299
Incompatibilità non specificata Incompatibile
Iniezione Cisatracurium besylate 5 mg/ml
Iniezione Thiopental sodium 60 mg/ml
Cloruro di sodio 0,9% 3823
Precipitazioni immediate Incompatibile
Iniezione Cisatracurium besylate 2 & 5 mg/ml
Iniezione Thiopental sodium 25 mg/ml
Glucosio 5% 299
Compatibile
Iniezione Cisatracurium besylate 0.1 & 2 mg/ml
Iniezione Ticarcillin / clavulanic acid 30 mg/ml
Glucosio 5% 299
Torbidità immediata Incompatibile
Iniezione Cisatracurium besylate 5 mg/ml
Iniezione Ticarcillin / clavulanic acid 30 mg/ml
Glucosio 5% 299
Compatibile
Iniezione Cisatracurium besylate 0.1 >> 5 mg/ml
Iniezione Tobramycin sulfate 5 mg/ml
Glucosio 5% 299
Compatibile
Iniezione Cisatracurium besylate 0.1 >> 5 mg/ml
Iniezione Vancomycin hydrochloride 10 mg/ml
Glucosio 5% 299
Compatibile
Iniezione Cisatracurium besylate 1 mg/ml
Iniezione Vasopressin 1 UI/ml
Cloruro di sodio 0,9% 3429
Compatibile
Iniezione Cisatracurium besylate 0.1 >> 5 mg/ml
Iniezione Zidovudine 4 mg/ml
Glucosio 5% 299

  Mentions Légales