Ostatnia aktualizacja :
18/03/2026
Lek kuraropodobny   Cisatracurium besylate  
Injekcje
Trwałość roztworów Trwałość w mieszaninie Czynnik wpływający na trwałość Zgodność Sposób podania Bibliografia pdf
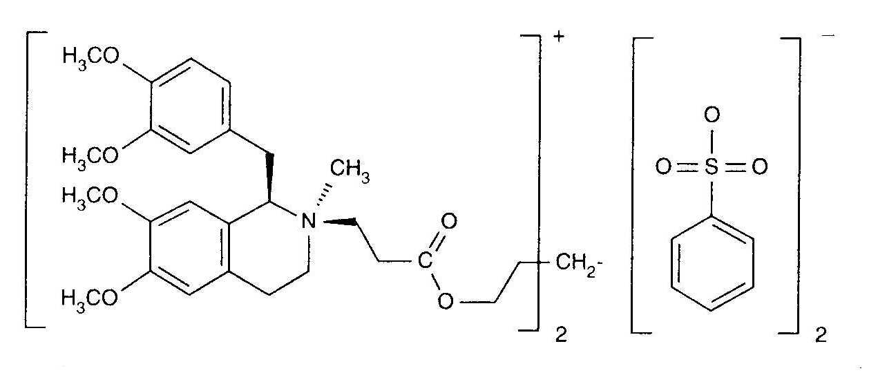
   Struktura chemiczna  

Nazwa handlowa   Nazwa handlowa     

Trade names are indicative and excipients composition can be different depending on the country and manufacturers

Bensitrak Meksyk
Besilato de cisatracurio
Cicuryl Meksyk
Cirium KolumbiaKolumbia
Cis Atracure
Cisatracurio Brazylia, Chile, Ekwador, Hiszpania, KolumbiaKolumbia, Peru, Włochy
Cisatracurium Belgia, Finlandia, Francja , Irlandia, Kanada, Niemcy, Tunisie, Węgry, Wielka Brytania
Nimbex Arabia Saudyjska, Austria, Belgia, Chile, Dania, Egipt, Ekwador, Finlandia, Francja , Grecja, Hiszpania, Holandia, Iran, Irlandia, Kanada, Luksemburg, Malezja, Meksyk, Niemcy, Norwegia, Peru, Polska, Portugalia, Stany Zjednoczone Ameryki, Szwecja, Słowenia, Tunisie, Turcja, Węgry, Wenezuela, Wielka Brytania, Włochy, Zjednoczone Emiraty Arabskie
Nimbium Brazylia, KolumbiaKolumbia
Zgodność   Injekcje   Zgodność : Cisatracurium besylate              
Ekran ten wskazuje na kompatybilności lub niezgodności z, w tym przypadku, rodzajem niezgodności (strącanie, zmiana koloru, modyfikacja emulsji, itp.). Przedstawione tutaj kompatybilności są głównie fizyczne, a stabilność chemiczna każdej cząsteczki jest rzadko oceniana. Ocenę tych mieszanin badano w celu rozważenia możliwości podania pacjentowi w miejscu Y. Dane te nie mogą być wykorzystywane do sporządzania mieszanin z wyprzedzeniem w workach lub strzykawkach. Tego typu informacje są dostępne na ekranie „Stabilność w mieszaninie”.
Związek Rozpuszczalnik Bibliografia
Natychmiastowe opady Niekompatybilny
Injekcje Cisatracurium besylate 5 mg/ml
Injekcje Aciclovir sodium 7 mg/ml
Glukoza 5% 299
Zgodny
Injekcje Cisatracurium besylate 0.1 & 2 mg/ml
Injekcje Aciclovir sodium 7 mg/ml
Glukoza 5% 299
Zgodny
Injekcje Cisatracurium besylate
Injekcje Alfentanil hydrochloride
3601
Zgodny
Injekcje Cisatracurium besylate 0.1 >> 5 mg/ml
Injekcje Alfentanil hydrochloride 125 µg/ml
Glukoza 5% 299
Natychmiastowe opady Niekompatybilny
Injekcje Cisatracurium besylate 1,2 mg/ml
Injekcje Alprostadil 20 µg/ml
Glukoza 5% 4651
Natychmiastowe opady Niekompatybilny
Injekcje Cisatracurium besylate 1,2 mg/ml
Injekcje Alprostadil 20 µg/ml
Glukoza 5% 4491
Zgodny
Injekcje Cisatracurium besylate 0.1 >> 5 mg/ml
Injekcje Amikacin sulfate 5 mg/ml
Glukoza 5% 299
Zgodny
Injekcje Cisatracurium besylate 0.1 & 2 mg/ml
Injekcje Aminophylline 2.5 mg/ml
Glukoza 5% 299
Zmętnienie w ciągu godziny Niekompatybilny
Injekcje Cisatracurium besylate 5 mg/ml
Injekcje Aminophylline 2.5 mg/ml
Glukoza 5% 299
Zgodny
Injekcje Cisatracurium besylate
Injekcje Amiodarone hydrochloride
3464
Zgodny
Injekcje Cisatracurium besylate 5 mg/ml
Injekcje Amiodarone hydrochloride 15 mg/ml
Glukoza 5% 3823
Zgodny
Injekcje Cisatracurium besylate 0.1 mg/ml
Injekcje Amphotericin B 0.6 mg/ml
Glukoza 5% 299
Natychmiastowe opady Niekompatybilny
Injekcje Cisatracurium besylate 2 & 5 mg/ml
Injekcje Amphotericin B 0.6 mg/ml
Glukoza 5% 299
Natychmiastowe opady Niekompatybilny
Injekcje Cisatracurium besylate 2 mg/ml
Injekcje Amphotericin B cholesteryl sulfate complex 0.83 mg/ml
Glukoza 5% 921
Zmętnienie w ciągu godziny Niekompatybilny
Injekcje Cisatracurium besylate 5 mg/ml
Injekcje Ampicillin sodium 20 mg/ml
Chlorek sodu 0,9% 299
Zgodny
Injekcje Cisatracurium besylate 0.1 & 2 mg/ml
Injekcje Ampicillin sodium 20 mg/ml
Glukoza 5% 299
Zmętnienie w ciągu godziny Niekompatybilny
Injekcje Cisatracurium besylate 5 mg/ml
Injekcje Ampicillin sodium 20 mg/ml
Glukoza 5% 299
Natychmiastowe zmętnienie Niekompatybilny
Injekcje Cisatracurium besylate 5 mg/ml
Injekcje Ampicillin sodium - sulbactam sodium 20/10 mg/ml
Glukoza 5% 299
Natychmiastowe zmętnienie Niekompatybilny
Injekcje Cisatracurium besylate 5 mg/ml
Injekcje Ampicillin sodium - sulbactam sodium 20/10 mg/ml
Chlorek sodu 0,9% 299
Zgodny
Injekcje Cisatracurium besylate 0.1 & 2 mg/ml
Injekcje Ampicillin sodium - sulbactam sodium 20/10 mg/ml
Glukoza 5% 299
Zgodny
Injekcje Cisatracurium besylate 0.1 >> 5 mg/ml
Injekcje Aztreonam 40 mg/ml
Glukoza 5% 299
Zgodny
Injekcje Cisatracurium besylate 0.1 >> 5 mg/ml
Injekcje Bumetanide 0.04 mg/ml
Glukoza 5% 299
Zgodny
Injekcje Cisatracurium besylate 0.1 >> 5 mg/ml
Injekcje Buprenorphine hydrochloride 0.04 mg/ml
Glukoza 5% 299
Zgodny
Injekcje Cisatracurium besylate 0.1 >> 5 mg/ml
Injekcje Butorphanol tartrate 0.04 mg/ml
Glukoza 5% 299
Zgodny
Injekcje Cisatracurium besylate 0.1 >> 5 mg/ml
Injekcje Calcium gluconate 40 mg/ml
Glukoza 5% 299
Zgodny
Injekcje Cisatracurium besylate 1 mg/ml
Injekcje Calcium gluconate 20 mg/ml
Chlorek sodu 0,9% 3429
Natychmiastowe zmętnienie Niekompatybilny
Injekcje Cisatracurium besylate 2 & 5 mg/ml
Injekcje Cefazolin sodium 20 mg/ml
Glukoza 5% 299
Zgodny
Injekcje Cisatracurium besylate 0.1 mg/ml
Injekcje Cefazolin sodium 20 mg/ml
Glukoza 5% 299
Zgodny
Injekcje Cisatracurium besylate 0.4 mg/ml
Injekcje Cefiderocol sulfate tosylate 20 mg/mL
Glukoza 5% 4528
Zgodny
Injekcje Cisatracurium besylate 0.4 mg/ml
Injekcje Cefiderocol sulfate tosylate 20 mg/mL
Chlorek sodu 0,9% 4528
Natychmiastowe opady Niekompatybilny
Injekcje Cisatracurium besylate 0.1 >> 5 mg/ml
Injekcje Cefoperazone sodium 40 mg/ml
Glukoza 5% 299
Zgodny
Injekcje Cisatracurium besylate 0.1 >> 5 mg/ml
Injekcje Cefoperazone sodium 40 mg/ml
Glukoza 5% 299
Zmętnienie w 4 godziny Niekompatybilny
Injekcje Cisatracurium besylate 2 mg/ml
Injekcje Cefotaxime sodium 20 mg/ml
Glukoza 5% 299
Natychmiastowe zmętnienie Niekompatybilny
Injekcje Cisatracurium besylate 5 mg/ml
Injekcje Cefotaxime sodium 20 mg/ml
Glukoza 5% 299
Zgodny
Injekcje Cisatracurium besylate 0.1 mg/ml
Injekcje Cefotaxime sodium 20 mg/ml
Glukoza 5% 299
Zgodny
Injekcje Cisatracurium besylate 0.1 mg/ml
Injekcje Cefoxitin sodium 20 mg/ml
Glukoza 5% 299
Natychmiastowe zmętnienie Niekompatybilny
Injekcje Cisatracurium besylate 2 & 5 mg/ml
Injekcje Cefoxitin sodium 20 mg/ml
Glukoza 5% 299
Zgodny
Injekcje Cisatracurium besylate 0,5 mg/ml
Injekcje Ceftaroline fosamil 2,22 mg/ml
Roztwór Ringera z mleczanem sodowym 3249
Zgodny
Injekcje Cisatracurium besylate 0,5 mg/ml
Injekcje Ceftaroline fosamil 2,22 mg/ml
Glukoza 5% 3249
Zgodny
Injekcje Cisatracurium besylate 0,5 mg/ml
Injekcje Ceftaroline fosamil 2,22 mg/ml
Chlorek sodu 0,9% 3249
Natychmiastowe zmętnienie Niekompatybilny
Injekcje Cisatracurium besylate 5 mg/ml
Injekcje Ceftazidime 40 mg/ml
Glukoza 5% 299
Zgodny
Injekcje Cisatracurium besylate 0.1 & 2 mg/ml
Injekcje Ceftazidime 40 mg/ml
Glukoza 5% 299
Zgodny
Injekcje Cisatracurium besylate 0.1 & 2 mg/ml
Injekcje Ceftizoxime sodium 20 mg/ml
Glukoza 5% 299
Zmętnienie w ciągu godziny Niekompatybilny
Injekcje Cisatracurium besylate 5 mg/ml
Injekcje Ceftizoxime sodium 20 mg/ml
Glukoza 5% 299
Natychmiastowe opady Niekompatybilny
Injekcje Cisatracurium besylate 0.5 mg/ml
Injekcje Ceftobiprole medocaril sodium 2 mg/ml
Chlorek sodu 0,9% 2269
Natychmiastowe opady Niekompatybilny
Injekcje Cisatracurium besylate 0.5 mg/ml
Injekcje Ceftobiprole medocaril sodium 2 mg/ml
Roztwór Ringera z mleczanem sodowym 2269
Natychmiastowe opady Niekompatybilny
Injekcje Cisatracurium besylate 0.5 mg/ml
Injekcje Ceftobiprole medocaril sodium 2 mg/ml
Glukoza 5% 2269
Nieokreślona niezgodność Niekompatybilny
Injekcje Cisatracurium besylate
Injekcje Ceftobiprole medocaril sodium
4650
Zgodny
Injekcje Cisatracurium besylate 0.4 mg/ml
Injekcje Ceftolozane / tazobactam 10/5 mg/ml
Glukoza 5% 3828
Zgodny
Injekcje Cisatracurium besylate 0.4 mg/ml
Injekcje Ceftolozane / tazobactam 10/5 mg/ml
Chlorek sodu 0,9% 3828
Zgodny
Injekcje Cisatracurium besylate 0.1 >> 5 mg/ml
Injekcje Ceftriaxone disodium 20 mg/ml
Glukoza 5% 299
Natychmiastowe opady Niekompatybilny
Injekcje Cisatracurium besylate 2 & 5 mg/ml
Injekcje Cefuroxime sodium 30 mg/ml
Glukoza 5% 299
Zgodny
Injekcje Cisatracurium besylate 0.1 >> 5 mg/ml
Injekcje Chlorpromazine hydrochloride 2 mg/ml
Glukoza 5% 299
Zgodny
Injekcje Cisatracurium besylate 0.1 >> 5 mg/ml
Injekcje Cimetidine hydrochloride 12 mg/ml
Glukoza 5% 299
Zgodny
Injekcje Cisatracurium besylate 0.1 >> 5 mg/ml
Injekcje Ciprofloxacin lactate 1 mg/ml
Glukoza 5% 299
Zgodny
Injekcje Cisatracurium besylate 0.1 >> 5 mg/ml
Injekcje Clindamycin phosphate 10 mg/ml
Glukoza 5% 299
Zgodny
Injekcje Cisatracurium besylate 5 mg/ml
Injekcje Clonazepam 0.2 mg/ml
Chlorek sodu 0,9% 3823
Zgodny
Injekcje Cisatracurium besylate 5 mg/ml
Injekcje Clonidine hydrochloride 0.012 mg/ml
Chlorek sodu 0,9% 3823
Natychmiastowe zmętnienie Niekompatybilny
Injekcje Cisatracurium besylate 2 & 5 mg/ml
Injekcje Co-trimoxazole 0,8/4 mg/ml
Glukoza 5% 299
Zgodny
Injekcje Cisatracurium besylate 0.1 mg/ml
Injekcje Co-trimoxazole 0.8/4 mg/ml
Glukoza 5% 299
Zgodny
Injekcje Cisatracurium besylate 0.5 mg/ml
Injekcje Dexmedetomidine 4 µg/ml
Chlorek sodu 0,9% 1712
Zgodny
Injekcje Cisatracurium besylate 0.1 >> 5 mg/ml
Injekcje Diazepam 0.25 mg/ml
Glukoza 5% 299
Natychmiastowe opady Niekompatybilny
Injekcje Cisatracurium besylate 0.1 >> 5 mg/ml
Injekcje Diazepam 5 mg/ml
Glukoza 5% 299
Nieokreślona niezgodność Niekompatybilny
Injekcje Cisatracurium besylate 5 mg/ml
Injekcje Diclofenac 3 mg/ml
Chlorek sodu 0,9% 3823
Zgodny
Injekcje Cisatracurium besylate 0.1 >> 5 mg/ml
Injekcje Digoxin 250 µg/ml
Glukoza 5% 299
Zgodny
Injekcje Cisatracurium besylate 1 mg/ml
Injekcje Diltiazem hydrochloride 1 mg/ml
Chlorek sodu 0,9% 3429
Zgodny
Injekcje Cisatracurium besylate 0.1 >> 5 mg/ml
Injekcje Diphenhydramine hydrochloride 2 mg/ml
Glukoza 5% 299
Zgodny
Injekcje Cisatracurium besylate 0.1 >> 5 mg/ml
Injekcje Dobutamine hydrochloride 4 mg/ml
Glukoza 5% 299
Zgodny
Injekcje Cisatracurium besylate 0.1 >> 5 mg/ml
Injekcje Dopamine hydrochloride 3.2 mg/ml
Glukoza 5% 299
Zgodny
Injekcje Cisatracurium besylate 0.1 >> 5 mg/ml
Injekcje Doxycycline hyclate 1 mg/ml
Glukoza 5% 299
Zgodny
Injekcje Cisatracurium besylate
Injekcje Droperidol
3601
Zgodny
Injekcje Cisatracurium besylate 0.1 >> 5 mg/ml
Injekcje Droperidol 2.5 mg/ml
Glukoza 5% 299
Zgodny
Injekcje Cisatracurium besylate 0.1 >> 5 mg/ml
Injekcje Enalaprilate 0.1 mg/ml
Glukoza 5% 299
Zgodny
Injekcje Cisatracurium besylate 0.1 >> 5 mg/ml
Injekcje Epinephrine hydrochloride 50 µg/ml
Glukoza 5% 299
Zgodny
Injekcje Cisatracurium besylate 0,4 mg/ml
Injekcje Eravacycline 0,6 mg/ml
Chlorek sodu 0,9% 4434
Zgodny
Injekcje Cisatracurium besylate 0.1 >> 5 mg/ml
Injekcje Esmolol hydrochloride 10 mg/ml
Glukoza 5% 299
Zgodny
Injekcje Cisatracurium besylate 0.4 mg/ml
Injekcje Fosfomycin 30 mg/ml
Glukoza 5% 4055
Natychmiastowe zmętnienie Niekompatybilny
Injekcje Cisatracurium besylate 5 mg/ml
NaHCO3 3823
Zgodny
Injekcje Cisatracurium besylate 5 mg/ml
Injekcje Esmolol hydrochloride 10 mg/ml
Chlorek sodu 0,9% 3823
Zgodny
Injekcje Cisatracurium besylate 2 mg/ml
Injekcje Esmolol hydrochloride 10 mg/ml
Chlorek sodu 0,9% 3879
Zgodny
Injekcje Cisatracurium besylate 1 mg/ml
Injekcje Esomeprazole sodium 0,4 mg/ml
Chlorek sodu 0,9% 3429
Zgodny
Injekcje Cisatracurium besylate 0.1 >> 5 mg/ml
Injekcje Famotidine 2 mg/ml
Glukoza 5% 299
Zgodny
Injekcje Cisatracurium besylate 0.5 mg/ml
Injekcje Fenoldopam mesylate 80 µg/ml
Chlorek sodu 0,9% 1803
Zgodny
Injekcje Cisatracurium besylate 0.1 >> 5 mg/ml
Injekcje Fentanyl citrate 12.5 µg/ml
Glukoza 5% 299
Zgodny
Injekcje Cisatracurium besylate
Injekcje Fentanyl citrate
3601
Zgodny
Injekcje Cisatracurium besylate 0.1 >> 5 mg/ml
Injekcje Fluconazole 2 mg/ml
Glukoza 5% 299
Zgodny
Injekcje Cisatracurium besylate 0.4 mg/ml
Injekcje Fosfomycin 30 mg/ml
Chlorek sodu 0,9% 4055
Nieokreślona niezgodność Niekompatybilny
Injekcje Cisatracurium besylate
Injekcje Furosemide
3465
Natychmiastowe zmętnienie Niekompatybilny
Injekcje Cisatracurium besylate 2 & 5 mg/ml
NaHCO3 299
Natychmiastowe opady Niekompatybilny
Injekcje Cisatracurium besylate 5 mg/ml
Injekcje Furosemide 10 mg/ml
Chlorek sodu 0,9% 3463
Zgodny
Injekcje Cisatracurium besylate 0.1 mg/ml
Injekcje Furosemide 3 mg/ml
Glukoza 5% 299
Nieokreślona niezgodność Niekompatybilny
Injekcje Cisatracurium besylate 5 mg/ml
Injekcje Furosemide 10 mg/ml
Chlorek sodu 0,9% 3823
Natychmiastowe opady Niekompatybilny
Injekcje Cisatracurium besylate 5 mg/ml
Injekcje Ganciclovir sodium 20 mg/ml
Glukoza 5% 299
Nieokreślona niezgodność Niekompatybilny
Injekcje Cisatracurium besylate
NaHCO3 3466
Zgodny
Injekcje Cisatracurium besylate 0.1 & 2 mg/ml
Injekcje Ganciclovir sodium 20 mg/ml
Glukoza 5% 299
Nieokreślona niezgodność Niekompatybilny
Injekcje Cisatracurium besylate
NaHCO3 3601
Natychmiastowe opady Niekompatybilny
Injekcje Cisatracurium besylate 2 & 5 mg/ml
Injekcje Furosemide 3 mg/ml
Glukoza 5% 299
Nieokreślona niezgodność Niekompatybilny
Injekcje Cisatracurium besylate 5 mg/ml
Injekcje Furosemide 10 mg/ml
Żaden 3134
Zgodny
Injekcje Cisatracurium besylate 0.1 >> 5 mg/ml
Injekcje Gentamicin sulfate 5 mg/ml
Glukoza 5% 299
Zgodny
Injekcje Cisatracurium besylate 0.1 >> 5 mg/ml
Injekcje Haloperidol lactate 0.2 mg/ml
Glukoza 5% 299
Natychmiastowe opady Niekompatybilny
Injekcje Cisatracurium besylate 5 mg/ml
Injekcje Heparin sodium 100 UI/ml
Glukoza 5% 299
Niestabilność emulsji po 4 godzinach Niekompatybilny
Injekcje Cisatracurium besylate 2 mg/ml
Żywienie pozajelitowe (lipidami) 4507
Nieokreślona niezgodność Niekompatybilny
Injekcje Cisatracurium besylate
Roztwór Ringera z mleczanem sodowym 3601
Zmiana koloru Niekompatybilny
Injekcje Cisatracurium besylate 5 mg/ml
Injekcje Heparin sodium 500 UI/ml
Chlorek sodu 0,9% 3463
Zgodny
Injekcje Cisatracurium besylate 0.1 & 2 mg/ml
Injekcje Heparin sodium 100 UI/ml
Glukoza 5% 299
Nieokreślona niezgodność Niekompatybilny
Injekcje Cisatracurium besylate 5 mg/ml
Injekcje Heparin sodium 500 UI/ml
Chlorek sodu 0,9% 3823
Zgodny
Injekcje Cisatracurium besylate
Glukoza 5% 3601
Nieokreślona niezgodność Niekompatybilny
Injekcje Cisatracurium besylate
Injekcje Heparin sodium
3540
Zgodny
Injekcje Cisatracurium besylate 0.5 mg/ml
Injekcje Hetastarch 60 mg/ml
danego rozpuszczalnika 1721
Zgodny
Injekcje Cisatracurium besylate 0.1 >> 5 mg/ml
Injekcje Hydrocortisone sodium succinate 1 mg/ml
Glukoza 5% 299
Zgodny
Injekcje Cisatracurium besylate 2 mg/ml
Injekcje Hydrocortisone sodium succinate 1 mg/ml
Chlorek sodu 0,9% 4465
Zgodny
Injekcje Cisatracurium besylate 0.1 >> 5 mg/ml
Injekcje Hydromorphone hydrochloride 0.5 mg/ml
Glukoza 5% 299
Zgodny
Injekcje Cisatracurium besylate 0.1 >> 5 mg/ml
Injekcje Hydroxyzine dihydrochloride 2 mg/ml
Glukoza 5% 299
Zgodny
Injekcje Cisatracurium besylate 0.1 >> 5 mg/ml
Injekcje Imipenem - cilastatin sodium 10 mg/ml
Glukoza 5% 299
Zgodny
Injekcje Cisatracurium besylate 0,4 mg/ml
Injekcje Imipenem-Cilastatin / Relebactam 5 mg/ml
Chlorek sodu 0,9% 4433
Zgodny
Injekcje Cisatracurium besylate 0,4 mg/ml
Injekcje Imipenem-Cilastatin / Relebactam 5 mg/ml
Glukoza 5% 4433
Zgodny
Injekcje Cisatracurium besylate 1 mg/ml
Injekcje Insulin 1 UI/ml
Chlorek sodu 0,9% 3429
Zgodny
Injekcje Cisatracurium besylate 5 mg/ml
Injekcje Insulin 2 UI/ml
Chlorek sodu 0,9% 3823
Zgodny
Injekcje Cisatracurium besylate 0.4 mg/ml
Injekcje Isavuconazonium sulfate 1.5 mg/ml
Chlorek sodu 0,9% 3829
Zgodny
Injekcje Cisatracurium besylate 0.4 mg/ml
Injekcje Isavuconazonium sulfate 1.5 mg/ml
Glukoza 5% 3829
Zgodny
Injekcje Cisatracurium besylate 0.1 >> 5 mg/ml
Injekcje Isoprenaline hydrochloride 0.02 mg/ml
Glukoza 5% 299
Zgodny
Injekcje Cisatracurium besylate 0.1 >> 5 mg/ml
Injekcje Ketorolac tromethamine 15 mg/ml
Glukoza 5% 299
Nieokreślona niezgodność Niekompatybilny
Injekcje Cisatracurium besylate
Injekcje Ketorolac tromethamine
3601
Zgodny
Injekcje Cisatracurium besylate 0.1 >> 5 mg/ml
Injekcje Lorazepam 0.5 mg/ml
Glukoza 5% 299
Zgodny
Injekcje Cisatracurium besylate 0.1 >> 5 mg/ml
Injekcje Magnesium sulfate 100 mg/ml
Glukoza 5% 299
Zgodny
Injekcje Cisatracurium besylate 0.1 >> 5 mg/ml
Injekcje Mannitol 150 mg/ml
Glukoza 5% 299
Zgodny
Injekcje Cisatracurium besylate
Chlorek sodu 0,9% 3601
Zgodny
Injekcje Cisatracurium besylate 2 mg/ml
Injekcje Labetalol hydrochloride 5 mg/ml
Chlorek sodu 0,9% 3879
Zgodny
Injekcje Cisatracurium besylate 1 mg/ml
Injekcje Levetiracetam 5 mg/ml
Chlorek sodu 0,9% 4569
Zgodny
Injekcje Cisatracurium besylate 0.1 >> 5 mg/ml
Injekcje Lidocaine hydrochloride 8 mg/ml
Glukoza 5% 299
Zgodny
Injekcje Cisatracurium besylate 2 mg/ml
Injekcje Linezolid 2 mg/ml
Żaden 1925
Zgodny
Injekcje Cisatracurium besylate 0.1 mg/ml
Injekcje Methylprednisolone sodium succinate 5 mg/ml
Glukoza 5% 299
Natychmiastowe zmętnienie Niekompatybilny
Injekcje Cisatracurium besylate 2 & 5 mg/ml
Injekcje Methylprednisolone sodium succinate 5 mg/ml
Glukoza 5% 299
Zgodny
Injekcje Cisatracurium besylate 0.1 >> 5 mg/ml
Injekcje Metoclopramide hydrochloride 5 mg/ml
Glukoza 5% 299
Zgodny
Injekcje Cisatracurium besylate 2 mg/ml
Injekcje Metoprolol tartrate 0.4 mg/ml
Chlorek sodu 0,9% 3879
Zgodny
Injekcje Cisatracurium besylate 0.1 >> 5 mg/ml
Injekcje Metronidazole 5 mg/ml
Glukoza 5% 299
Natychmiastowe opady Niekompatybilny
Injekcje Cisatracurium besylate 0.5 mg/ml
Injekcje Micafungin 1.5 mg/ml
Chlorek sodu 0,9% 2108
Zgodny
Injekcje Cisatracurium besylate
Injekcje Midazolam hydrochloride
3601
Zgodny
Injekcje Cisatracurium besylate 5 mg/ml
Injekcje Midazolam hydrochloride 2.1 mg/ml
Chlorek sodu 0,9% 3823
Zgodny
Injekcje Cisatracurium besylate 0.1 >> 5 mg/ml
Injekcje Midazolam hydrochloride 1 mg/ml
Glukoza 5% 299
Zgodny
Injekcje Cisatracurium besylate 0.1 >> 5 mg/ml
Injekcje Minocycline hydrochloride 0.2 mg/ml
Glukoza 5% 299
Zgodny
Injekcje Cisatracurium besylate 0.1 >> 5 mg/ml
Injekcje Morphine sulfate 1 mg/ml
Glukoza 5% 299
Zgodny
Injekcje Cisatracurium besylate 0.1 >> 5 mg/ml
Injekcje Nalbuphine hydrochloride 10 mg/ml
Glukoza 5% 299
Zgodny
Injekcje Cisatracurium besylate 0.1 >> 5 mg/ml
Injekcje Netilmicin sulfate 5 mg/ml
Glukoza 5% 299
Zgodny
Injekcje Cisatracurium besylate 1 mg/ml
Injekcje Nicardipine hydrochloride 0,5 mg/ml
Chlorek sodu 0,9% 3429
Zgodny
Injekcje Cisatracurium besylate 5 mg/ml
Injekcje Nimodipine 0.2 mg/ml
Chlorek sodu 0,9% 3823
Zgodny
Injekcje Cisatracurium besylate 0.1 >> 5 mg/ml
Injekcje Nitroglycerin 0.4 mg/ml
Glukoza 5% 299
Zgodny
Injekcje Cisatracurium besylate 5 mg/ml
Injekcje Nitroglycerin 0.2 mg/ml
Glukoza 5% 3823
Natychmiastowe opady Niekompatybilny
Injekcje Cisatracurium besylate 2 & 5 mg/ml
Injekcje Nitroprusside sodium 2 mg/ml
Glukoza 5% 299
Zgodny
Injekcje Cisatracurium besylate 0.1 mg/ml
Injekcje Nitroprusside sodium 2 mg/ml
Glukoza 5% 299
Zgodny
Injekcje Cisatracurium besylate 0.1 >> 5 mg/ml
Injekcje Norepinephrine bitartrate 0.12 mg/ml
Glukoza 5% 299
Zgodny
Injekcje Cisatracurium besylate 0.1 >> 5 mg/ml
Injekcje Ofloxacin 4 mg/ml
Glukoza 5% 299
Zgodny
Injekcje Cisatracurium besylate 5 mg/ml
Injekcje Omeprazole sodium 1.6 mg/ml
Chlorek sodu 0,9% 3823
Zgodny
Injekcje Cisatracurium besylate 0.1 >> 5 mg/ml
Injekcje Ondansetron hydrochloride 1 mg/ml
Glukoza 5% 299
Zgodny
Injekcje Cisatracurium besylate 0,5 mg/ml
Injekcje Palonosetron hydrochloride 50 µg/ml
Glukoza 5% 2227
Zmętnienie w ciągu godziny Niekompatybilny
Injekcje Cisatracurium besylate 1 mg/ml
Injekcje Pantoprazole sodium 0,8 mg/ml
Chlorek sodu 0,9% 3429
Zgodny
Injekcje Cisatracurium besylate 0.1 >> 5 mg/ml
Injekcje Pethidine hydrochloride 4 mg/ml
Glukoza 5% 299
Zgodny
Injekcje Cisatracurium besylate 0.1 >> 5 mg/ml
Injekcje Phenylephrine hydrochloride 1 mg/ml
Glukoza 5% 299
Zgodny
Injekcje Cisatracurium besylate 0.1 mg/ml
Injekcje Piperacillin sodium 40 mg/ml
Glukoza 5% 299
Natychmiastowe zmętnienie Niekompatybilny
Injekcje Cisatracurium besylate 2 & 5 mg/ml
Injekcje Piperacillin sodium 40 mg/ml
Glukoza 5% 299
Zgodny
Injekcje Cisatracurium besylate 0.1 & 2 mg/ml
Injekcje Piperacillin sodium / tazobactam 40/5 mg/ml
Glukoza 5% 299
Opady po 4 godzinach Niekompatybilny
Injekcje Cisatracurium besylate 5 mg/ml
Injekcje Piperacillin sodium / tazobactam 40/5 mg/ml
Glukoza 5% 299
Zgodny
Injekcje Cisatracurium besylate 0.4 mg/ml
Injekcje Plazomicin sulfate 24 mg/ml
Chlorek sodu 0,9% 4145
Zgodny
Injekcje Cisatracurium besylate 0.1 >> 5 mg/ml
Injekcje Potassium chloride 100 mEq/l
Glukoza 5% 299
Zgodny
Injekcje Cisatracurium besylate 5 mg/ml
Injekcje Potassium chloride 10 mEq/l
Chlorek sodu 0,9% 3823
Zgodny
Injekcje Cisatracurium besylate 0.1 >> 5 mg/ml
Injekcje Procainamide hydrochloride 10 mg/ml
Glukoza 5% 299
Zgodny
Injekcje Cisatracurium besylate 0.1 >> 5 mg/ml
Injekcje Prochlorperazine edysilate 0.5 mg/ml
Glukoza 5% 299
Zgodny
Injekcje Cisatracurium besylate 0.1 >> 5 mg/ml
Injekcje Promethazine hydrochloride 2 mg/ml
Glukoza 5% 299
Nieokreślona niezgodność Niekompatybilny
Injekcje Cisatracurium besylate
Injekcje Propofol
3601
Zgodny
Injekcje Cisatracurium besylate 0.1 >> 5 mg/ml
Injekcje Ranitidine hydrochloride 2 mg/ml
Glukoza 5% 299
Zgodny
Injekcje Cisatracurium besylate 5 mg/ml
Injekcje Remifentanil hydrochloride 100 µg/ml
Chlorek sodu 0,9% 3823
Zgodny
Injekcje Cisatracurium besylate 2 mg/ml
Injekcje Remifentanil hydrochloride 25 & 250 µg/ml
Chlorek sodu 0,9% 59
Nieokreślona niezgodność Niekompatybilny
Injekcje Cisatracurium besylate
Injekcje Sodium bicarbonate
3466
Zmętnienie w ciągu godziny Niekompatybilny
Injekcje Cisatracurium besylate 2 mg/ml
Injekcje Sodium bicarbonate 84 mg/ml
Glukoza 5% 299
Nieokreślona niezgodność Niekompatybilny
Injekcje Cisatracurium besylate
Injekcje Sodium bicarbonate
3601
Zgodny
Injekcje Cisatracurium besylate 0.1 mg/ml
Injekcje Sodium bicarbonate 84 mg/ml
Glukoza 5% 299
Natychmiastowe zmętnienie Niekompatybilny
Injekcje Cisatracurium besylate 5 mg/ml
Injekcje Sodium bicarbonate 84 mg/ml
Glukoza 5% 299
Zmętnienie w ciągu 2 godzin Niekompatybilny
Injekcje Cisatracurium besylate 5 mg/ml
Injekcje Sodium bicarbonate 84 mg/ml
Żaden 3212
Zgodny
Injekcje Cisatracurium besylate 0.1 >> 5 mg/ml
Injekcje Sufentanil citrate 0.0125 mg/ml
Glukoza 5% 299
Zgodny
Injekcje Cisatracurium besylate
Injekcje Sufentanil citrate
3601
Zgodny
Injekcje Cisatracurium besylate 0,4 mg/ml
Injekcje Sulbactam/durlobactam 15/15 mg/ml
Chlorek sodu 0,9% 4801
Zgodny
Injekcje Cisatracurium besylate 0.4 mg/ml
Injekcje Tedizolid phosphate 0.8 mg/ml
Chlorek sodu 0,9% 3827
Zgodny
Injekcje Cisatracurium besylate 0.1 >> 5 mg/ml
Injekcje Theophylline 3.2 mg/ml
Glukoza 5% 299
Nieokreślona niezgodność Niekompatybilny
Injekcje Cisatracurium besylate
Injekcje Thiopental sodium
3601
Zgodny
Injekcje Cisatracurium besylate 0.1 mg/ml
Injekcje Thiopental sodium 25 mg/ml
Glukoza 5% 299
Nieokreślona niezgodność Niekompatybilny
Injekcje Cisatracurium besylate 5 mg/ml
Injekcje Thiopental sodium 60 mg/ml
Chlorek sodu 0,9% 3823
Natychmiastowe opady Niekompatybilny
Injekcje Cisatracurium besylate 2 & 5 mg/ml
Injekcje Thiopental sodium 25 mg/ml
Glukoza 5% 299
Zgodny
Injekcje Cisatracurium besylate 0.1 & 2 mg/ml
Injekcje Ticarcillin / clavulanic acid 30 mg/ml
Glukoza 5% 299
Natychmiastowe zmętnienie Niekompatybilny
Injekcje Cisatracurium besylate 5 mg/ml
Injekcje Ticarcillin / clavulanic acid 30 mg/ml
Glukoza 5% 299
Zgodny
Injekcje Cisatracurium besylate 0.1 >> 5 mg/ml
Injekcje Tobramycin sulfate 5 mg/ml
Glukoza 5% 299
Zgodny
Injekcje Cisatracurium besylate 0.1 >> 5 mg/ml
Injekcje Vancomycin hydrochloride 10 mg/ml
Glukoza 5% 299
Zgodny
Injekcje Cisatracurium besylate 1 mg/ml
Injekcje Vasopressin 1 UI/ml
Chlorek sodu 0,9% 3429
Zgodny
Injekcje Cisatracurium besylate 0.1 >> 5 mg/ml
Injekcje Zidovudine 4 mg/ml
Glukoza 5% 299

  Mentions Légales