Последно актуализиране :
18/03/2026
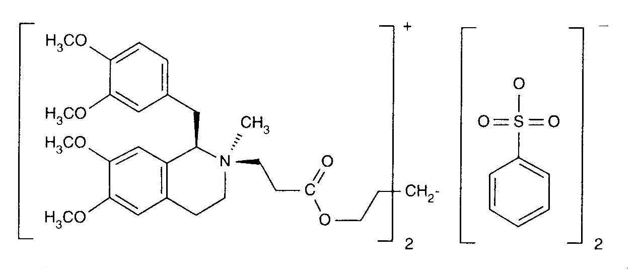
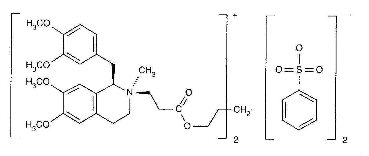
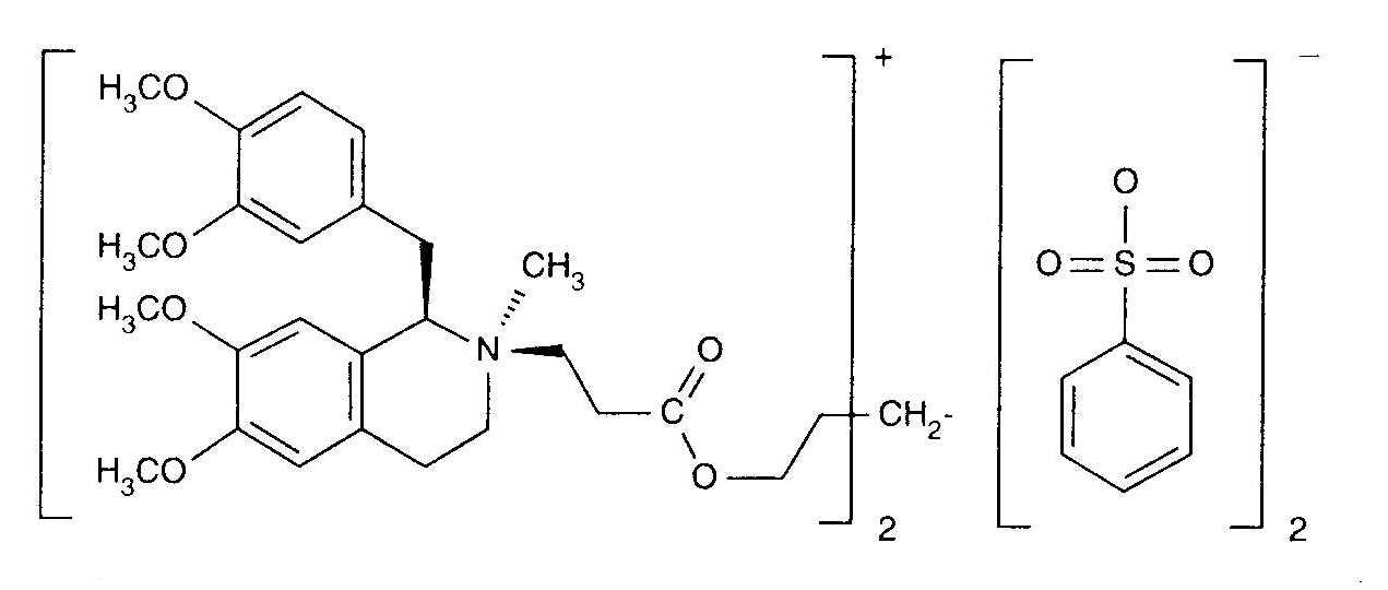
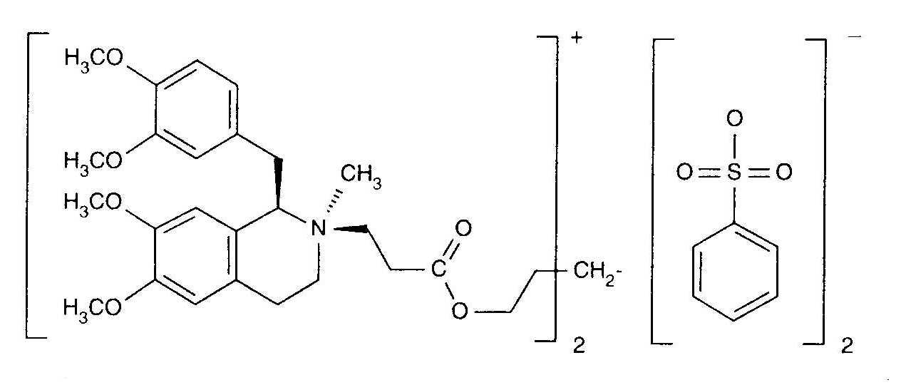
Кураре-миметик   Cisatracurium besylate  
Инжекция/Инжекционен
Стабилност на разтвори Стабилност на смеси Фактори, повлияващи стабилността Съвместимост Път на въвеждане Библиография Pdf
   Химична структура  

Търговско наименование   Търговско наименование     

Търговските имена са примерни и съставът на помощните вещества може да бъде различен в зависимост от държавата и лабораториите

Bensitrak Мексико
Besilato de cisatracurio
Cicuryl Мексико
Cirium Колумбия
Cis Atracure
Cisatracurio Бразилия, Еквадор, Испания, Италия, Колумбия, Перу, Чили
Cisatracurium Белгия, Великобритания, Германия, Ирландия, Канада, Тунис, Унгария, Финландия, Франция
Nimbex Австрия, Белгия, Великобритания, Венецуела, Германия, Гърция, Дания, Египет, Еквадор, Иран, Ирландия, Испания, Италия, Канада, Люксенбург, Малайзия, Мексико, Норвегия, Обединени арабски емирства, Перу, Полша, Португалия, Саудитска Арабия, Словения, Съединени Американски щати / САЩ, Тунис, Турция, Унгария, Финландия, Франция, Холандия, Чили, Швеция
Nimbium Бразилия, Колумбия
Съвместимост   Инжекция/Инжекционен   Съвместимост : Cisatracurium besylate              
Този екран показва съвместимостта или несъвместимостта с, в този случай, вида на несъвместимостта (утаяване, промяна на цвета, модификация на емулсия и др.). Показаните тук съвместимости са предимно физически, като рядко се оценява химическата стабилност на всяка молекула. Оценката на тези смеси беше проучена, за да се разгледа възможността за приложение на Y-място на пациента. Тези данни не могат да се използват за предварително приготвяне на смеси в торбички или спринцовки. Този тип информация е достъпна на екрана "Стабилност в сместа".
Състав / молекула Разтворител Библиография
Незабавни валежи Несъвместим
Инжекция/Инжекционен Cisatracurium besylate 5 mg/ml
Инжекция/Инжекционен Aciclovir sodium 7 mg/ml
Glucose 5% 299
съвместим
Инжекция/Инжекционен Cisatracurium besylate 0.1 & 2 mg/ml
Инжекция/Инжекционен Aciclovir sodium 7 mg/ml
Glucose 5% 299
съвместим
Инжекция/Инжекционен Cisatracurium besylate
Инжекция/Инжекционен Alfentanil hydrochloride
3601
съвместим
Инжекция/Инжекционен Cisatracurium besylate 0.1 >> 5 mg/ml
Инжекция/Инжекционен Alfentanil hydrochloride 125 µg/ml
Glucose 5% 299
Незабавни валежи Несъвместим
Инжекция/Инжекционен Cisatracurium besylate 1,2 mg/ml
Инжекция/Инжекционен Alprostadil 20 µg/ml
Glucose 5% 4651
Незабавни валежи Несъвместим
Инжекция/Инжекционен Cisatracurium besylate 1,2 mg/ml
Инжекция/Инжекционен Alprostadil 20 µg/ml
Glucose 5% 4491
съвместим
Инжекция/Инжекционен Cisatracurium besylate 0.1 >> 5 mg/ml
Инжекция/Инжекционен Amikacin sulfate 5 mg/ml
Glucose 5% 299
съвместим
Инжекция/Инжекционен Cisatracurium besylate 0.1 & 2 mg/ml
Инжекция/Инжекционен Aminophylline 2.5 mg/ml
Glucose 5% 299
Мътност за един час Несъвместим
Инжекция/Инжекционен Cisatracurium besylate 5 mg/ml
Инжекция/Инжекционен Aminophylline 2.5 mg/ml
Glucose 5% 299
съвместим
Инжекция/Инжекционен Cisatracurium besylate
Инжекция/Инжекционен Amiodarone hydrochloride
3464
съвместим
Инжекция/Инжекционен Cisatracurium besylate 5 mg/ml
Инжекция/Инжекционен Amiodarone hydrochloride 15 mg/ml
Glucose 5% 3823
съвместим
Инжекция/Инжекционен Cisatracurium besylate 0.1 mg/ml
Инжекция/Инжекционен Amphotericin B 0.6 mg/ml
Glucose 5% 299
Незабавни валежи Несъвместим
Инжекция/Инжекционен Cisatracurium besylate 2 & 5 mg/ml
Инжекция/Инжекционен Amphotericin B 0.6 mg/ml
Glucose 5% 299
Незабавни валежи Несъвместим
Инжекция/Инжекционен Cisatracurium besylate 2 mg/ml
Инжекция/Инжекционен Amphotericin B cholesteryl sulfate complex 0.83 mg/ml
Glucose 5% 921
Мътност за един час Несъвместим
Инжекция/Инжекционен Cisatracurium besylate 5 mg/ml
Инжекция/Инжекционен Ampicillin sodium 20 mg/ml
Sodium chloride 0,9% 299
съвместим
Инжекция/Инжекционен Cisatracurium besylate 0.1 & 2 mg/ml
Инжекция/Инжекционен Ampicillin sodium 20 mg/ml
Glucose 5% 299
Мътност за един час Несъвместим
Инжекция/Инжекционен Cisatracurium besylate 5 mg/ml
Инжекция/Инжекционен Ampicillin sodium 20 mg/ml
Glucose 5% 299
Незабавна мътност Несъвместим
Инжекция/Инжекционен Cisatracurium besylate 5 mg/ml
Инжекция/Инжекционен Ampicillin sodium - sulbactam sodium 20/10 mg/ml
Glucose 5% 299
Незабавна мътност Несъвместим
Инжекция/Инжекционен Cisatracurium besylate 5 mg/ml
Инжекция/Инжекционен Ampicillin sodium - sulbactam sodium 20/10 mg/ml
Sodium chloride 0,9% 299
съвместим
Инжекция/Инжекционен Cisatracurium besylate 0.1 & 2 mg/ml
Инжекция/Инжекционен Ampicillin sodium - sulbactam sodium 20/10 mg/ml
Glucose 5% 299
съвместим
Инжекция/Инжекционен Cisatracurium besylate 0.1 >> 5 mg/ml
Инжекция/Инжекционен Aztreonam 40 mg/ml
Glucose 5% 299
съвместим
Инжекция/Инжекционен Cisatracurium besylate 0.1 >> 5 mg/ml
Инжекция/Инжекционен Bumetanide 0.04 mg/ml
Glucose 5% 299
съвместим
Инжекция/Инжекционен Cisatracurium besylate 0.1 >> 5 mg/ml
Инжекция/Инжекционен Buprenorphine hydrochloride 0.04 mg/ml
Glucose 5% 299
съвместим
Инжекция/Инжекционен Cisatracurium besylate 0.1 >> 5 mg/ml
Инжекция/Инжекционен Butorphanol tartrate 0.04 mg/ml
Glucose 5% 299
съвместим
Инжекция/Инжекционен Cisatracurium besylate 0.1 >> 5 mg/ml
Инжекция/Инжекционен Calcium gluconate 40 mg/ml
Glucose 5% 299
съвместим
Инжекция/Инжекционен Cisatracurium besylate 1 mg/ml
Инжекция/Инжекционен Calcium gluconate 20 mg/ml
Sodium chloride 0,9% 3429
Незабавна мътност Несъвместим
Инжекция/Инжекционен Cisatracurium besylate 2 & 5 mg/ml
Инжекция/Инжекционен Cefazolin sodium 20 mg/ml
Glucose 5% 299
съвместим
Инжекция/Инжекционен Cisatracurium besylate 0.1 mg/ml
Инжекция/Инжекционен Cefazolin sodium 20 mg/ml
Glucose 5% 299
съвместим
Инжекция/Инжекционен Cisatracurium besylate 0.4 mg/ml
Инжекция/Инжекционен Cefiderocol sulfate tosylate 20 mg/mL
Glucose 5% 4528
съвместим
Инжекция/Инжекционен Cisatracurium besylate 0.4 mg/ml
Инжекция/Инжекционен Cefiderocol sulfate tosylate 20 mg/mL
Sodium chloride 0,9% 4528
Незабавни валежи Несъвместим
Инжекция/Инжекционен Cisatracurium besylate 0.1 >> 5 mg/ml
Инжекция/Инжекционен Cefoperazone sodium 40 mg/ml
Glucose 5% 299
съвместим
Инжекция/Инжекционен Cisatracurium besylate 0.1 >> 5 mg/ml
Инжекция/Инжекционен Cefoperazone sodium 40 mg/ml
Glucose 5% 299
Мътност за 4 часа Несъвместим
Инжекция/Инжекционен Cisatracurium besylate 2 mg/ml
Инжекция/Инжекционен Cefotaxime sodium 20 mg/ml
Glucose 5% 299
Незабавна мътност Несъвместим
Инжекция/Инжекционен Cisatracurium besylate 5 mg/ml
Инжекция/Инжекционен Cefotaxime sodium 20 mg/ml
Glucose 5% 299
съвместим
Инжекция/Инжекционен Cisatracurium besylate 0.1 mg/ml
Инжекция/Инжекционен Cefotaxime sodium 20 mg/ml
Glucose 5% 299
съвместим
Инжекция/Инжекционен Cisatracurium besylate 0.1 mg/ml
Инжекция/Инжекционен Cefoxitin sodium 20 mg/ml
Glucose 5% 299
Незабавна мътност Несъвместим
Инжекция/Инжекционен Cisatracurium besylate 2 & 5 mg/ml
Инжекция/Инжекционен Cefoxitin sodium 20 mg/ml
Glucose 5% 299
съвместим
Инжекция/Инжекционен Cisatracurium besylate 0,5 mg/ml
Инжекция/Инжекционен Ceftaroline fosamil 2,22 mg/ml
Ринтер лактат 3249
съвместим
Инжекция/Инжекционен Cisatracurium besylate 0,5 mg/ml
Инжекция/Инжекционен Ceftaroline fosamil 2,22 mg/ml
Glucose 5% 3249
съвместим
Инжекция/Инжекционен Cisatracurium besylate 0,5 mg/ml
Инжекция/Инжекционен Ceftaroline fosamil 2,22 mg/ml
Sodium chloride 0,9% 3249
Незабавна мътност Несъвместим
Инжекция/Инжекционен Cisatracurium besylate 5 mg/ml
Инжекция/Инжекционен Ceftazidime 40 mg/ml
Glucose 5% 299
съвместим
Инжекция/Инжекционен Cisatracurium besylate 0.1 & 2 mg/ml
Инжекция/Инжекционен Ceftazidime 40 mg/ml
Glucose 5% 299
съвместим
Инжекция/Инжекционен Cisatracurium besylate 0.1 & 2 mg/ml
Инжекция/Инжекционен Ceftizoxime sodium 20 mg/ml
Glucose 5% 299
Мътност за един час Несъвместим
Инжекция/Инжекционен Cisatracurium besylate 5 mg/ml
Инжекция/Инжекционен Ceftizoxime sodium 20 mg/ml
Glucose 5% 299
Незабавни валежи Несъвместим
Инжекция/Инжекционен Cisatracurium besylate 0.5 mg/ml
Инжекция/Инжекционен Ceftobiprole medocaril sodium 2 mg/ml
Sodium chloride 0,9% 2269
Незабавни валежи Несъвместим
Инжекция/Инжекционен Cisatracurium besylate 0.5 mg/ml
Инжекция/Инжекционен Ceftobiprole medocaril sodium 2 mg/ml
Ринтер лактат 2269
Незабавни валежи Несъвместим
Инжекция/Инжекционен Cisatracurium besylate 0.5 mg/ml
Инжекция/Инжекционен Ceftobiprole medocaril sodium 2 mg/ml
Glucose 5% 2269
Неопределена несъвместимост Несъвместим
Инжекция/Инжекционен Cisatracurium besylate
Инжекция/Инжекционен Ceftobiprole medocaril sodium
4650
съвместим
Инжекция/Инжекционен Cisatracurium besylate 0.4 mg/ml
Инжекция/Инжекционен Ceftolozane / tazobactam 10/5 mg/ml
Glucose 5% 3828
съвместим
Инжекция/Инжекционен Cisatracurium besylate 0.4 mg/ml
Инжекция/Инжекционен Ceftolozane / tazobactam 10/5 mg/ml
Sodium chloride 0,9% 3828
съвместим
Инжекция/Инжекционен Cisatracurium besylate 0.1 >> 5 mg/ml
Инжекция/Инжекционен Ceftriaxone disodium 20 mg/ml
Glucose 5% 299
Незабавни валежи Несъвместим
Инжекция/Инжекционен Cisatracurium besylate 2 & 5 mg/ml
Инжекция/Инжекционен Cefuroxime sodium 30 mg/ml
Glucose 5% 299
съвместим
Инжекция/Инжекционен Cisatracurium besylate 0.1 >> 5 mg/ml
Инжекция/Инжекционен Chlorpromazine hydrochloride 2 mg/ml
Glucose 5% 299
съвместим
Инжекция/Инжекционен Cisatracurium besylate 0.1 >> 5 mg/ml
Инжекция/Инжекционен Cimetidine hydrochloride 12 mg/ml
Glucose 5% 299
съвместим
Инжекция/Инжекционен Cisatracurium besylate 0.1 >> 5 mg/ml
Инжекция/Инжекционен Ciprofloxacin lactate 1 mg/ml
Glucose 5% 299
съвместим
Инжекция/Инжекционен Cisatracurium besylate 0.1 >> 5 mg/ml
Инжекция/Инжекционен Clindamycin phosphate 10 mg/ml
Glucose 5% 299
съвместим
Инжекция/Инжекционен Cisatracurium besylate 5 mg/ml
Инжекция/Инжекционен Clonazepam 0.2 mg/ml
Sodium chloride 0,9% 3823
съвместим
Инжекция/Инжекционен Cisatracurium besylate 5 mg/ml
Инжекция/Инжекционен Clonidine hydrochloride 0.012 mg/ml
Sodium chloride 0,9% 3823
Незабавна мътност Несъвместим
Инжекция/Инжекционен Cisatracurium besylate 2 & 5 mg/ml
Инжекция/Инжекционен Co-trimoxazole 0,8/4 mg/ml
Glucose 5% 299
съвместим
Инжекция/Инжекционен Cisatracurium besylate 0.1 mg/ml
Инжекция/Инжекционен Co-trimoxazole 0.8/4 mg/ml
Glucose 5% 299
съвместим
Инжекция/Инжекционен Cisatracurium besylate 0.5 mg/ml
Инжекция/Инжекционен Dexmedetomidine 4 µg/ml
Sodium chloride 0,9% 1712
съвместим
Инжекция/Инжекционен Cisatracurium besylate 0.1 >> 5 mg/ml
Инжекция/Инжекционен Diazepam 0.25 mg/ml
Glucose 5% 299
Незабавни валежи Несъвместим
Инжекция/Инжекционен Cisatracurium besylate 0.1 >> 5 mg/ml
Инжекция/Инжекционен Diazepam 5 mg/ml
Glucose 5% 299
Неопределена несъвместимост Несъвместим
Инжекция/Инжекционен Cisatracurium besylate 5 mg/ml
Инжекция/Инжекционен Diclofenac 3 mg/ml
Sodium chloride 0,9% 3823
съвместим
Инжекция/Инжекционен Cisatracurium besylate 0.1 >> 5 mg/ml
Инжекция/Инжекционен Digoxin 250 µg/ml
Glucose 5% 299
съвместим
Инжекция/Инжекционен Cisatracurium besylate 1 mg/ml
Инжекция/Инжекционен Diltiazem hydrochloride 1 mg/ml
Sodium chloride 0,9% 3429
съвместим
Инжекция/Инжекционен Cisatracurium besylate 0.1 >> 5 mg/ml
Инжекция/Инжекционен Diphenhydramine hydrochloride 2 mg/ml
Glucose 5% 299
съвместим
Инжекция/Инжекционен Cisatracurium besylate 0.1 >> 5 mg/ml
Инжекция/Инжекционен Dobutamine hydrochloride 4 mg/ml
Glucose 5% 299
съвместим
Инжекция/Инжекционен Cisatracurium besylate 0.1 >> 5 mg/ml
Инжекция/Инжекционен Dopamine hydrochloride 3.2 mg/ml
Glucose 5% 299
съвместим
Инжекция/Инжекционен Cisatracurium besylate 0.1 >> 5 mg/ml
Инжекция/Инжекционен Doxycycline hyclate 1 mg/ml
Glucose 5% 299
съвместим
Инжекция/Инжекционен Cisatracurium besylate
Инжекция/Инжекционен Droperidol
3601
съвместим
Инжекция/Инжекционен Cisatracurium besylate 0.1 >> 5 mg/ml
Инжекция/Инжекционен Droperidol 2.5 mg/ml
Glucose 5% 299
съвместим
Инжекция/Инжекционен Cisatracurium besylate 0.1 >> 5 mg/ml
Инжекция/Инжекционен Enalaprilate 0.1 mg/ml
Glucose 5% 299
съвместим
Инжекция/Инжекционен Cisatracurium besylate 0.1 >> 5 mg/ml
Инжекция/Инжекционен Epinephrine hydrochloride 50 µg/ml
Glucose 5% 299
съвместим
Инжекция/Инжекционен Cisatracurium besylate 0,4 mg/ml
Инжекция/Инжекционен Eravacycline 0,6 mg/ml
Sodium chloride 0,9% 4434
съвместим
Инжекция/Инжекционен Cisatracurium besylate 0.1 >> 5 mg/ml
Инжекция/Инжекционен Esmolol hydrochloride 10 mg/ml
Glucose 5% 299
съвместим
Инжекция/Инжекционен Cisatracurium besylate 0.4 mg/ml
Инжекция/Инжекционен Fosfomycin 30 mg/ml
Glucose 5% 4055
Незабавна мътност Несъвместим
Инжекция/Инжекционен Cisatracurium besylate 5 mg/ml
NaHCO3 3823
съвместим
Инжекция/Инжекционен Cisatracurium besylate 5 mg/ml
Инжекция/Инжекционен Esmolol hydrochloride 10 mg/ml
Sodium chloride 0,9% 3823
съвместим
Инжекция/Инжекционен Cisatracurium besylate 2 mg/ml
Инжекция/Инжекционен Esmolol hydrochloride 10 mg/ml
Sodium chloride 0,9% 3879
съвместим
Инжекция/Инжекционен Cisatracurium besylate 1 mg/ml
Инжекция/Инжекционен Esomeprazole sodium 0,4 mg/ml
Sodium chloride 0,9% 3429
съвместим
Инжекция/Инжекционен Cisatracurium besylate 0.1 >> 5 mg/ml
Инжекция/Инжекционен Famotidine 2 mg/ml
Glucose 5% 299
съвместим
Инжекция/Инжекционен Cisatracurium besylate 0.5 mg/ml
Инжекция/Инжекционен Fenoldopam mesylate 80 µg/ml
Sodium chloride 0,9% 1803
съвместим
Инжекция/Инжекционен Cisatracurium besylate 0.1 >> 5 mg/ml
Инжекция/Инжекционен Fentanyl citrate 12.5 µg/ml
Glucose 5% 299
съвместим
Инжекция/Инжекционен Cisatracurium besylate
Инжекция/Инжекционен Fentanyl citrate
3601
съвместим
Инжекция/Инжекционен Cisatracurium besylate 0.1 >> 5 mg/ml
Инжекция/Инжекционен Fluconazole 2 mg/ml
Glucose 5% 299
съвместим
Инжекция/Инжекционен Cisatracurium besylate 0.4 mg/ml
Инжекция/Инжекционен Fosfomycin 30 mg/ml
Sodium chloride 0,9% 4055
Неопределена несъвместимост Несъвместим
Инжекция/Инжекционен Cisatracurium besylate
Инжекция/Инжекционен Furosemide
3465
Незабавна мътност Несъвместим
Инжекция/Инжекционен Cisatracurium besylate 2 & 5 mg/ml
NaHCO3 299
Незабавни валежи Несъвместим
Инжекция/Инжекционен Cisatracurium besylate 5 mg/ml
Инжекция/Инжекционен Furosemide 10 mg/ml
Sodium chloride 0,9% 3463
съвместим
Инжекция/Инжекционен Cisatracurium besylate 0.1 mg/ml
Инжекция/Инжекционен Furosemide 3 mg/ml
Glucose 5% 299
Неопределена несъвместимост Несъвместим
Инжекция/Инжекционен Cisatracurium besylate 5 mg/ml
Инжекция/Инжекционен Furosemide 10 mg/ml
Sodium chloride 0,9% 3823
Незабавни валежи Несъвместим
Инжекция/Инжекционен Cisatracurium besylate 5 mg/ml
Инжекция/Инжекционен Ganciclovir sodium 20 mg/ml
Glucose 5% 299
Неопределена несъвместимост Несъвместим
Инжекция/Инжекционен Cisatracurium besylate
NaHCO3 3466
съвместим
Инжекция/Инжекционен Cisatracurium besylate 0.1 & 2 mg/ml
Инжекция/Инжекционен Ganciclovir sodium 20 mg/ml
Glucose 5% 299
Неопределена несъвместимост Несъвместим
Инжекция/Инжекционен Cisatracurium besylate
NaHCO3 3601
Незабавни валежи Несъвместим
Инжекция/Инжекционен Cisatracurium besylate 2 & 5 mg/ml
Инжекция/Инжекционен Furosemide 3 mg/ml
Glucose 5% 299
Неопределена несъвместимост Несъвместим
Инжекция/Инжекционен Cisatracurium besylate 5 mg/ml
Инжекция/Инжекционен Furosemide 10 mg/ml
Няма 3134
съвместим
Инжекция/Инжекционен Cisatracurium besylate 0.1 >> 5 mg/ml
Инжекция/Инжекционен Gentamicin sulfate 5 mg/ml
Glucose 5% 299
съвместим
Инжекция/Инжекционен Cisatracurium besylate 0.1 >> 5 mg/ml
Инжекция/Инжекционен Haloperidol lactate 0.2 mg/ml
Glucose 5% 299
Незабавни валежи Несъвместим
Инжекция/Инжекционен Cisatracurium besylate 5 mg/ml
Инжекция/Инжекционен Heparin sodium 100 UI/ml
Glucose 5% 299
Нестабилност на емулсията след 4 часа Несъвместим
Инжекция/Инжекционен Cisatracurium besylate 2 mg/ml
Парентерално хранене (с липиди) 4507
Неопределена несъвместимост Несъвместим
Инжекция/Инжекционен Cisatracurium besylate
Ринтер лактат 3601
Промяна на цвета Несъвместим
Инжекция/Инжекционен Cisatracurium besylate 5 mg/ml
Инжекция/Инжекционен Heparin sodium 500 UI/ml
Sodium chloride 0,9% 3463
съвместим
Инжекция/Инжекционен Cisatracurium besylate 0.1 & 2 mg/ml
Инжекция/Инжекционен Heparin sodium 100 UI/ml
Glucose 5% 299
Неопределена несъвместимост Несъвместим
Инжекция/Инжекционен Cisatracurium besylate 5 mg/ml
Инжекция/Инжекционен Heparin sodium 500 UI/ml
Sodium chloride 0,9% 3823
съвместим
Инжекция/Инжекционен Cisatracurium besylate
Glucose 5% 3601
Неопределена несъвместимост Несъвместим
Инжекция/Инжекционен Cisatracurium besylate
Инжекция/Инжекционен Heparin sodium
3540
съвместим
Инжекция/Инжекционен Cisatracurium besylate 0.5 mg/ml
Инжекция/Инжекционен Hetastarch 60 mg/ml
Специфична разтворител 1721
съвместим
Инжекция/Инжекционен Cisatracurium besylate 0.1 >> 5 mg/ml
Инжекция/Инжекционен Hydrocortisone sodium succinate 1 mg/ml
Glucose 5% 299
съвместим
Инжекция/Инжекционен Cisatracurium besylate 2 mg/ml
Инжекция/Инжекционен Hydrocortisone sodium succinate 1 mg/ml
Sodium chloride 0,9% 4465
съвместим
Инжекция/Инжекционен Cisatracurium besylate 0.1 >> 5 mg/ml
Инжекция/Инжекционен Hydromorphone hydrochloride 0.5 mg/ml
Glucose 5% 299
съвместим
Инжекция/Инжекционен Cisatracurium besylate 0.1 >> 5 mg/ml
Инжекция/Инжекционен Hydroxyzine dihydrochloride 2 mg/ml
Glucose 5% 299
съвместим
Инжекция/Инжекционен Cisatracurium besylate 0.1 >> 5 mg/ml
Инжекция/Инжекционен Imipenem - cilastatin sodium 10 mg/ml
Glucose 5% 299
съвместим
Инжекция/Инжекционен Cisatracurium besylate 0,4 mg/ml
Инжекция/Инжекционен Imipenem-Cilastatin / Relebactam 5 mg/ml
Sodium chloride 0,9% 4433
съвместим
Инжекция/Инжекционен Cisatracurium besylate 0,4 mg/ml
Инжекция/Инжекционен Imipenem-Cilastatin / Relebactam 5 mg/ml
Glucose 5% 4433
съвместим
Инжекция/Инжекционен Cisatracurium besylate 1 mg/ml
Инжекция/Инжекционен Insulin 1 UI/ml
Sodium chloride 0,9% 3429
съвместим
Инжекция/Инжекционен Cisatracurium besylate 5 mg/ml
Инжекция/Инжекционен Insulin 2 UI/ml
Sodium chloride 0,9% 3823
съвместим
Инжекция/Инжекционен Cisatracurium besylate 0.4 mg/ml
Инжекция/Инжекционен Isavuconazonium sulfate 1.5 mg/ml
Sodium chloride 0,9% 3829
съвместим
Инжекция/Инжекционен Cisatracurium besylate 0.4 mg/ml
Инжекция/Инжекционен Isavuconazonium sulfate 1.5 mg/ml
Glucose 5% 3829
съвместим
Инжекция/Инжекционен Cisatracurium besylate 0.1 >> 5 mg/ml
Инжекция/Инжекционен Isoprenaline hydrochloride 0.02 mg/ml
Glucose 5% 299
съвместим
Инжекция/Инжекционен Cisatracurium besylate 0.1 >> 5 mg/ml
Инжекция/Инжекционен Ketorolac tromethamine 15 mg/ml
Glucose 5% 299
Неопределена несъвместимост Несъвместим
Инжекция/Инжекционен Cisatracurium besylate
Инжекция/Инжекционен Ketorolac tromethamine
3601
съвместим
Инжекция/Инжекционен Cisatracurium besylate 0.1 >> 5 mg/ml
Инжекция/Инжекционен Lorazepam 0.5 mg/ml
Glucose 5% 299
съвместим
Инжекция/Инжекционен Cisatracurium besylate 0.1 >> 5 mg/ml
Инжекция/Инжекционен Magnesium sulfate 100 mg/ml
Glucose 5% 299
съвместим
Инжекция/Инжекционен Cisatracurium besylate 0.1 >> 5 mg/ml
Инжекция/Инжекционен Mannitol 150 mg/ml
Glucose 5% 299
съвместим
Инжекция/Инжекционен Cisatracurium besylate
Sodium chloride 0,9% 3601
съвместим
Инжекция/Инжекционен Cisatracurium besylate 2 mg/ml
Инжекция/Инжекционен Labetalol hydrochloride 5 mg/ml
Sodium chloride 0,9% 3879
съвместим
Инжекция/Инжекционен Cisatracurium besylate 1 mg/ml
Инжекция/Инжекционен Levetiracetam 5 mg/ml
Sodium chloride 0,9% 4569
съвместим
Инжекция/Инжекционен Cisatracurium besylate 0.1 >> 5 mg/ml
Инжекция/Инжекционен Lidocaine hydrochloride 8 mg/ml
Glucose 5% 299
съвместим
Инжекция/Инжекционен Cisatracurium besylate 2 mg/ml
Инжекция/Инжекционен Linezolid 2 mg/ml
Няма 1925
съвместим
Инжекция/Инжекционен Cisatracurium besylate 0.1 mg/ml
Инжекция/Инжекционен Methylprednisolone sodium succinate 5 mg/ml
Glucose 5% 299
Незабавна мътност Несъвместим
Инжекция/Инжекционен Cisatracurium besylate 2 & 5 mg/ml
Инжекция/Инжекционен Methylprednisolone sodium succinate 5 mg/ml
Glucose 5% 299
съвместим
Инжекция/Инжекционен Cisatracurium besylate 0.1 >> 5 mg/ml
Инжекция/Инжекционен Metoclopramide hydrochloride 5 mg/ml
Glucose 5% 299
съвместим
Инжекция/Инжекционен Cisatracurium besylate 2 mg/ml
Инжекция/Инжекционен Metoprolol tartrate 0.4 mg/ml
Sodium chloride 0,9% 3879
съвместим
Инжекция/Инжекционен Cisatracurium besylate 0.1 >> 5 mg/ml
Инжекция/Инжекционен Metronidazole 5 mg/ml
Glucose 5% 299
Незабавни валежи Несъвместим
Инжекция/Инжекционен Cisatracurium besylate 0.5 mg/ml
Инжекция/Инжекционен Micafungin 1.5 mg/ml
Sodium chloride 0,9% 2108
съвместим
Инжекция/Инжекционен Cisatracurium besylate
Инжекция/Инжекционен Midazolam hydrochloride
3601
съвместим
Инжекция/Инжекционен Cisatracurium besylate 5 mg/ml
Инжекция/Инжекционен Midazolam hydrochloride 2.1 mg/ml
Sodium chloride 0,9% 3823
съвместим
Инжекция/Инжекционен Cisatracurium besylate 0.1 >> 5 mg/ml
Инжекция/Инжекционен Midazolam hydrochloride 1 mg/ml
Glucose 5% 299
съвместим
Инжекция/Инжекционен Cisatracurium besylate 0.1 >> 5 mg/ml
Инжекция/Инжекционен Minocycline hydrochloride 0.2 mg/ml
Glucose 5% 299
съвместим
Инжекция/Инжекционен Cisatracurium besylate 0.1 >> 5 mg/ml
Инжекция/Инжекционен Morphine sulfate 1 mg/ml
Glucose 5% 299
съвместим
Инжекция/Инжекционен Cisatracurium besylate 0.1 >> 5 mg/ml
Инжекция/Инжекционен Nalbuphine hydrochloride 10 mg/ml
Glucose 5% 299
съвместим
Инжекция/Инжекционен Cisatracurium besylate 0.1 >> 5 mg/ml
Инжекция/Инжекционен Netilmicin sulfate 5 mg/ml
Glucose 5% 299
съвместим
Инжекция/Инжекционен Cisatracurium besylate 1 mg/ml
Инжекция/Инжекционен Nicardipine hydrochloride 0,5 mg/ml
Sodium chloride 0,9% 3429
съвместим
Инжекция/Инжекционен Cisatracurium besylate 5 mg/ml
Инжекция/Инжекционен Nimodipine 0.2 mg/ml
Sodium chloride 0,9% 3823
съвместим
Инжекция/Инжекционен Cisatracurium besylate 0.1 >> 5 mg/ml
Инжекция/Инжекционен Nitroglycerin 0.4 mg/ml
Glucose 5% 299
съвместим
Инжекция/Инжекционен Cisatracurium besylate 5 mg/ml
Инжекция/Инжекционен Nitroglycerin 0.2 mg/ml
Glucose 5% 3823
Незабавни валежи Несъвместим
Инжекция/Инжекционен Cisatracurium besylate 2 & 5 mg/ml
Инжекция/Инжекционен Nitroprusside sodium 2 mg/ml
Glucose 5% 299
съвместим
Инжекция/Инжекционен Cisatracurium besylate 0.1 mg/ml
Инжекция/Инжекционен Nitroprusside sodium 2 mg/ml
Glucose 5% 299
съвместим
Инжекция/Инжекционен Cisatracurium besylate 0.1 >> 5 mg/ml
Инжекция/Инжекционен Norepinephrine bitartrate 0.12 mg/ml
Glucose 5% 299
съвместим
Инжекция/Инжекционен Cisatracurium besylate 0.1 >> 5 mg/ml
Инжекция/Инжекционен Ofloxacin 4 mg/ml
Glucose 5% 299
съвместим
Инжекция/Инжекционен Cisatracurium besylate 5 mg/ml
Инжекция/Инжекционен Omeprazole sodium 1.6 mg/ml
Sodium chloride 0,9% 3823
съвместим
Инжекция/Инжекционен Cisatracurium besylate 0.1 >> 5 mg/ml
Инжекция/Инжекционен Ondansetron hydrochloride 1 mg/ml
Glucose 5% 299
съвместим
Инжекция/Инжекционен Cisatracurium besylate 0,5 mg/ml
Инжекция/Инжекционен Palonosetron hydrochloride 50 µg/ml
Glucose 5% 2227
Мътност за един час Несъвместим
Инжекция/Инжекционен Cisatracurium besylate 1 mg/ml
Инжекция/Инжекционен Pantoprazole sodium 0,8 mg/ml
Sodium chloride 0,9% 3429
съвместим
Инжекция/Инжекционен Cisatracurium besylate 0.1 >> 5 mg/ml
Инжекция/Инжекционен Pethidine hydrochloride 4 mg/ml
Glucose 5% 299
съвместим
Инжекция/Инжекционен Cisatracurium besylate 0.1 >> 5 mg/ml
Инжекция/Инжекционен Phenylephrine hydrochloride 1 mg/ml
Glucose 5% 299
съвместим
Инжекция/Инжекционен Cisatracurium besylate 0.1 mg/ml
Инжекция/Инжекционен Piperacillin sodium 40 mg/ml
Glucose 5% 299
Незабавна мътност Несъвместим
Инжекция/Инжекционен Cisatracurium besylate 2 & 5 mg/ml
Инжекция/Инжекционен Piperacillin sodium 40 mg/ml
Glucose 5% 299
съвместим
Инжекция/Инжекционен Cisatracurium besylate 0.1 & 2 mg/ml
Инжекция/Инжекционен Piperacillin sodium / tazobactam 40/5 mg/ml
Glucose 5% 299
Валежи след 4 часа Несъвместим
Инжекция/Инжекционен Cisatracurium besylate 5 mg/ml
Инжекция/Инжекционен Piperacillin sodium / tazobactam 40/5 mg/ml
Glucose 5% 299
съвместим
Инжекция/Инжекционен Cisatracurium besylate 0.4 mg/ml
Инжекция/Инжекционен Plazomicin sulfate 24 mg/ml
Sodium chloride 0,9% 4145
съвместим
Инжекция/Инжекционен Cisatracurium besylate 0.1 >> 5 mg/ml
Инжекция/Инжекционен Potassium chloride 100 mEq/l
Glucose 5% 299
съвместим
Инжекция/Инжекционен Cisatracurium besylate 5 mg/ml
Инжекция/Инжекционен Potassium chloride 10 mEq/l
Sodium chloride 0,9% 3823
съвместим
Инжекция/Инжекционен Cisatracurium besylate 0.1 >> 5 mg/ml
Инжекция/Инжекционен Procainamide hydrochloride 10 mg/ml
Glucose 5% 299
съвместим
Инжекция/Инжекционен Cisatracurium besylate 0.1 >> 5 mg/ml
Инжекция/Инжекционен Prochlorperazine edysilate 0.5 mg/ml
Glucose 5% 299
съвместим
Инжекция/Инжекционен Cisatracurium besylate 0.1 >> 5 mg/ml
Инжекция/Инжекционен Promethazine hydrochloride 2 mg/ml
Glucose 5% 299
Неопределена несъвместимост Несъвместим
Инжекция/Инжекционен Cisatracurium besylate
Инжекция/Инжекционен Propofol
3601
съвместим
Инжекция/Инжекционен Cisatracurium besylate 0.1 >> 5 mg/ml
Инжекция/Инжекционен Ranitidine hydrochloride 2 mg/ml
Glucose 5% 299
съвместим
Инжекция/Инжекционен Cisatracurium besylate 5 mg/ml
Инжекция/Инжекционен Remifentanil hydrochloride 100 µg/ml
Sodium chloride 0,9% 3823
съвместим
Инжекция/Инжекционен Cisatracurium besylate 2 mg/ml
Инжекция/Инжекционен Remifentanil hydrochloride 25 & 250 µg/ml
Sodium chloride 0,9% 59
Неопределена несъвместимост Несъвместим
Инжекция/Инжекционен Cisatracurium besylate
Инжекция/Инжекционен Sodium bicarbonate
3466
Мътност за един час Несъвместим
Инжекция/Инжекционен Cisatracurium besylate 2 mg/ml
Инжекция/Инжекционен Sodium bicarbonate 84 mg/ml
Glucose 5% 299
Неопределена несъвместимост Несъвместим
Инжекция/Инжекционен Cisatracurium besylate
Инжекция/Инжекционен Sodium bicarbonate
3601
съвместим
Инжекция/Инжекционен Cisatracurium besylate 0.1 mg/ml
Инжекция/Инжекционен Sodium bicarbonate 84 mg/ml
Glucose 5% 299
Незабавна мътност Несъвместим
Инжекция/Инжекционен Cisatracurium besylate 5 mg/ml
Инжекция/Инжекционен Sodium bicarbonate 84 mg/ml
Glucose 5% 299
Мътност за 2 часа Несъвместим
Инжекция/Инжекционен Cisatracurium besylate 5 mg/ml
Инжекция/Инжекционен Sodium bicarbonate 84 mg/ml
Няма 3212
съвместим
Инжекция/Инжекционен Cisatracurium besylate 0.1 >> 5 mg/ml
Инжекция/Инжекционен Sufentanil citrate 0.0125 mg/ml
Glucose 5% 299
съвместим
Инжекция/Инжекционен Cisatracurium besylate
Инжекция/Инжекционен Sufentanil citrate
3601
съвместим
Инжекция/Инжекционен Cisatracurium besylate 0,4 mg/ml
Инжекция/Инжекционен Sulbactam/durlobactam 15/15 mg/ml
Sodium chloride 0,9% 4801
съвместим
Инжекция/Инжекционен Cisatracurium besylate 0.4 mg/ml
Инжекция/Инжекционен Tedizolid phosphate 0.8 mg/ml
Sodium chloride 0,9% 3827
съвместим
Инжекция/Инжекционен Cisatracurium besylate 0.1 >> 5 mg/ml
Инжекция/Инжекционен Theophylline 3.2 mg/ml
Glucose 5% 299
Неопределена несъвместимост Несъвместим
Инжекция/Инжекционен Cisatracurium besylate
Инжекция/Инжекционен Thiopental sodium
3601
съвместим
Инжекция/Инжекционен Cisatracurium besylate 0.1 mg/ml
Инжекция/Инжекционен Thiopental sodium 25 mg/ml
Glucose 5% 299
Неопределена несъвместимост Несъвместим
Инжекция/Инжекционен Cisatracurium besylate 5 mg/ml
Инжекция/Инжекционен Thiopental sodium 60 mg/ml
Sodium chloride 0,9% 3823
Незабавни валежи Несъвместим
Инжекция/Инжекционен Cisatracurium besylate 2 & 5 mg/ml
Инжекция/Инжекционен Thiopental sodium 25 mg/ml
Glucose 5% 299
съвместим
Инжекция/Инжекционен Cisatracurium besylate 0.1 & 2 mg/ml
Инжекция/Инжекционен Ticarcillin / clavulanic acid 30 mg/ml
Glucose 5% 299
Незабавна мътност Несъвместим
Инжекция/Инжекционен Cisatracurium besylate 5 mg/ml
Инжекция/Инжекционен Ticarcillin / clavulanic acid 30 mg/ml
Glucose 5% 299
съвместим
Инжекция/Инжекционен Cisatracurium besylate 0.1 >> 5 mg/ml
Инжекция/Инжекционен Tobramycin sulfate 5 mg/ml
Glucose 5% 299
съвместим
Инжекция/Инжекционен Cisatracurium besylate 0.1 >> 5 mg/ml
Инжекция/Инжекционен Vancomycin hydrochloride 10 mg/ml
Glucose 5% 299
съвместим
Инжекция/Инжекционен Cisatracurium besylate 1 mg/ml
Инжекция/Инжекционен Vasopressin 1 UI/ml
Sodium chloride 0,9% 3429
съвместим
Инжекция/Инжекционен Cisatracurium besylate 0.1 >> 5 mg/ml
Инжекция/Инжекционен Zidovudine 4 mg/ml
Glucose 5% 299

  Mentions Légales