Dernière mise à jour :
17/12/2025
Curarisant   Cisatracurium besylate  
injectable
Stabilité des solutions Stabilité en mélange Facteur influençant la stabilité Compatibilités Voie d’administration Bibliographie pdf
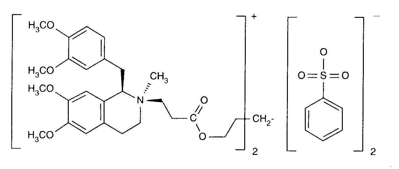
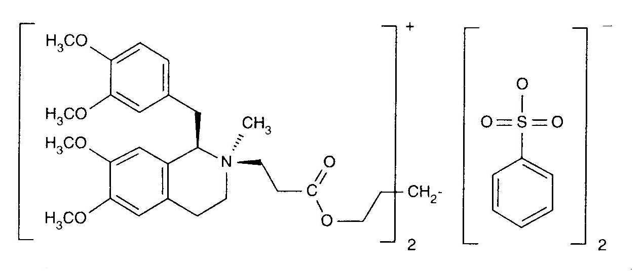
   Structure chimique  

Noms commerciaux   Noms commerciaux     

Les noms commerciaux sont donnés à titre indicatif et la composition en excipients peut être différente selon les pays et selon les laboratoires

Bensitrak Mexique
Besilato de cisatracurio
Cicuryl Mexique
Cirium Colombie
Cis Atracure
Cisatracurio Brésil, Chili, Colombie, Equateur, Espagne, Italie, Pérou
Cisatracurium Allemagne, Belgique, Canada, Finlande, France, Grande Bretagne, Hongrie, Irlande, Tunisie
Nimbex Allemagne, Arabie Saoudite, Autriche, Belgique, Canada, Chili, Danemark, Egypte, Emirats Arabes Unis , Equateur, Espagne, Etats Unis d’Amérique, Finlande, France, Grande Bretagne, Grèce, Hongrie, Iran, Irlande, Italie, Luxembourg, Malaisie, Mexique, Norvège, Pays bas, Pérou, Pologne, Portugal, Slovénie, Suède, Tunisie, Turquie, Vénézuela
Nimbium Brésil, Colombie
Stabilité en mélange   injectable   Stabilité en mélange : Cisatracurium besylate     
Contenant Solvant Concentration Molécule Température Conservation Durée de stabilité Bibliographie
Verre Glucose 5% 0.26 mg/ml
injectable   Cisatracurium besylate   
injectable   Palonosetron hydrochloride 25.4 µg/ml
25°C
4 Heure
Non précisée 2227
Niveau de preuve A +

  Mentions Légales