Utolsó frissítés :
18/03/2026
Izombénító   Cisatracurium besylate  
Injekció
Az oldatok stabilitása A keverékek stabilitása Stabilitást befolyásoló tényezők Kompatibilitás Az alkalmazás módja Irodalom pdf
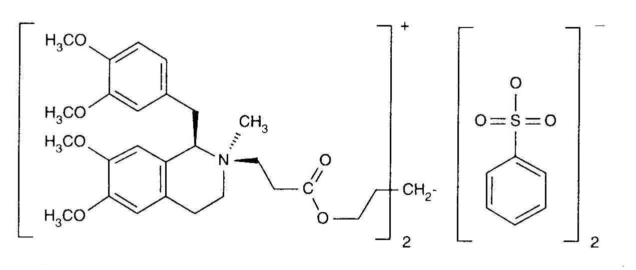
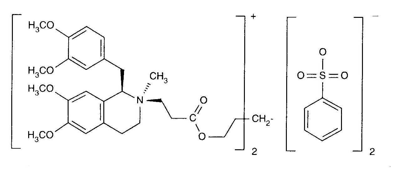
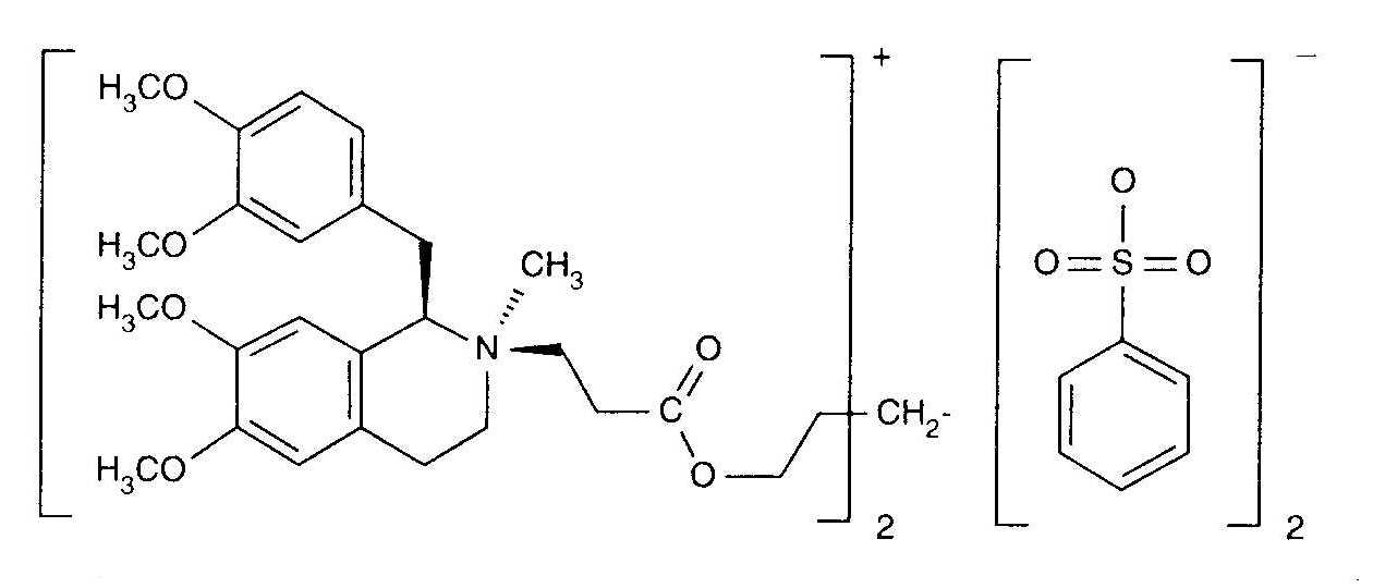
   Kémiai szerkezet   

Kereskedelmi név   Kereskedelmi név     

A kereskedelmi név meghatározó jelentőségű: a készítmények összetétele országonként, előállítóként eltérő lehet

Bensitrak Mexikó
Besilato de cisatracurio
Cicuryl Mexikó
Cirium Colombia
Cis Atracure
Cisatracurio Brazília, Chile, Colombia, Ecuador, Olaszország, Peru, Spanyolország
Cisatracurium Belgium, Finnország, Franciaország, Írország, Kanada, Magyarország, Nagy-Britannia, Németország, Tunézia
Nimbex Amerikai Egyesült Államok, Ausztria, Belgium, Chile, Dánia, Ecuador, Egyesült Arab Emírségek, Egyiptom, Finnország, Franciaország, Görögország, Hollandia, Irán, Írország, Kanada, Lengyelország, Luxemburg, Magyarország, Malaysia, Mexikó, Nagy-Britannia, Németország, Norvégia, Olaszország, Peru, Portugália, Spanyolország, Svédország, Szaúd-Arábiában, Szlovénia, Törökország, Tunézia, Venezuela
Nimbium Brazília, Colombia
Kompatibilitás   Injekció   Kompatibilitás : Cisatracurium besylate              
Ovdje su prikazane kompatibilnosti ili nekompatibilnosti s tipom nekompatibilnosti (taloženje, promjena boje, modifikacija emulzije itd.) u ovom slučaju. Kompatibilnosti prikazane ovdje najčešće su fizikalne dok se kemijska stabilnost molekule rijetko procjenjuje. Procjena ovih mikstura je proučavana kako bi se razmotrila mogućnost primjene lijeka putem Y-mjesta. Ovi se podaci ne smiju koristiti za pripremu mikstura unaprijed u vrećicama ili štrcaljkama. Ova vrsta informacije se može pronaći u odjeljku « stabilnost u miksturama ».
Vegyület Oldószer Irodalom
Azonnali csapadék Összeegyeztethetetlen
Injekció Cisatracurium besylate 5 mg/ml
Injekció Aciclovir sodium 7 mg/ml
5% glükóz 299
Összeegyeztethető
Injekció Cisatracurium besylate 0.1 & 2 mg/ml
Injekció Aciclovir sodium 7 mg/ml
5% glükóz 299
Összeegyeztethető
Injekció Cisatracurium besylate
Injekció Alfentanil hydrochloride
3601
Összeegyeztethető
Injekció Cisatracurium besylate 0.1 >> 5 mg/ml
Injekció Alfentanil hydrochloride 125 µg/ml
5% glükóz 299
Azonnali csapadék Összeegyeztethetetlen
Injekció Cisatracurium besylate 1,2 mg/ml
Injekció Alprostadil 20 µg/ml
5% glükóz 4651
Azonnali csapadék Összeegyeztethetetlen
Injekció Cisatracurium besylate 1,2 mg/ml
Injekció Alprostadil 20 µg/ml
5% glükóz 4491
Összeegyeztethető
Injekció Cisatracurium besylate 0.1 >> 5 mg/ml
Injekció Amikacin sulfate 5 mg/ml
5% glükóz 299
Összeegyeztethető
Injekció Cisatracurium besylate 0.1 & 2 mg/ml
Injekció Aminophylline 2.5 mg/ml
5% glükóz 299
Zavarosság egy órán belül Összeegyeztethetetlen
Injekció Cisatracurium besylate 5 mg/ml
Injekció Aminophylline 2.5 mg/ml
5% glükóz 299
Összeegyeztethető
Injekció Cisatracurium besylate
Injekció Amiodarone hydrochloride
3464
Összeegyeztethető
Injekció Cisatracurium besylate 5 mg/ml
Injekció Amiodarone hydrochloride 15 mg/ml
5% glükóz 3823
Összeegyeztethető
Injekció Cisatracurium besylate 0.1 mg/ml
Injekció Amphotericin B 0.6 mg/ml
5% glükóz 299
Azonnali csapadék Összeegyeztethetetlen
Injekció Cisatracurium besylate 2 & 5 mg/ml
Injekció Amphotericin B 0.6 mg/ml
5% glükóz 299
Azonnali csapadék Összeegyeztethetetlen
Injekció Cisatracurium besylate 2 mg/ml
Injekció Amphotericin B cholesteryl sulfate complex 0.83 mg/ml
5% glükóz 921
Zavarosság egy órán belül Összeegyeztethetetlen
Injekció Cisatracurium besylate 5 mg/ml
Injekció Ampicillin sodium 20 mg/ml
0,9% nátrium-klorid 299
Összeegyeztethető
Injekció Cisatracurium besylate 0.1 & 2 mg/ml
Injekció Ampicillin sodium 20 mg/ml
5% glükóz 299
Zavarosság egy órán belül Összeegyeztethetetlen
Injekció Cisatracurium besylate 5 mg/ml
Injekció Ampicillin sodium 20 mg/ml
5% glükóz 299
Azonnali zavarosság Összeegyeztethetetlen
Injekció Cisatracurium besylate 5 mg/ml
Injekció Ampicillin sodium - sulbactam sodium 20/10 mg/ml
5% glükóz 299
Azonnali zavarosság Összeegyeztethetetlen
Injekció Cisatracurium besylate 5 mg/ml
Injekció Ampicillin sodium - sulbactam sodium 20/10 mg/ml
0,9% nátrium-klorid 299
Összeegyeztethető
Injekció Cisatracurium besylate 0.1 & 2 mg/ml
Injekció Ampicillin sodium - sulbactam sodium 20/10 mg/ml
5% glükóz 299
Összeegyeztethető
Injekció Cisatracurium besylate 0.1 >> 5 mg/ml
Injekció Aztreonam 40 mg/ml
5% glükóz 299
Összeegyeztethető
Injekció Cisatracurium besylate 0.1 >> 5 mg/ml
Injekció Bumetanide 0.04 mg/ml
5% glükóz 299
Összeegyeztethető
Injekció Cisatracurium besylate 0.1 >> 5 mg/ml
Injekció Buprenorphine hydrochloride 0.04 mg/ml
5% glükóz 299
Összeegyeztethető
Injekció Cisatracurium besylate 0.1 >> 5 mg/ml
Injekció Butorphanol tartrate 0.04 mg/ml
5% glükóz 299
Összeegyeztethető
Injekció Cisatracurium besylate 0.1 >> 5 mg/ml
Injekció Calcium gluconate 40 mg/ml
5% glükóz 299
Összeegyeztethető
Injekció Cisatracurium besylate 1 mg/ml
Injekció Calcium gluconate 20 mg/ml
0,9% nátrium-klorid 3429
Azonnali zavarosság Összeegyeztethetetlen
Injekció Cisatracurium besylate 2 & 5 mg/ml
Injekció Cefazolin sodium 20 mg/ml
5% glükóz 299
Összeegyeztethető
Injekció Cisatracurium besylate 0.1 mg/ml
Injekció Cefazolin sodium 20 mg/ml
5% glükóz 299
Összeegyeztethető
Injekció Cisatracurium besylate 0.4 mg/ml
Injekció Cefiderocol sulfate tosylate 20 mg/mL
5% glükóz 4528
Összeegyeztethető
Injekció Cisatracurium besylate 0.4 mg/ml
Injekció Cefiderocol sulfate tosylate 20 mg/mL
0,9% nátrium-klorid 4528
Azonnali csapadék Összeegyeztethetetlen
Injekció Cisatracurium besylate 0.1 >> 5 mg/ml
Injekció Cefoperazone sodium 40 mg/ml
5% glükóz 299
Összeegyeztethető
Injekció Cisatracurium besylate 0.1 >> 5 mg/ml
Injekció Cefoperazone sodium 40 mg/ml
5% glükóz 299
Zavarosság 4 óra alatt Összeegyeztethetetlen
Injekció Cisatracurium besylate 2 mg/ml
Injekció Cefotaxime sodium 20 mg/ml
5% glükóz 299
Azonnali zavarosság Összeegyeztethetetlen
Injekció Cisatracurium besylate 5 mg/ml
Injekció Cefotaxime sodium 20 mg/ml
5% glükóz 299
Összeegyeztethető
Injekció Cisatracurium besylate 0.1 mg/ml
Injekció Cefotaxime sodium 20 mg/ml
5% glükóz 299
Összeegyeztethető
Injekció Cisatracurium besylate 0.1 mg/ml
Injekció Cefoxitin sodium 20 mg/ml
5% glükóz 299
Azonnali zavarosság Összeegyeztethetetlen
Injekció Cisatracurium besylate 2 & 5 mg/ml
Injekció Cefoxitin sodium 20 mg/ml
5% glükóz 299
Összeegyeztethető
Injekció Cisatracurium besylate 0,5 mg/ml
Injekció Ceftaroline fosamil 2,22 mg/ml
Ringer-laktát oldat 3249
Összeegyeztethető
Injekció Cisatracurium besylate 0,5 mg/ml
Injekció Ceftaroline fosamil 2,22 mg/ml
5% glükóz 3249
Összeegyeztethető
Injekció Cisatracurium besylate 0,5 mg/ml
Injekció Ceftaroline fosamil 2,22 mg/ml
0,9% nátrium-klorid 3249
Azonnali zavarosság Összeegyeztethetetlen
Injekció Cisatracurium besylate 5 mg/ml
Injekció Ceftazidime 40 mg/ml
5% glükóz 299
Összeegyeztethető
Injekció Cisatracurium besylate 0.1 & 2 mg/ml
Injekció Ceftazidime 40 mg/ml
5% glükóz 299
Összeegyeztethető
Injekció Cisatracurium besylate 0.1 & 2 mg/ml
Injekció Ceftizoxime sodium 20 mg/ml
5% glükóz 299
Zavarosság egy órán belül Összeegyeztethetetlen
Injekció Cisatracurium besylate 5 mg/ml
Injekció Ceftizoxime sodium 20 mg/ml
5% glükóz 299
Azonnali csapadék Összeegyeztethetetlen
Injekció Cisatracurium besylate 0.5 mg/ml
Injekció Ceftobiprole medocaril sodium 2 mg/ml
0,9% nátrium-klorid 2269
Azonnali csapadék Összeegyeztethetetlen
Injekció Cisatracurium besylate 0.5 mg/ml
Injekció Ceftobiprole medocaril sodium 2 mg/ml
Ringer-laktát oldat 2269
Azonnali csapadék Összeegyeztethetetlen
Injekció Cisatracurium besylate 0.5 mg/ml
Injekció Ceftobiprole medocaril sodium 2 mg/ml
5% glükóz 2269
Meghatározatlan összeférhetetlenség Összeegyeztethetetlen
Injekció Cisatracurium besylate
Injekció Ceftobiprole medocaril sodium
4650
Összeegyeztethető
Injekció Cisatracurium besylate 0.4 mg/ml
Injekció Ceftolozane / tazobactam 10/5 mg/ml
5% glükóz 3828
Összeegyeztethető
Injekció Cisatracurium besylate 0.4 mg/ml
Injekció Ceftolozane / tazobactam 10/5 mg/ml
0,9% nátrium-klorid 3828
Összeegyeztethető
Injekció Cisatracurium besylate 0.1 >> 5 mg/ml
Injekció Ceftriaxone disodium 20 mg/ml
5% glükóz 299
Azonnali csapadék Összeegyeztethetetlen
Injekció Cisatracurium besylate 2 & 5 mg/ml
Injekció Cefuroxime sodium 30 mg/ml
5% glükóz 299
Összeegyeztethető
Injekció Cisatracurium besylate 0.1 >> 5 mg/ml
Injekció Chlorpromazine hydrochloride 2 mg/ml
5% glükóz 299
Összeegyeztethető
Injekció Cisatracurium besylate 0.1 >> 5 mg/ml
Injekció Cimetidine hydrochloride 12 mg/ml
5% glükóz 299
Összeegyeztethető
Injekció Cisatracurium besylate 0.1 >> 5 mg/ml
Injekció Ciprofloxacin lactate 1 mg/ml
5% glükóz 299
Összeegyeztethető
Injekció Cisatracurium besylate 0.1 >> 5 mg/ml
Injekció Clindamycin phosphate 10 mg/ml
5% glükóz 299
Összeegyeztethető
Injekció Cisatracurium besylate 5 mg/ml
Injekció Clonazepam 0.2 mg/ml
0,9% nátrium-klorid 3823
Összeegyeztethető
Injekció Cisatracurium besylate 5 mg/ml
Injekció Clonidine hydrochloride 0.012 mg/ml
0,9% nátrium-klorid 3823
Azonnali zavarosság Összeegyeztethetetlen
Injekció Cisatracurium besylate 2 & 5 mg/ml
Injekció Co-trimoxazole 0,8/4 mg/ml
5% glükóz 299
Összeegyeztethető
Injekció Cisatracurium besylate 0.1 mg/ml
Injekció Co-trimoxazole 0.8/4 mg/ml
5% glükóz 299
Összeegyeztethető
Injekció Cisatracurium besylate 0.5 mg/ml
Injekció Dexmedetomidine 4 µg/ml
0,9% nátrium-klorid 1712
Összeegyeztethető
Injekció Cisatracurium besylate 0.1 >> 5 mg/ml
Injekció Diazepam 0.25 mg/ml
5% glükóz 299
Azonnali csapadék Összeegyeztethetetlen
Injekció Cisatracurium besylate 0.1 >> 5 mg/ml
Injekció Diazepam 5 mg/ml
5% glükóz 299
Meghatározatlan összeférhetetlenség Összeegyeztethetetlen
Injekció Cisatracurium besylate 5 mg/ml
Injekció Diclofenac 3 mg/ml
0,9% nátrium-klorid 3823
Összeegyeztethető
Injekció Cisatracurium besylate 0.1 >> 5 mg/ml
Injekció Digoxin 250 µg/ml
5% glükóz 299
Összeegyeztethető
Injekció Cisatracurium besylate 1 mg/ml
Injekció Diltiazem hydrochloride 1 mg/ml
0,9% nátrium-klorid 3429
Összeegyeztethető
Injekció Cisatracurium besylate 0.1 >> 5 mg/ml
Injekció Diphenhydramine hydrochloride 2 mg/ml
5% glükóz 299
Összeegyeztethető
Injekció Cisatracurium besylate 0.1 >> 5 mg/ml
Injekció Dobutamine hydrochloride 4 mg/ml
5% glükóz 299
Összeegyeztethető
Injekció Cisatracurium besylate 0.1 >> 5 mg/ml
Injekció Dopamine hydrochloride 3.2 mg/ml
5% glükóz 299
Összeegyeztethető
Injekció Cisatracurium besylate 0.1 >> 5 mg/ml
Injekció Doxycycline hyclate 1 mg/ml
5% glükóz 299
Összeegyeztethető
Injekció Cisatracurium besylate
Injekció Droperidol
3601
Összeegyeztethető
Injekció Cisatracurium besylate 0.1 >> 5 mg/ml
Injekció Droperidol 2.5 mg/ml
5% glükóz 299
Összeegyeztethető
Injekció Cisatracurium besylate 0.1 >> 5 mg/ml
Injekció Enalaprilate 0.1 mg/ml
5% glükóz 299
Összeegyeztethető
Injekció Cisatracurium besylate 0.1 >> 5 mg/ml
Injekció Epinephrine hydrochloride 50 µg/ml
5% glükóz 299
Összeegyeztethető
Injekció Cisatracurium besylate 0,4 mg/ml
Injekció Eravacycline 0,6 mg/ml
0,9% nátrium-klorid 4434
Összeegyeztethető
Injekció Cisatracurium besylate 0.1 >> 5 mg/ml
Injekció Esmolol hydrochloride 10 mg/ml
5% glükóz 299
Összeegyeztethető
Injekció Cisatracurium besylate 0.4 mg/ml
Injekció Fosfomycin 30 mg/ml
5% glükóz 4055
Azonnali zavarosság Összeegyeztethetetlen
Injekció Cisatracurium besylate 5 mg/ml
NaHCO3 3823
Összeegyeztethető
Injekció Cisatracurium besylate 5 mg/ml
Injekció Esmolol hydrochloride 10 mg/ml
0,9% nátrium-klorid 3823
Összeegyeztethető
Injekció Cisatracurium besylate 2 mg/ml
Injekció Esmolol hydrochloride 10 mg/ml
0,9% nátrium-klorid 3879
Összeegyeztethető
Injekció Cisatracurium besylate 1 mg/ml
Injekció Esomeprazole sodium 0,4 mg/ml
0,9% nátrium-klorid 3429
Összeegyeztethető
Injekció Cisatracurium besylate 0.1 >> 5 mg/ml
Injekció Famotidine 2 mg/ml
5% glükóz 299
Összeegyeztethető
Injekció Cisatracurium besylate 0.5 mg/ml
Injekció Fenoldopam mesylate 80 µg/ml
0,9% nátrium-klorid 1803
Összeegyeztethető
Injekció Cisatracurium besylate 0.1 >> 5 mg/ml
Injekció Fentanyl citrate 12.5 µg/ml
5% glükóz 299
Összeegyeztethető
Injekció Cisatracurium besylate
Injekció Fentanyl citrate
3601
Összeegyeztethető
Injekció Cisatracurium besylate 0.1 >> 5 mg/ml
Injekció Fluconazole 2 mg/ml
5% glükóz 299
Összeegyeztethető
Injekció Cisatracurium besylate 0.4 mg/ml
Injekció Fosfomycin 30 mg/ml
0,9% nátrium-klorid 4055
Meghatározatlan összeférhetetlenség Összeegyeztethetetlen
Injekció Cisatracurium besylate
Injekció Furosemide
3465
Azonnali zavarosság Összeegyeztethetetlen
Injekció Cisatracurium besylate 2 & 5 mg/ml
NaHCO3 299
Azonnali csapadék Összeegyeztethetetlen
Injekció Cisatracurium besylate 5 mg/ml
Injekció Furosemide 10 mg/ml
0,9% nátrium-klorid 3463
Összeegyeztethető
Injekció Cisatracurium besylate 0.1 mg/ml
Injekció Furosemide 3 mg/ml
5% glükóz 299
Meghatározatlan összeférhetetlenség Összeegyeztethetetlen
Injekció Cisatracurium besylate 5 mg/ml
Injekció Furosemide 10 mg/ml
0,9% nátrium-klorid 3823
Azonnali csapadék Összeegyeztethetetlen
Injekció Cisatracurium besylate 5 mg/ml
Injekció Ganciclovir sodium 20 mg/ml
5% glükóz 299
Meghatározatlan összeférhetetlenség Összeegyeztethetetlen
Injekció Cisatracurium besylate
NaHCO3 3466
Összeegyeztethető
Injekció Cisatracurium besylate 0.1 & 2 mg/ml
Injekció Ganciclovir sodium 20 mg/ml
5% glükóz 299
Meghatározatlan összeférhetetlenség Összeegyeztethetetlen
Injekció Cisatracurium besylate
NaHCO3 3601
Azonnali csapadék Összeegyeztethetetlen
Injekció Cisatracurium besylate 2 & 5 mg/ml
Injekció Furosemide 3 mg/ml
5% glükóz 299
Meghatározatlan összeférhetetlenség Összeegyeztethetetlen
Injekció Cisatracurium besylate 5 mg/ml
Injekció Furosemide 10 mg/ml
Egy sem 3134
Összeegyeztethető
Injekció Cisatracurium besylate 0.1 >> 5 mg/ml
Injekció Gentamicin sulfate 5 mg/ml
5% glükóz 299
Összeegyeztethető
Injekció Cisatracurium besylate 0.1 >> 5 mg/ml
Injekció Haloperidol lactate 0.2 mg/ml
5% glükóz 299
Azonnali csapadék Összeegyeztethetetlen
Injekció Cisatracurium besylate 5 mg/ml
Injekció Heparin sodium 100 UI/ml
5% glükóz 299
Az emulzió instabilitása 4 óra múlva Összeegyeztethetetlen
Injekció Cisatracurium besylate 2 mg/ml
Parenterális táplálás (lipid) 4507
Meghatározatlan összeférhetetlenség Összeegyeztethetetlen
Injekció Cisatracurium besylate
Ringer-laktát oldat 3601
Színváltozás Összeegyeztethetetlen
Injekció Cisatracurium besylate 5 mg/ml
Injekció Heparin sodium 500 UI/ml
0,9% nátrium-klorid 3463
Összeegyeztethető
Injekció Cisatracurium besylate 0.1 & 2 mg/ml
Injekció Heparin sodium 100 UI/ml
5% glükóz 299
Meghatározatlan összeférhetetlenség Összeegyeztethetetlen
Injekció Cisatracurium besylate 5 mg/ml
Injekció Heparin sodium 500 UI/ml
0,9% nátrium-klorid 3823
Összeegyeztethető
Injekció Cisatracurium besylate
5% glükóz 3601
Meghatározatlan összeférhetetlenség Összeegyeztethetetlen
Injekció Cisatracurium besylate
Injekció Heparin sodium
3540
Összeegyeztethető
Injekció Cisatracurium besylate 0.5 mg/ml
Injekció Hetastarch 60 mg/ml
egyedi oldószer 1721
Összeegyeztethető
Injekció Cisatracurium besylate 0.1 >> 5 mg/ml
Injekció Hydrocortisone sodium succinate 1 mg/ml
5% glükóz 299
Összeegyeztethető
Injekció Cisatracurium besylate 2 mg/ml
Injekció Hydrocortisone sodium succinate 1 mg/ml
0,9% nátrium-klorid 4465
Összeegyeztethető
Injekció Cisatracurium besylate 0.1 >> 5 mg/ml
Injekció Hydromorphone hydrochloride 0.5 mg/ml
5% glükóz 299
Összeegyeztethető
Injekció Cisatracurium besylate 0.1 >> 5 mg/ml
Injekció Hydroxyzine dihydrochloride 2 mg/ml
5% glükóz 299
Összeegyeztethető
Injekció Cisatracurium besylate 0.1 >> 5 mg/ml
Injekció Imipenem - cilastatin sodium 10 mg/ml
5% glükóz 299
Összeegyeztethető
Injekció Cisatracurium besylate 0,4 mg/ml
Injekció Imipenem-Cilastatin / Relebactam 5 mg/ml
0,9% nátrium-klorid 4433
Összeegyeztethető
Injekció Cisatracurium besylate 0,4 mg/ml
Injekció Imipenem-Cilastatin / Relebactam 5 mg/ml
5% glükóz 4433
Összeegyeztethető
Injekció Cisatracurium besylate 1 mg/ml
Injekció Insulin 1 UI/ml
0,9% nátrium-klorid 3429
Összeegyeztethető
Injekció Cisatracurium besylate 5 mg/ml
Injekció Insulin 2 UI/ml
0,9% nátrium-klorid 3823
Összeegyeztethető
Injekció Cisatracurium besylate 0.4 mg/ml
Injekció Isavuconazonium sulfate 1.5 mg/ml
0,9% nátrium-klorid 3829
Összeegyeztethető
Injekció Cisatracurium besylate 0.4 mg/ml
Injekció Isavuconazonium sulfate 1.5 mg/ml
5% glükóz 3829
Összeegyeztethető
Injekció Cisatracurium besylate 0.1 >> 5 mg/ml
Injekció Isoprenaline hydrochloride 0.02 mg/ml
5% glükóz 299
Összeegyeztethető
Injekció Cisatracurium besylate 0.1 >> 5 mg/ml
Injekció Ketorolac tromethamine 15 mg/ml
5% glükóz 299
Meghatározatlan összeférhetetlenség Összeegyeztethetetlen
Injekció Cisatracurium besylate
Injekció Ketorolac tromethamine
3601
Összeegyeztethető
Injekció Cisatracurium besylate 0.1 >> 5 mg/ml
Injekció Lorazepam 0.5 mg/ml
5% glükóz 299
Összeegyeztethető
Injekció Cisatracurium besylate 0.1 >> 5 mg/ml
Injekció Magnesium sulfate 100 mg/ml
5% glükóz 299
Összeegyeztethető
Injekció Cisatracurium besylate 0.1 >> 5 mg/ml
Injekció Mannitol 150 mg/ml
5% glükóz 299
Összeegyeztethető
Injekció Cisatracurium besylate
0,9% nátrium-klorid 3601
Összeegyeztethető
Injekció Cisatracurium besylate 2 mg/ml
Injekció Labetalol hydrochloride 5 mg/ml
0,9% nátrium-klorid 3879
Összeegyeztethető
Injekció Cisatracurium besylate 1 mg/ml
Injekció Levetiracetam 5 mg/ml
0,9% nátrium-klorid 4569
Összeegyeztethető
Injekció Cisatracurium besylate 0.1 >> 5 mg/ml
Injekció Lidocaine hydrochloride 8 mg/ml
5% glükóz 299
Összeegyeztethető
Injekció Cisatracurium besylate 2 mg/ml
Injekció Linezolid 2 mg/ml
Egy sem 1925
Összeegyeztethető
Injekció Cisatracurium besylate 0.1 mg/ml
Injekció Methylprednisolone sodium succinate 5 mg/ml
5% glükóz 299
Azonnali zavarosság Összeegyeztethetetlen
Injekció Cisatracurium besylate 2 & 5 mg/ml
Injekció Methylprednisolone sodium succinate 5 mg/ml
5% glükóz 299
Összeegyeztethető
Injekció Cisatracurium besylate 0.1 >> 5 mg/ml
Injekció Metoclopramide hydrochloride 5 mg/ml
5% glükóz 299
Összeegyeztethető
Injekció Cisatracurium besylate 2 mg/ml
Injekció Metoprolol tartrate 0.4 mg/ml
0,9% nátrium-klorid 3879
Összeegyeztethető
Injekció Cisatracurium besylate 0.1 >> 5 mg/ml
Injekció Metronidazole 5 mg/ml
5% glükóz 299
Azonnali csapadék Összeegyeztethetetlen
Injekció Cisatracurium besylate 0.5 mg/ml
Injekció Micafungin 1.5 mg/ml
0,9% nátrium-klorid 2108
Összeegyeztethető
Injekció Cisatracurium besylate
Injekció Midazolam hydrochloride
3601
Összeegyeztethető
Injekció Cisatracurium besylate 5 mg/ml
Injekció Midazolam hydrochloride 2.1 mg/ml
0,9% nátrium-klorid 3823
Összeegyeztethető
Injekció Cisatracurium besylate 0.1 >> 5 mg/ml
Injekció Midazolam hydrochloride 1 mg/ml
5% glükóz 299
Összeegyeztethető
Injekció Cisatracurium besylate 0.1 >> 5 mg/ml
Injekció Minocycline hydrochloride 0.2 mg/ml
5% glükóz 299
Összeegyeztethető
Injekció Cisatracurium besylate 0.1 >> 5 mg/ml
Injekció Morphine sulfate 1 mg/ml
5% glükóz 299
Összeegyeztethető
Injekció Cisatracurium besylate 0.1 >> 5 mg/ml
Injekció Nalbuphine hydrochloride 10 mg/ml
5% glükóz 299
Összeegyeztethető
Injekció Cisatracurium besylate 0.1 >> 5 mg/ml
Injekció Netilmicin sulfate 5 mg/ml
5% glükóz 299
Összeegyeztethető
Injekció Cisatracurium besylate 1 mg/ml
Injekció Nicardipine hydrochloride 0,5 mg/ml
0,9% nátrium-klorid 3429
Összeegyeztethető
Injekció Cisatracurium besylate 5 mg/ml
Injekció Nimodipine 0.2 mg/ml
0,9% nátrium-klorid 3823
Összeegyeztethető
Injekció Cisatracurium besylate 0.1 >> 5 mg/ml
Injekció Nitroglycerin 0.4 mg/ml
5% glükóz 299
Összeegyeztethető
Injekció Cisatracurium besylate 5 mg/ml
Injekció Nitroglycerin 0.2 mg/ml
5% glükóz 3823
Azonnali csapadék Összeegyeztethetetlen
Injekció Cisatracurium besylate 2 & 5 mg/ml
Injekció Nitroprusside sodium 2 mg/ml
5% glükóz 299
Összeegyeztethető
Injekció Cisatracurium besylate 0.1 mg/ml
Injekció Nitroprusside sodium 2 mg/ml
5% glükóz 299
Összeegyeztethető
Injekció Cisatracurium besylate 0.1 >> 5 mg/ml
Injekció Norepinephrine bitartrate 0.12 mg/ml
5% glükóz 299
Összeegyeztethető
Injekció Cisatracurium besylate 0.1 >> 5 mg/ml
Injekció Ofloxacin 4 mg/ml
5% glükóz 299
Összeegyeztethető
Injekció Cisatracurium besylate 5 mg/ml
Injekció Omeprazole sodium 1.6 mg/ml
0,9% nátrium-klorid 3823
Összeegyeztethető
Injekció Cisatracurium besylate 0.1 >> 5 mg/ml
Injekció Ondansetron hydrochloride 1 mg/ml
5% glükóz 299
Összeegyeztethető
Injekció Cisatracurium besylate 0,5 mg/ml
Injekció Palonosetron hydrochloride 50 µg/ml
5% glükóz 2227
Zavarosság egy órán belül Összeegyeztethetetlen
Injekció Cisatracurium besylate 1 mg/ml
Injekció Pantoprazole sodium 0,8 mg/ml
0,9% nátrium-klorid 3429
Összeegyeztethető
Injekció Cisatracurium besylate 0.1 >> 5 mg/ml
Injekció Pethidine hydrochloride 4 mg/ml
5% glükóz 299
Összeegyeztethető
Injekció Cisatracurium besylate 0.1 >> 5 mg/ml
Injekció Phenylephrine hydrochloride 1 mg/ml
5% glükóz 299
Összeegyeztethető
Injekció Cisatracurium besylate 0.1 mg/ml
Injekció Piperacillin sodium 40 mg/ml
5% glükóz 299
Azonnali zavarosság Összeegyeztethetetlen
Injekció Cisatracurium besylate 2 & 5 mg/ml
Injekció Piperacillin sodium 40 mg/ml
5% glükóz 299
Összeegyeztethető
Injekció Cisatracurium besylate 0.1 & 2 mg/ml
Injekció Piperacillin sodium / tazobactam 40/5 mg/ml
5% glükóz 299
Csapadék 4 óra után Összeegyeztethetetlen
Injekció Cisatracurium besylate 5 mg/ml
Injekció Piperacillin sodium / tazobactam 40/5 mg/ml
5% glükóz 299
Összeegyeztethető
Injekció Cisatracurium besylate 0.4 mg/ml
Injekció Plazomicin sulfate 24 mg/ml
0,9% nátrium-klorid 4145
Összeegyeztethető
Injekció Cisatracurium besylate 0.1 >> 5 mg/ml
Injekció Potassium chloride 100 mEq/l
5% glükóz 299
Összeegyeztethető
Injekció Cisatracurium besylate 5 mg/ml
Injekció Potassium chloride 10 mEq/l
0,9% nátrium-klorid 3823
Összeegyeztethető
Injekció Cisatracurium besylate 0.1 >> 5 mg/ml
Injekció Procainamide hydrochloride 10 mg/ml
5% glükóz 299
Összeegyeztethető
Injekció Cisatracurium besylate 0.1 >> 5 mg/ml
Injekció Prochlorperazine edysilate 0.5 mg/ml
5% glükóz 299
Összeegyeztethető
Injekció Cisatracurium besylate 0.1 >> 5 mg/ml
Injekció Promethazine hydrochloride 2 mg/ml
5% glükóz 299
Meghatározatlan összeférhetetlenség Összeegyeztethetetlen
Injekció Cisatracurium besylate
Injekció Propofol
3601
Összeegyeztethető
Injekció Cisatracurium besylate 0.1 >> 5 mg/ml
Injekció Ranitidine hydrochloride 2 mg/ml
5% glükóz 299
Összeegyeztethető
Injekció Cisatracurium besylate 5 mg/ml
Injekció Remifentanil hydrochloride 100 µg/ml
0,9% nátrium-klorid 3823
Összeegyeztethető
Injekció Cisatracurium besylate 2 mg/ml
Injekció Remifentanil hydrochloride 25 & 250 µg/ml
0,9% nátrium-klorid 59
Meghatározatlan összeférhetetlenség Összeegyeztethetetlen
Injekció Cisatracurium besylate
Injekció Sodium bicarbonate
3466
Zavarosság egy órán belül Összeegyeztethetetlen
Injekció Cisatracurium besylate 2 mg/ml
Injekció Sodium bicarbonate 84 mg/ml
5% glükóz 299
Meghatározatlan összeférhetetlenség Összeegyeztethetetlen
Injekció Cisatracurium besylate
Injekció Sodium bicarbonate
3601
Összeegyeztethető
Injekció Cisatracurium besylate 0.1 mg/ml
Injekció Sodium bicarbonate 84 mg/ml
5% glükóz 299
Azonnali zavarosság Összeegyeztethetetlen
Injekció Cisatracurium besylate 5 mg/ml
Injekció Sodium bicarbonate 84 mg/ml
5% glükóz 299
2 órán belüli zavarosság Összeegyeztethetetlen
Injekció Cisatracurium besylate 5 mg/ml
Injekció Sodium bicarbonate 84 mg/ml
Egy sem 3212
Összeegyeztethető
Injekció Cisatracurium besylate 0.1 >> 5 mg/ml
Injekció Sufentanil citrate 0.0125 mg/ml
5% glükóz 299
Összeegyeztethető
Injekció Cisatracurium besylate
Injekció Sufentanil citrate
3601
Összeegyeztethető
Injekció Cisatracurium besylate 0,4 mg/ml
Injekció Sulbactam/durlobactam 15/15 mg/ml
0,9% nátrium-klorid 4801
Összeegyeztethető
Injekció Cisatracurium besylate 0.4 mg/ml
Injekció Tedizolid phosphate 0.8 mg/ml
0,9% nátrium-klorid 3827
Összeegyeztethető
Injekció Cisatracurium besylate 0.1 >> 5 mg/ml
Injekció Theophylline 3.2 mg/ml
5% glükóz 299
Meghatározatlan összeférhetetlenség Összeegyeztethetetlen
Injekció Cisatracurium besylate
Injekció Thiopental sodium
3601
Összeegyeztethető
Injekció Cisatracurium besylate 0.1 mg/ml
Injekció Thiopental sodium 25 mg/ml
5% glükóz 299
Meghatározatlan összeférhetetlenség Összeegyeztethetetlen
Injekció Cisatracurium besylate 5 mg/ml
Injekció Thiopental sodium 60 mg/ml
0,9% nátrium-klorid 3823
Azonnali csapadék Összeegyeztethetetlen
Injekció Cisatracurium besylate 2 & 5 mg/ml
Injekció Thiopental sodium 25 mg/ml
5% glükóz 299
Összeegyeztethető
Injekció Cisatracurium besylate 0.1 & 2 mg/ml
Injekció Ticarcillin / clavulanic acid 30 mg/ml
5% glükóz 299
Azonnali zavarosság Összeegyeztethetetlen
Injekció Cisatracurium besylate 5 mg/ml
Injekció Ticarcillin / clavulanic acid 30 mg/ml
5% glükóz 299
Összeegyeztethető
Injekció Cisatracurium besylate 0.1 >> 5 mg/ml
Injekció Tobramycin sulfate 5 mg/ml
5% glükóz 299
Összeegyeztethető
Injekció Cisatracurium besylate 0.1 >> 5 mg/ml
Injekció Vancomycin hydrochloride 10 mg/ml
5% glükóz 299
Összeegyeztethető
Injekció Cisatracurium besylate 1 mg/ml
Injekció Vasopressin 1 UI/ml
0,9% nátrium-klorid 3429
Összeegyeztethető
Injekció Cisatracurium besylate 0.1 >> 5 mg/ml
Injekció Zidovudine 4 mg/ml
5% glükóz 299

  Mentions Légales