Last update :
18/03/2026
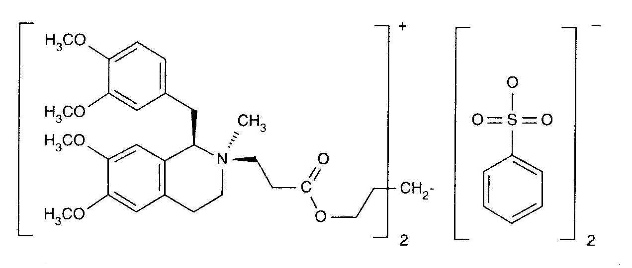
Curarimimetic   Cisatracurium besylate  
injection
Stability in solutions Stability of mixtures Factors which affect stability Compatibility Route of administration References pdf
   Chemical structure  

Tradename   Tradename     

Trade names are indicative and excipients composition can be different depending on the country and manufacturers

Bensitrak Mexico
Besilato de cisatracurio
Cicuryl Mexico
Cirium Colombia
Cis Atracure
Cisatracurio Brazil, Chile, Colombia, Ecuador, Italy, Peru, Spain
Cisatracurium Belgium, Canada, Finland, France, Germany, Great Britain, Hungary, Ireland, Tunisia
Nimbex Austria, Belgium, Canada, Chile, Denmark, Ecuador, Egypt, Finland, France, Germany, Great Britain, Greece, Hungary, Iran, Ireland, Italy, Luxembourg, Malaysia, Mexico, Netherlands, Norway, Peru, Poland, Portugal, Saudi Arabia, Slovenia, Spain, Sweden, Tunisia, Turkey, United Arab Emirates, United States of America, Venezuela
Nimbium Brazil, Colombia
Compatibility   injection   Compatibility : Cisatracurium besylate              
This screen indicates the compatibilities or incompatibilities with, in this case, the type of incompatibility (precipitation, color change, modification of an emulsion, etc.). The compatibilities shown here are mostly physical only, with the chemical stability of each molecule rarely being assessed. The evaluation of these mixtures was studied to consider the possibility of Y-site administration to the patient. These data cannot be used for making mixtures in advance in bags or syringes. This type of information is available in the screen "Stability in mixture ».
Compound Solvent References
Immediate precipitation Incompatible
injection Cisatracurium besylate 5 mg/ml
injection Aciclovir sodium 7 mg/ml
Glucose 5% 299
Compatible
injection Cisatracurium besylate 0.1 & 2 mg/ml
injection Aciclovir sodium 7 mg/ml
Glucose 5% 299
Compatible
injection Cisatracurium besylate
injection Alfentanil hydrochloride
3601
Compatible
injection Cisatracurium besylate 0.1 >> 5 mg/ml
injection Alfentanil hydrochloride 125 µg/ml
Glucose 5% 299
Immediate precipitation Incompatible
injection Cisatracurium besylate 1,2 mg/ml
injection Alprostadil 20 µg/ml
Glucose 5% 4651
Immediate precipitation Incompatible
injection Cisatracurium besylate 1,2 mg/ml
injection Alprostadil 20 µg/ml
Glucose 5% 4491
Compatible
injection Cisatracurium besylate 0.1 >> 5 mg/ml
injection Amikacin sulfate 5 mg/ml
Glucose 5% 299
Compatible
injection Cisatracurium besylate 0.1 & 2 mg/ml
injection Aminophylline 2.5 mg/ml
Glucose 5% 299
Turbidity in one hour Incompatible
injection Cisatracurium besylate 5 mg/ml
injection Aminophylline 2.5 mg/ml
Glucose 5% 299
Compatible
injection Cisatracurium besylate
injection Amiodarone hydrochloride
3464
Compatible
injection Cisatracurium besylate 5 mg/ml
injection Amiodarone hydrochloride 15 mg/ml
Glucose 5% 3823
Compatible
injection Cisatracurium besylate 0.1 mg/ml
injection Amphotericin B 0.6 mg/ml
Glucose 5% 299
Immediate precipitation Incompatible
injection Cisatracurium besylate 2 & 5 mg/ml
injection Amphotericin B 0.6 mg/ml
Glucose 5% 299
Immediate precipitation Incompatible
injection Cisatracurium besylate 2 mg/ml
injection Amphotericin B cholesteryl sulfate complex 0.83 mg/ml
Glucose 5% 921
Turbidity in one hour Incompatible
injection Cisatracurium besylate 5 mg/ml
injection Ampicillin sodium 20 mg/ml
Sodium chloride 0,9% 299
Compatible
injection Cisatracurium besylate 0.1 & 2 mg/ml
injection Ampicillin sodium 20 mg/ml
Glucose 5% 299
Turbidity in one hour Incompatible
injection Cisatracurium besylate 5 mg/ml
injection Ampicillin sodium 20 mg/ml
Glucose 5% 299
Immediate turbidity Incompatible
injection Cisatracurium besylate 5 mg/ml
injection Ampicillin sodium - sulbactam sodium 20/10 mg/ml
Glucose 5% 299
Immediate turbidity Incompatible
injection Cisatracurium besylate 5 mg/ml
injection Ampicillin sodium - sulbactam sodium 20/10 mg/ml
Sodium chloride 0,9% 299
Compatible
injection Cisatracurium besylate 0.1 & 2 mg/ml
injection Ampicillin sodium - sulbactam sodium 20/10 mg/ml
Glucose 5% 299
Compatible
injection Cisatracurium besylate 0.1 >> 5 mg/ml
injection Aztreonam 40 mg/ml
Glucose 5% 299
Compatible
injection Cisatracurium besylate 0.1 >> 5 mg/ml
injection Bumetanide 0.04 mg/ml
Glucose 5% 299
Compatible
injection Cisatracurium besylate 0.1 >> 5 mg/ml
injection Buprenorphine hydrochloride 0.04 mg/ml
Glucose 5% 299
Compatible
injection Cisatracurium besylate 0.1 >> 5 mg/ml
injection Butorphanol tartrate 0.04 mg/ml
Glucose 5% 299
Compatible
injection Cisatracurium besylate 0.1 >> 5 mg/ml
injection Calcium gluconate 40 mg/ml
Glucose 5% 299
Compatible
injection Cisatracurium besylate 1 mg/ml
injection Calcium gluconate 20 mg/ml
Sodium chloride 0,9% 3429
Immediate turbidity Incompatible
injection Cisatracurium besylate 2 & 5 mg/ml
injection Cefazolin sodium 20 mg/ml
Glucose 5% 299
Compatible
injection Cisatracurium besylate 0.1 mg/ml
injection Cefazolin sodium 20 mg/ml
Glucose 5% 299
Compatible
injection Cisatracurium besylate 0.4 mg/ml
injection Cefiderocol sulfate tosylate 20 mg/mL
Glucose 5% 4528
Compatible
injection Cisatracurium besylate 0.4 mg/ml
injection Cefiderocol sulfate tosylate 20 mg/mL
Sodium chloride 0,9% 4528
Immediate precipitation Incompatible
injection Cisatracurium besylate 0.1 >> 5 mg/ml
injection Cefoperazone sodium 40 mg/ml
Glucose 5% 299
Compatible
injection Cisatracurium besylate 0.1 >> 5 mg/ml
injection Cefoperazone sodium 40 mg/ml
Glucose 5% 299
Turbidity in 4 hours Incompatible
injection Cisatracurium besylate 2 mg/ml
injection Cefotaxime sodium 20 mg/ml
Glucose 5% 299
Immediate turbidity Incompatible
injection Cisatracurium besylate 5 mg/ml
injection Cefotaxime sodium 20 mg/ml
Glucose 5% 299
Compatible
injection Cisatracurium besylate 0.1 mg/ml
injection Cefotaxime sodium 20 mg/ml
Glucose 5% 299
Compatible
injection Cisatracurium besylate 0.1 mg/ml
injection Cefoxitin sodium 20 mg/ml
Glucose 5% 299
Immediate turbidity Incompatible
injection Cisatracurium besylate 2 & 5 mg/ml
injection Cefoxitin sodium 20 mg/ml
Glucose 5% 299
Compatible
injection Cisatracurium besylate 0,5 mg/ml
injection Ceftaroline fosamil 2,22 mg/ml
Ringer’s lactate solution 3249
Compatible
injection Cisatracurium besylate 0,5 mg/ml
injection Ceftaroline fosamil 2,22 mg/ml
Glucose 5% 3249
Compatible
injection Cisatracurium besylate 0,5 mg/ml
injection Ceftaroline fosamil 2,22 mg/ml
Sodium chloride 0,9% 3249
Immediate turbidity Incompatible
injection Cisatracurium besylate 5 mg/ml
injection Ceftazidime 40 mg/ml
Glucose 5% 299
Compatible
injection Cisatracurium besylate 0.1 & 2 mg/ml
injection Ceftazidime 40 mg/ml
Glucose 5% 299
Compatible
injection Cisatracurium besylate 0.1 & 2 mg/ml
injection Ceftizoxime sodium 20 mg/ml
Glucose 5% 299
Turbidity in one hour Incompatible
injection Cisatracurium besylate 5 mg/ml
injection Ceftizoxime sodium 20 mg/ml
Glucose 5% 299
Immediate precipitation Incompatible
injection Cisatracurium besylate 0.5 mg/ml
injection Ceftobiprole medocaril sodium 2 mg/ml
Sodium chloride 0,9% 2269
Immediate precipitation Incompatible
injection Cisatracurium besylate 0.5 mg/ml
injection Ceftobiprole medocaril sodium 2 mg/ml
Ringer’s lactate solution 2269
Immediate precipitation Incompatible
injection Cisatracurium besylate 0.5 mg/ml
injection Ceftobiprole medocaril sodium 2 mg/ml
Glucose 5% 2269
Unspecified incompatibility Incompatible
injection Cisatracurium besylate
injection Ceftobiprole medocaril sodium
4650
Compatible
injection Cisatracurium besylate 0.4 mg/ml
injection Ceftolozane / tazobactam 10/5 mg/ml
Glucose 5% 3828
Compatible
injection Cisatracurium besylate 0.4 mg/ml
injection Ceftolozane / tazobactam 10/5 mg/ml
Sodium chloride 0,9% 3828
Compatible
injection Cisatracurium besylate 0.1 >> 5 mg/ml
injection Ceftriaxone disodium 20 mg/ml
Glucose 5% 299
Immediate precipitation Incompatible
injection Cisatracurium besylate 2 & 5 mg/ml
injection Cefuroxime sodium 30 mg/ml
Glucose 5% 299
Compatible
injection Cisatracurium besylate 0.1 >> 5 mg/ml
injection Chlorpromazine hydrochloride 2 mg/ml
Glucose 5% 299
Compatible
injection Cisatracurium besylate 0.1 >> 5 mg/ml
injection Cimetidine hydrochloride 12 mg/ml
Glucose 5% 299
Compatible
injection Cisatracurium besylate 0.1 >> 5 mg/ml
injection Ciprofloxacin lactate 1 mg/ml
Glucose 5% 299
Compatible
injection Cisatracurium besylate 0.1 >> 5 mg/ml
injection Clindamycin phosphate 10 mg/ml
Glucose 5% 299
Compatible
injection Cisatracurium besylate 5 mg/ml
injection Clonazepam 0.2 mg/ml
Sodium chloride 0,9% 3823
Compatible
injection Cisatracurium besylate 5 mg/ml
injection Clonidine hydrochloride 0.012 mg/ml
Sodium chloride 0,9% 3823
Immediate turbidity Incompatible
injection Cisatracurium besylate 2 & 5 mg/ml
injection Co-trimoxazole 0,8/4 mg/ml
Glucose 5% 299
Compatible
injection Cisatracurium besylate 0.1 mg/ml
injection Co-trimoxazole 0.8/4 mg/ml
Glucose 5% 299
Compatible
injection Cisatracurium besylate 0.5 mg/ml
injection Dexmedetomidine 4 µg/ml
Sodium chloride 0,9% 1712
Compatible
injection Cisatracurium besylate 0.1 >> 5 mg/ml
injection Diazepam 0.25 mg/ml
Glucose 5% 299
Immediate precipitation Incompatible
injection Cisatracurium besylate 0.1 >> 5 mg/ml
injection Diazepam 5 mg/ml
Glucose 5% 299
Unspecified incompatibility Incompatible
injection Cisatracurium besylate 5 mg/ml
injection Diclofenac 3 mg/ml
Sodium chloride 0,9% 3823
Compatible
injection Cisatracurium besylate 0.1 >> 5 mg/ml
injection Digoxin 250 µg/ml
Glucose 5% 299
Compatible
injection Cisatracurium besylate 1 mg/ml
injection Diltiazem hydrochloride 1 mg/ml
Sodium chloride 0,9% 3429
Compatible
injection Cisatracurium besylate 0.1 >> 5 mg/ml
injection Diphenhydramine hydrochloride 2 mg/ml
Glucose 5% 299
Compatible
injection Cisatracurium besylate 0.1 >> 5 mg/ml
injection Dobutamine hydrochloride 4 mg/ml
Glucose 5% 299
Compatible
injection Cisatracurium besylate 0.1 >> 5 mg/ml
injection Dopamine hydrochloride 3.2 mg/ml
Glucose 5% 299
Compatible
injection Cisatracurium besylate 0.1 >> 5 mg/ml
injection Doxycycline hyclate 1 mg/ml
Glucose 5% 299
Compatible
injection Cisatracurium besylate
injection Droperidol
3601
Compatible
injection Cisatracurium besylate 0.1 >> 5 mg/ml
injection Droperidol 2.5 mg/ml
Glucose 5% 299
Compatible
injection Cisatracurium besylate 0.1 >> 5 mg/ml
injection Enalaprilate 0.1 mg/ml
Glucose 5% 299
Compatible
injection Cisatracurium besylate 0.1 >> 5 mg/ml
injection Epinephrine hydrochloride 50 µg/ml
Glucose 5% 299
Compatible
injection Cisatracurium besylate 0,4 mg/ml
injection Eravacycline 0,6 mg/ml
Sodium chloride 0,9% 4434
Compatible
injection Cisatracurium besylate 0.1 >> 5 mg/ml
injection Esmolol hydrochloride 10 mg/ml
Glucose 5% 299
Compatible
injection Cisatracurium besylate 0.4 mg/ml
injection Fosfomycin 30 mg/ml
Glucose 5% 4055
Immediate turbidity Incompatible
injection Cisatracurium besylate 5 mg/ml
NaHCO3 3823
Compatible
injection Cisatracurium besylate 5 mg/ml
injection Esmolol hydrochloride 10 mg/ml
Sodium chloride 0,9% 3823
Compatible
injection Cisatracurium besylate 2 mg/ml
injection Esmolol hydrochloride 10 mg/ml
Sodium chloride 0,9% 3879
Compatible
injection Cisatracurium besylate 1 mg/ml
injection Esomeprazole sodium 0,4 mg/ml
Sodium chloride 0,9% 3429
Compatible
injection Cisatracurium besylate 0.1 >> 5 mg/ml
injection Famotidine 2 mg/ml
Glucose 5% 299
Compatible
injection Cisatracurium besylate 0.5 mg/ml
injection Fenoldopam mesylate 80 µg/ml
Sodium chloride 0,9% 1803
Compatible
injection Cisatracurium besylate 0.1 >> 5 mg/ml
injection Fentanyl citrate 12.5 µg/ml
Glucose 5% 299
Compatible
injection Cisatracurium besylate
injection Fentanyl citrate
3601
Compatible
injection Cisatracurium besylate 0.1 >> 5 mg/ml
injection Fluconazole 2 mg/ml
Glucose 5% 299
Compatible
injection Cisatracurium besylate 0.4 mg/ml
injection Fosfomycin 30 mg/ml
Sodium chloride 0,9% 4055
Unspecified incompatibility Incompatible
injection Cisatracurium besylate
injection Furosemide
3465
Immediate turbidity Incompatible
injection Cisatracurium besylate 2 & 5 mg/ml
NaHCO3 299
Immediate precipitation Incompatible
injection Cisatracurium besylate 5 mg/ml
injection Furosemide 10 mg/ml
Sodium chloride 0,9% 3463
Compatible
injection Cisatracurium besylate 0.1 mg/ml
injection Furosemide 3 mg/ml
Glucose 5% 299
Unspecified incompatibility Incompatible
injection Cisatracurium besylate 5 mg/ml
injection Furosemide 10 mg/ml
Sodium chloride 0,9% 3823
Immediate precipitation Incompatible
injection Cisatracurium besylate 5 mg/ml
injection Ganciclovir sodium 20 mg/ml
Glucose 5% 299
Unspecified incompatibility Incompatible
injection Cisatracurium besylate
NaHCO3 3466
Compatible
injection Cisatracurium besylate 0.1 & 2 mg/ml
injection Ganciclovir sodium 20 mg/ml
Glucose 5% 299
Unspecified incompatibility Incompatible
injection Cisatracurium besylate
NaHCO3 3601
Immediate precipitation Incompatible
injection Cisatracurium besylate 2 & 5 mg/ml
injection Furosemide 3 mg/ml
Glucose 5% 299
Unspecified incompatibility Incompatible
injection Cisatracurium besylate 5 mg/ml
injection Furosemide 10 mg/ml
None 3134
Compatible
injection Cisatracurium besylate 0.1 >> 5 mg/ml
injection Gentamicin sulfate 5 mg/ml
Glucose 5% 299
Compatible
injection Cisatracurium besylate 0.1 >> 5 mg/ml
injection Haloperidol lactate 0.2 mg/ml
Glucose 5% 299
Immediate precipitation Incompatible
injection Cisatracurium besylate 5 mg/ml
injection Heparin sodium 100 UI/ml
Glucose 5% 299
Instability of the emulsion after 4 hours Incompatible
injection Cisatracurium besylate 2 mg/ml
Parenteral nutrition (with lipids) 4507
Unspecified incompatibility Incompatible
injection Cisatracurium besylate
Ringer’s lactate solution 3601
Color change Incompatible
injection Cisatracurium besylate 5 mg/ml
injection Heparin sodium 500 UI/ml
Sodium chloride 0,9% 3463
Compatible
injection Cisatracurium besylate 0.1 & 2 mg/ml
injection Heparin sodium 100 UI/ml
Glucose 5% 299
Unspecified incompatibility Incompatible
injection Cisatracurium besylate 5 mg/ml
injection Heparin sodium 500 UI/ml
Sodium chloride 0,9% 3823
Compatible
injection Cisatracurium besylate
Glucose 5% 3601
Unspecified incompatibility Incompatible
injection Cisatracurium besylate
injection Heparin sodium
3540
Compatible
injection Cisatracurium besylate 0.5 mg/ml
injection Hetastarch 60 mg/ml
specific solvent 1721
Compatible
injection Cisatracurium besylate 0.1 >> 5 mg/ml
injection Hydrocortisone sodium succinate 1 mg/ml
Glucose 5% 299
Compatible
injection Cisatracurium besylate 2 mg/ml
injection Hydrocortisone sodium succinate 1 mg/ml
Sodium chloride 0,9% 4465
Compatible
injection Cisatracurium besylate 0.1 >> 5 mg/ml
injection Hydromorphone hydrochloride 0.5 mg/ml
Glucose 5% 299
Compatible
injection Cisatracurium besylate 0.1 >> 5 mg/ml
injection Hydroxyzine dihydrochloride 2 mg/ml
Glucose 5% 299
Compatible
injection Cisatracurium besylate 0.1 >> 5 mg/ml
injection Imipenem - cilastatin sodium 10 mg/ml
Glucose 5% 299
Compatible
injection Cisatracurium besylate 0,4 mg/ml
injection Imipenem-Cilastatin / Relebactam 5 mg/ml
Sodium chloride 0,9% 4433
Compatible
injection Cisatracurium besylate 0,4 mg/ml
injection Imipenem-Cilastatin / Relebactam 5 mg/ml
Glucose 5% 4433
Compatible
injection Cisatracurium besylate 1 mg/ml
injection Insulin 1 UI/ml
Sodium chloride 0,9% 3429
Compatible
injection Cisatracurium besylate 5 mg/ml
injection Insulin 2 UI/ml
Sodium chloride 0,9% 3823
Compatible
injection Cisatracurium besylate 0.4 mg/ml
injection Isavuconazonium sulfate 1.5 mg/ml
Sodium chloride 0,9% 3829
Compatible
injection Cisatracurium besylate 0.4 mg/ml
injection Isavuconazonium sulfate 1.5 mg/ml
Glucose 5% 3829
Compatible
injection Cisatracurium besylate 0.1 >> 5 mg/ml
injection Isoprenaline hydrochloride 0.02 mg/ml
Glucose 5% 299
Compatible
injection Cisatracurium besylate 0.1 >> 5 mg/ml
injection Ketorolac tromethamine 15 mg/ml
Glucose 5% 299
Unspecified incompatibility Incompatible
injection Cisatracurium besylate
injection Ketorolac tromethamine
3601
Compatible
injection Cisatracurium besylate 0.1 >> 5 mg/ml
injection Lorazepam 0.5 mg/ml
Glucose 5% 299
Compatible
injection Cisatracurium besylate 0.1 >> 5 mg/ml
injection Magnesium sulfate 100 mg/ml
Glucose 5% 299
Compatible
injection Cisatracurium besylate 0.1 >> 5 mg/ml
injection Mannitol 150 mg/ml
Glucose 5% 299
Compatible
injection Cisatracurium besylate
Sodium chloride 0,9% 3601
Compatible
injection Cisatracurium besylate 2 mg/ml
injection Labetalol hydrochloride 5 mg/ml
Sodium chloride 0,9% 3879
Compatible
injection Cisatracurium besylate 1 mg/ml
injection Levetiracetam 5 mg/ml
Sodium chloride 0,9% 4569
Compatible
injection Cisatracurium besylate 0.1 >> 5 mg/ml
injection Lidocaine hydrochloride 8 mg/ml
Glucose 5% 299
Compatible
injection Cisatracurium besylate 2 mg/ml
injection Linezolid 2 mg/ml
None 1925
Compatible
injection Cisatracurium besylate 0.1 mg/ml
injection Methylprednisolone sodium succinate 5 mg/ml
Glucose 5% 299
Immediate turbidity Incompatible
injection Cisatracurium besylate 2 & 5 mg/ml
injection Methylprednisolone sodium succinate 5 mg/ml
Glucose 5% 299
Compatible
injection Cisatracurium besylate 0.1 >> 5 mg/ml
injection Metoclopramide hydrochloride 5 mg/ml
Glucose 5% 299
Compatible
injection Cisatracurium besylate 2 mg/ml
injection Metoprolol tartrate 0.4 mg/ml
Sodium chloride 0,9% 3879
Compatible
injection Cisatracurium besylate 0.1 >> 5 mg/ml
injection Metronidazole 5 mg/ml
Glucose 5% 299
Immediate precipitation Incompatible
injection Cisatracurium besylate 0.5 mg/ml
injection Micafungin 1.5 mg/ml
Sodium chloride 0,9% 2108
Compatible
injection Cisatracurium besylate
injection Midazolam hydrochloride
3601
Compatible
injection Cisatracurium besylate 5 mg/ml
injection Midazolam hydrochloride 2.1 mg/ml
Sodium chloride 0,9% 3823
Compatible
injection Cisatracurium besylate 0.1 >> 5 mg/ml
injection Midazolam hydrochloride 1 mg/ml
Glucose 5% 299
Compatible
injection Cisatracurium besylate 0.1 >> 5 mg/ml
injection Minocycline hydrochloride 0.2 mg/ml
Glucose 5% 299
Compatible
injection Cisatracurium besylate 0.1 >> 5 mg/ml
injection Morphine sulfate 1 mg/ml
Glucose 5% 299
Compatible
injection Cisatracurium besylate 0.1 >> 5 mg/ml
injection Nalbuphine hydrochloride 10 mg/ml
Glucose 5% 299
Compatible
injection Cisatracurium besylate 0.1 >> 5 mg/ml
injection Netilmicin sulfate 5 mg/ml
Glucose 5% 299
Compatible
injection Cisatracurium besylate 1 mg/ml
injection Nicardipine hydrochloride 0,5 mg/ml
Sodium chloride 0,9% 3429
Compatible
injection Cisatracurium besylate 5 mg/ml
injection Nimodipine 0.2 mg/ml
Sodium chloride 0,9% 3823
Compatible
injection Cisatracurium besylate 0.1 >> 5 mg/ml
injection Nitroglycerin 0.4 mg/ml
Glucose 5% 299
Compatible
injection Cisatracurium besylate 5 mg/ml
injection Nitroglycerin 0.2 mg/ml
Glucose 5% 3823
Immediate precipitation Incompatible
injection Cisatracurium besylate 2 & 5 mg/ml
injection Nitroprusside sodium 2 mg/ml
Glucose 5% 299
Compatible
injection Cisatracurium besylate 0.1 mg/ml
injection Nitroprusside sodium 2 mg/ml
Glucose 5% 299
Compatible
injection Cisatracurium besylate 0.1 >> 5 mg/ml
injection Norepinephrine bitartrate 0.12 mg/ml
Glucose 5% 299
Compatible
injection Cisatracurium besylate 0.1 >> 5 mg/ml
injection Ofloxacin 4 mg/ml
Glucose 5% 299
Compatible
injection Cisatracurium besylate 5 mg/ml
injection Omeprazole sodium 1.6 mg/ml
Sodium chloride 0,9% 3823
Compatible
injection Cisatracurium besylate 0.1 >> 5 mg/ml
injection Ondansetron hydrochloride 1 mg/ml
Glucose 5% 299
Compatible
injection Cisatracurium besylate 0,5 mg/ml
injection Palonosetron hydrochloride 50 µg/ml
Glucose 5% 2227
Turbidity in one hour Incompatible
injection Cisatracurium besylate 1 mg/ml
injection Pantoprazole sodium 0,8 mg/ml
Sodium chloride 0,9% 3429
Compatible
injection Cisatracurium besylate 0.1 >> 5 mg/ml
injection Pethidine hydrochloride 4 mg/ml
Glucose 5% 299
Compatible
injection Cisatracurium besylate 0.1 >> 5 mg/ml
injection Phenylephrine hydrochloride 1 mg/ml
Glucose 5% 299
Compatible
injection Cisatracurium besylate 0.1 mg/ml
injection Piperacillin sodium 40 mg/ml
Glucose 5% 299
Immediate turbidity Incompatible
injection Cisatracurium besylate 2 & 5 mg/ml
injection Piperacillin sodium 40 mg/ml
Glucose 5% 299
Compatible
injection Cisatracurium besylate 0.1 & 2 mg/ml
injection Piperacillin sodium / tazobactam 40/5 mg/ml
Glucose 5% 299
Precipitation after 4 hours Incompatible
injection Cisatracurium besylate 5 mg/ml
injection Piperacillin sodium / tazobactam 40/5 mg/ml
Glucose 5% 299
Compatible
injection Cisatracurium besylate 0.4 mg/ml
injection Plazomicin sulfate 24 mg/ml
Sodium chloride 0,9% 4145
Compatible
injection Cisatracurium besylate 0.1 >> 5 mg/ml
injection Potassium chloride 100 mEq/l
Glucose 5% 299
Compatible
injection Cisatracurium besylate 5 mg/ml
injection Potassium chloride 10 mEq/l
Sodium chloride 0,9% 3823
Compatible
injection Cisatracurium besylate 0.1 >> 5 mg/ml
injection Procainamide hydrochloride 10 mg/ml
Glucose 5% 299
Compatible
injection Cisatracurium besylate 0.1 >> 5 mg/ml
injection Prochlorperazine edysilate 0.5 mg/ml
Glucose 5% 299
Compatible
injection Cisatracurium besylate 0.1 >> 5 mg/ml
injection Promethazine hydrochloride 2 mg/ml
Glucose 5% 299
Unspecified incompatibility Incompatible
injection Cisatracurium besylate
injection Propofol
3601
Compatible
injection Cisatracurium besylate 0.1 >> 5 mg/ml
injection Ranitidine hydrochloride 2 mg/ml
Glucose 5% 299
Compatible
injection Cisatracurium besylate 5 mg/ml
injection Remifentanil hydrochloride 100 µg/ml
Sodium chloride 0,9% 3823
Compatible
injection Cisatracurium besylate 2 mg/ml
injection Remifentanil hydrochloride 25 & 250 µg/ml
Sodium chloride 0,9% 59
Unspecified incompatibility Incompatible
injection Cisatracurium besylate
injection Sodium bicarbonate
3466
Turbidity in one hour Incompatible
injection Cisatracurium besylate 2 mg/ml
injection Sodium bicarbonate 84 mg/ml
Glucose 5% 299
Unspecified incompatibility Incompatible
injection Cisatracurium besylate
injection Sodium bicarbonate
3601
Compatible
injection Cisatracurium besylate 0.1 mg/ml
injection Sodium bicarbonate 84 mg/ml
Glucose 5% 299
Immediate turbidity Incompatible
injection Cisatracurium besylate 5 mg/ml
injection Sodium bicarbonate 84 mg/ml
Glucose 5% 299
Turbidity in 2 hours Incompatible
injection Cisatracurium besylate 5 mg/ml
injection Sodium bicarbonate 84 mg/ml
None 3212
Compatible
injection Cisatracurium besylate 0.1 >> 5 mg/ml
injection Sufentanil citrate 0.0125 mg/ml
Glucose 5% 299
Compatible
injection Cisatracurium besylate
injection Sufentanil citrate
3601
Compatible
injection Cisatracurium besylate 0,4 mg/ml
injection Sulbactam/durlobactam 15/15 mg/ml
Sodium chloride 0,9% 4801
Compatible
injection Cisatracurium besylate 0.4 mg/ml
injection Tedizolid phosphate 0.8 mg/ml
Sodium chloride 0,9% 3827
Compatible
injection Cisatracurium besylate 0.1 >> 5 mg/ml
injection Theophylline 3.2 mg/ml
Glucose 5% 299
Unspecified incompatibility Incompatible
injection Cisatracurium besylate
injection Thiopental sodium
3601
Compatible
injection Cisatracurium besylate 0.1 mg/ml
injection Thiopental sodium 25 mg/ml
Glucose 5% 299
Unspecified incompatibility Incompatible
injection Cisatracurium besylate 5 mg/ml
injection Thiopental sodium 60 mg/ml
Sodium chloride 0,9% 3823
Immediate precipitation Incompatible
injection Cisatracurium besylate 2 & 5 mg/ml
injection Thiopental sodium 25 mg/ml
Glucose 5% 299
Compatible
injection Cisatracurium besylate 0.1 & 2 mg/ml
injection Ticarcillin / clavulanic acid 30 mg/ml
Glucose 5% 299
Immediate turbidity Incompatible
injection Cisatracurium besylate 5 mg/ml
injection Ticarcillin / clavulanic acid 30 mg/ml
Glucose 5% 299
Compatible
injection Cisatracurium besylate 0.1 >> 5 mg/ml
injection Tobramycin sulfate 5 mg/ml
Glucose 5% 299
Compatible
injection Cisatracurium besylate 0.1 >> 5 mg/ml
injection Vancomycin hydrochloride 10 mg/ml
Glucose 5% 299
Compatible
injection Cisatracurium besylate 1 mg/ml
injection Vasopressin 1 UI/ml
Sodium chloride 0,9% 3429
Compatible
injection Cisatracurium besylate 0.1 >> 5 mg/ml
injection Zidovudine 4 mg/ml
Glucose 5% 299

  Mentions Légales