Letztes “update” :
18/03/2026
Durch Curarin narkotisierend   Cisatracurium besylate  
Injektion
Stabilität der Lösung Gemengestabilität Stabilitätbeeinflussende Faktoren Kompatibilitäten Applikationsart Literaturverzeichnis pdf
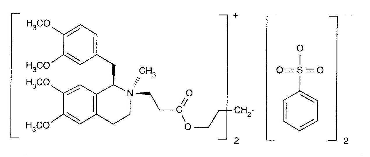
   Chemische Struktur  

Handelsmarke   Handelsmarke     

Handelsnamen sind als beispielhaft anzusehen. Sonstige Bestandteile können je nach Hersteller oder Land verschieden sein

Bensitrak Mexiko
Besilato de cisatracurio
Cicuryl Mexiko
Cirium Kolumbien
Cis Atracure
Cisatracurio Brasilien, Chile, Ecuador, Italien, Kolumbien, Peru, Spanien
Cisatracurium Belgien, Deutschland, Finnland, Frankreich, Großbritannien, Irland, Kanada, Tunesien, Ungarn
Nimbex Ägypten, Belgien, Chile, Dänemark, Deutschland, Ecuador, Finnland, Frankreich, Griechenland, Großbritannien, Iran, Irland, Italien, Kanada, Luxemburg, Malaysia, Mexiko, Niederlande, Norwegen, Österreich, Peru, Polen, Portugal, Saudi-Arabien, Schweden, Slowenien, Spanien, Tunesien, Türkei, Ungarn, Venezuela, Vereinigte Arabische Emirate, Vereinigte Staaten von Amerika
Nimbium Brasilien, Kolumbien
Kompatibilitäten   Injektion   Kompatibilitäten : Cisatracurium besylate              
Dieser Bildschirm zeigt die Kompatibilitäten oder Inkompatibilitäten mit der Art der Inkompatibilität (hier: Ausfällung, Farbänderung, Modifikation einer Emulsion usw.) an. Die hier gezeigten Kompatibilitäten sind meist nur physikalisch, wobei die chemische Stabilität jedes Moleküls selten bewertet wird. Die Bewertung dieser Gemische wurde untersucht, um die Möglichkeit einer Verabreichung über eine Y-Verbindung zu berücksichtigen. Diese Daten können daher nicht zur Herstellung von Mischungen im Voraus in Beuteln oder Spritzen verwendet werden. Sie finden diese Informationen auf dem Bildschirm "Stabilität in Mischung».
Molekül Lösungsmittel Literaturverzeichnis
Sofortiger Niederschlag nicht kompatibel
Injektion Cisatracurium besylate 5 mg/ml
Injektion Aciclovir sodium 7 mg/ml
5% Glucose 299
kompatibel
Injektion Cisatracurium besylate 0.1 & 2 mg/ml
Injektion Aciclovir sodium 7 mg/ml
5% Glucose 299
kompatibel
Injektion Cisatracurium besylate
Injektion Alfentanil hydrochloride
3601
kompatibel
Injektion Cisatracurium besylate 0.1 >> 5 mg/ml
Injektion Alfentanil hydrochloride 125 µg/ml
5% Glucose 299
Sofortiger Niederschlag nicht kompatibel
Injektion Cisatracurium besylate 1,2 mg/ml
Injektion Alprostadil 20 µg/ml
5% Glucose 4651
Sofortiger Niederschlag nicht kompatibel
Injektion Cisatracurium besylate 1,2 mg/ml
Injektion Alprostadil 20 µg/ml
5% Glucose 4491
kompatibel
Injektion Cisatracurium besylate 0.1 >> 5 mg/ml
Injektion Amikacin sulfate 5 mg/ml
5% Glucose 299
kompatibel
Injektion Cisatracurium besylate 0.1 & 2 mg/ml
Injektion Aminophylline 2.5 mg/ml
5% Glucose 299
Trübung in einer Stunde nicht kompatibel
Injektion Cisatracurium besylate 5 mg/ml
Injektion Aminophylline 2.5 mg/ml
5% Glucose 299
kompatibel
Injektion Cisatracurium besylate
Injektion Amiodarone hydrochloride
3464
kompatibel
Injektion Cisatracurium besylate 5 mg/ml
Injektion Amiodarone hydrochloride 15 mg/ml
5% Glucose 3823
kompatibel
Injektion Cisatracurium besylate 0.1 mg/ml
Injektion Amphotericin B 0.6 mg/ml
5% Glucose 299
Sofortiger Niederschlag nicht kompatibel
Injektion Cisatracurium besylate 2 & 5 mg/ml
Injektion Amphotericin B 0.6 mg/ml
5% Glucose 299
Sofortiger Niederschlag nicht kompatibel
Injektion Cisatracurium besylate 2 mg/ml
Injektion Amphotericin B cholesteryl sulfate complex 0.83 mg/ml
5% Glucose 921
Trübung in einer Stunde nicht kompatibel
Injektion Cisatracurium besylate 5 mg/ml
Injektion Ampicillin sodium 20 mg/ml
0,9% Natriumchlorid 299
kompatibel
Injektion Cisatracurium besylate 0.1 & 2 mg/ml
Injektion Ampicillin sodium 20 mg/ml
5% Glucose 299
Trübung in einer Stunde nicht kompatibel
Injektion Cisatracurium besylate 5 mg/ml
Injektion Ampicillin sodium 20 mg/ml
5% Glucose 299
Sofortige Trübung nicht kompatibel
Injektion Cisatracurium besylate 5 mg/ml
Injektion Ampicillin sodium - sulbactam sodium 20/10 mg/ml
5% Glucose 299
Sofortige Trübung nicht kompatibel
Injektion Cisatracurium besylate 5 mg/ml
Injektion Ampicillin sodium - sulbactam sodium 20/10 mg/ml
0,9% Natriumchlorid 299
kompatibel
Injektion Cisatracurium besylate 0.1 & 2 mg/ml
Injektion Ampicillin sodium - sulbactam sodium 20/10 mg/ml
5% Glucose 299
kompatibel
Injektion Cisatracurium besylate 0.1 >> 5 mg/ml
Injektion Aztreonam 40 mg/ml
5% Glucose 299
kompatibel
Injektion Cisatracurium besylate 0.1 >> 5 mg/ml
Injektion Bumetanide 0.04 mg/ml
5% Glucose 299
kompatibel
Injektion Cisatracurium besylate 0.1 >> 5 mg/ml
Injektion Buprenorphine hydrochloride 0.04 mg/ml
5% Glucose 299
kompatibel
Injektion Cisatracurium besylate 0.1 >> 5 mg/ml
Injektion Butorphanol tartrate 0.04 mg/ml
5% Glucose 299
kompatibel
Injektion Cisatracurium besylate 0.1 >> 5 mg/ml
Injektion Calcium gluconate 40 mg/ml
5% Glucose 299
kompatibel
Injektion Cisatracurium besylate 1 mg/ml
Injektion Calcium gluconate 20 mg/ml
0,9% Natriumchlorid 3429
Sofortige Trübung nicht kompatibel
Injektion Cisatracurium besylate 2 & 5 mg/ml
Injektion Cefazolin sodium 20 mg/ml
5% Glucose 299
kompatibel
Injektion Cisatracurium besylate 0.1 mg/ml
Injektion Cefazolin sodium 20 mg/ml
5% Glucose 299
kompatibel
Injektion Cisatracurium besylate 0.4 mg/ml
Injektion Cefiderocol sulfate tosylate 20 mg/mL
5% Glucose 4528
kompatibel
Injektion Cisatracurium besylate 0.4 mg/ml
Injektion Cefiderocol sulfate tosylate 20 mg/mL
0,9% Natriumchlorid 4528
Sofortiger Niederschlag nicht kompatibel
Injektion Cisatracurium besylate 0.1 >> 5 mg/ml
Injektion Cefoperazone sodium 40 mg/ml
5% Glucose 299
kompatibel
Injektion Cisatracurium besylate 0.1 >> 5 mg/ml
Injektion Cefoperazone sodium 40 mg/ml
5% Glucose 299
Trübung in 4 Stunden nicht kompatibel
Injektion Cisatracurium besylate 2 mg/ml
Injektion Cefotaxime sodium 20 mg/ml
5% Glucose 299
Sofortige Trübung nicht kompatibel
Injektion Cisatracurium besylate 5 mg/ml
Injektion Cefotaxime sodium 20 mg/ml
5% Glucose 299
kompatibel
Injektion Cisatracurium besylate 0.1 mg/ml
Injektion Cefotaxime sodium 20 mg/ml
5% Glucose 299
kompatibel
Injektion Cisatracurium besylate 0.1 mg/ml
Injektion Cefoxitin sodium 20 mg/ml
5% Glucose 299
Sofortige Trübung nicht kompatibel
Injektion Cisatracurium besylate 2 & 5 mg/ml
Injektion Cefoxitin sodium 20 mg/ml
5% Glucose 299
kompatibel
Injektion Cisatracurium besylate 0,5 mg/ml
Injektion Ceftaroline fosamil 2,22 mg/ml
Ringer Lactat - Lösung 3249
kompatibel
Injektion Cisatracurium besylate 0,5 mg/ml
Injektion Ceftaroline fosamil 2,22 mg/ml
5% Glucose 3249
kompatibel
Injektion Cisatracurium besylate 0,5 mg/ml
Injektion Ceftaroline fosamil 2,22 mg/ml
0,9% Natriumchlorid 3249
Sofortige Trübung nicht kompatibel
Injektion Cisatracurium besylate 5 mg/ml
Injektion Ceftazidime 40 mg/ml
5% Glucose 299
kompatibel
Injektion Cisatracurium besylate 0.1 & 2 mg/ml
Injektion Ceftazidime 40 mg/ml
5% Glucose 299
kompatibel
Injektion Cisatracurium besylate 0.1 & 2 mg/ml
Injektion Ceftizoxime sodium 20 mg/ml
5% Glucose 299
Trübung in einer Stunde nicht kompatibel
Injektion Cisatracurium besylate 5 mg/ml
Injektion Ceftizoxime sodium 20 mg/ml
5% Glucose 299
Sofortiger Niederschlag nicht kompatibel
Injektion Cisatracurium besylate 0.5 mg/ml
Injektion Ceftobiprole medocaril sodium 2 mg/ml
0,9% Natriumchlorid 2269
Sofortiger Niederschlag nicht kompatibel
Injektion Cisatracurium besylate 0.5 mg/ml
Injektion Ceftobiprole medocaril sodium 2 mg/ml
Ringer Lactat - Lösung 2269
Sofortiger Niederschlag nicht kompatibel
Injektion Cisatracurium besylate 0.5 mg/ml
Injektion Ceftobiprole medocaril sodium 2 mg/ml
5% Glucose 2269
Nicht spezifizierte Inkompatibilität nicht kompatibel
Injektion Cisatracurium besylate
Injektion Ceftobiprole medocaril sodium
4650
kompatibel
Injektion Cisatracurium besylate 0.4 mg/ml
Injektion Ceftolozane / tazobactam 10/5 mg/ml
5% Glucose 3828
kompatibel
Injektion Cisatracurium besylate 0.4 mg/ml
Injektion Ceftolozane / tazobactam 10/5 mg/ml
0,9% Natriumchlorid 3828
kompatibel
Injektion Cisatracurium besylate 0.1 >> 5 mg/ml
Injektion Ceftriaxone disodium 20 mg/ml
5% Glucose 299
Sofortiger Niederschlag nicht kompatibel
Injektion Cisatracurium besylate 2 & 5 mg/ml
Injektion Cefuroxime sodium 30 mg/ml
5% Glucose 299
kompatibel
Injektion Cisatracurium besylate 0.1 >> 5 mg/ml
Injektion Chlorpromazine hydrochloride 2 mg/ml
5% Glucose 299
kompatibel
Injektion Cisatracurium besylate 0.1 >> 5 mg/ml
Injektion Cimetidine hydrochloride 12 mg/ml
5% Glucose 299
kompatibel
Injektion Cisatracurium besylate 0.1 >> 5 mg/ml
Injektion Ciprofloxacin lactate 1 mg/ml
5% Glucose 299
kompatibel
Injektion Cisatracurium besylate 0.1 >> 5 mg/ml
Injektion Clindamycin phosphate 10 mg/ml
5% Glucose 299
kompatibel
Injektion Cisatracurium besylate 5 mg/ml
Injektion Clonazepam 0.2 mg/ml
0,9% Natriumchlorid 3823
kompatibel
Injektion Cisatracurium besylate 5 mg/ml
Injektion Clonidine hydrochloride 0.012 mg/ml
0,9% Natriumchlorid 3823
Sofortige Trübung nicht kompatibel
Injektion Cisatracurium besylate 2 & 5 mg/ml
Injektion Co-trimoxazole 0,8/4 mg/ml
5% Glucose 299
kompatibel
Injektion Cisatracurium besylate 0.1 mg/ml
Injektion Co-trimoxazole 0.8/4 mg/ml
5% Glucose 299
kompatibel
Injektion Cisatracurium besylate 0.5 mg/ml
Injektion Dexmedetomidine 4 µg/ml
0,9% Natriumchlorid 1712
kompatibel
Injektion Cisatracurium besylate 0.1 >> 5 mg/ml
Injektion Diazepam 0.25 mg/ml
5% Glucose 299
Sofortiger Niederschlag nicht kompatibel
Injektion Cisatracurium besylate 0.1 >> 5 mg/ml
Injektion Diazepam 5 mg/ml
5% Glucose 299
Nicht spezifizierte Inkompatibilität nicht kompatibel
Injektion Cisatracurium besylate 5 mg/ml
Injektion Diclofenac 3 mg/ml
0,9% Natriumchlorid 3823
kompatibel
Injektion Cisatracurium besylate 0.1 >> 5 mg/ml
Injektion Digoxin 250 µg/ml
5% Glucose 299
kompatibel
Injektion Cisatracurium besylate 1 mg/ml
Injektion Diltiazem hydrochloride 1 mg/ml
0,9% Natriumchlorid 3429
kompatibel
Injektion Cisatracurium besylate 0.1 >> 5 mg/ml
Injektion Diphenhydramine hydrochloride 2 mg/ml
5% Glucose 299
kompatibel
Injektion Cisatracurium besylate 0.1 >> 5 mg/ml
Injektion Dobutamine hydrochloride 4 mg/ml
5% Glucose 299
kompatibel
Injektion Cisatracurium besylate 0.1 >> 5 mg/ml
Injektion Dopamine hydrochloride 3.2 mg/ml
5% Glucose 299
kompatibel
Injektion Cisatracurium besylate 0.1 >> 5 mg/ml
Injektion Doxycycline hyclate 1 mg/ml
5% Glucose 299
kompatibel
Injektion Cisatracurium besylate
Injektion Droperidol
3601
kompatibel
Injektion Cisatracurium besylate 0.1 >> 5 mg/ml
Injektion Droperidol 2.5 mg/ml
5% Glucose 299
kompatibel
Injektion Cisatracurium besylate 0.1 >> 5 mg/ml
Injektion Enalaprilate 0.1 mg/ml
5% Glucose 299
kompatibel
Injektion Cisatracurium besylate 0.1 >> 5 mg/ml
Injektion Epinephrine hydrochloride 50 µg/ml
5% Glucose 299
kompatibel
Injektion Cisatracurium besylate 0,4 mg/ml
Injektion Eravacycline 0,6 mg/ml
0,9% Natriumchlorid 4434
kompatibel
Injektion Cisatracurium besylate 0.1 >> 5 mg/ml
Injektion Esmolol hydrochloride 10 mg/ml
5% Glucose 299
kompatibel
Injektion Cisatracurium besylate 0.4 mg/ml
Injektion Fosfomycin 30 mg/ml
5% Glucose 4055
Sofortige Trübung nicht kompatibel
Injektion Cisatracurium besylate 5 mg/ml
NaHCO3 3823
kompatibel
Injektion Cisatracurium besylate 5 mg/ml
Injektion Esmolol hydrochloride 10 mg/ml
0,9% Natriumchlorid 3823
kompatibel
Injektion Cisatracurium besylate 2 mg/ml
Injektion Esmolol hydrochloride 10 mg/ml
0,9% Natriumchlorid 3879
kompatibel
Injektion Cisatracurium besylate 1 mg/ml
Injektion Esomeprazole sodium 0,4 mg/ml
0,9% Natriumchlorid 3429
kompatibel
Injektion Cisatracurium besylate 0.1 >> 5 mg/ml
Injektion Famotidine 2 mg/ml
5% Glucose 299
kompatibel
Injektion Cisatracurium besylate 0.5 mg/ml
Injektion Fenoldopam mesylate 80 µg/ml
0,9% Natriumchlorid 1803
kompatibel
Injektion Cisatracurium besylate 0.1 >> 5 mg/ml
Injektion Fentanyl citrate 12.5 µg/ml
5% Glucose 299
kompatibel
Injektion Cisatracurium besylate
Injektion Fentanyl citrate
3601
kompatibel
Injektion Cisatracurium besylate 0.1 >> 5 mg/ml
Injektion Fluconazole 2 mg/ml
5% Glucose 299
kompatibel
Injektion Cisatracurium besylate 0.4 mg/ml
Injektion Fosfomycin 30 mg/ml
0,9% Natriumchlorid 4055
Nicht spezifizierte Inkompatibilität nicht kompatibel
Injektion Cisatracurium besylate
Injektion Furosemide
3465
Sofortige Trübung nicht kompatibel
Injektion Cisatracurium besylate 2 & 5 mg/ml
NaHCO3 299
Sofortiger Niederschlag nicht kompatibel
Injektion Cisatracurium besylate 5 mg/ml
Injektion Furosemide 10 mg/ml
0,9% Natriumchlorid 3463
kompatibel
Injektion Cisatracurium besylate 0.1 mg/ml
Injektion Furosemide 3 mg/ml
5% Glucose 299
Nicht spezifizierte Inkompatibilität nicht kompatibel
Injektion Cisatracurium besylate 5 mg/ml
Injektion Furosemide 10 mg/ml
0,9% Natriumchlorid 3823
Sofortiger Niederschlag nicht kompatibel
Injektion Cisatracurium besylate 5 mg/ml
Injektion Ganciclovir sodium 20 mg/ml
5% Glucose 299
Nicht spezifizierte Inkompatibilität nicht kompatibel
Injektion Cisatracurium besylate
NaHCO3 3466
kompatibel
Injektion Cisatracurium besylate 0.1 & 2 mg/ml
Injektion Ganciclovir sodium 20 mg/ml
5% Glucose 299
Nicht spezifizierte Inkompatibilität nicht kompatibel
Injektion Cisatracurium besylate
NaHCO3 3601
Sofortiger Niederschlag nicht kompatibel
Injektion Cisatracurium besylate 2 & 5 mg/ml
Injektion Furosemide 3 mg/ml
5% Glucose 299
Nicht spezifizierte Inkompatibilität nicht kompatibel
Injektion Cisatracurium besylate 5 mg/ml
Injektion Furosemide 10 mg/ml
Kein 3134
kompatibel
Injektion Cisatracurium besylate 0.1 >> 5 mg/ml
Injektion Gentamicin sulfate 5 mg/ml
5% Glucose 299
kompatibel
Injektion Cisatracurium besylate 0.1 >> 5 mg/ml
Injektion Haloperidol lactate 0.2 mg/ml
5% Glucose 299
Sofortiger Niederschlag nicht kompatibel
Injektion Cisatracurium besylate 5 mg/ml
Injektion Heparin sodium 100 UI/ml
5% Glucose 299
Instabilität der Emulsion nach 4 Stunden nicht kompatibel
Injektion Cisatracurium besylate 2 mg/ml
Parenterale Ernährung (mit Lipiden) 4507
Nicht spezifizierte Inkompatibilität nicht kompatibel
Injektion Cisatracurium besylate
Ringer Lactat - Lösung 3601
Farbwechsel nicht kompatibel
Injektion Cisatracurium besylate 5 mg/ml
Injektion Heparin sodium 500 UI/ml
0,9% Natriumchlorid 3463
kompatibel
Injektion Cisatracurium besylate 0.1 & 2 mg/ml
Injektion Heparin sodium 100 UI/ml
5% Glucose 299
Nicht spezifizierte Inkompatibilität nicht kompatibel
Injektion Cisatracurium besylate 5 mg/ml
Injektion Heparin sodium 500 UI/ml
0,9% Natriumchlorid 3823
kompatibel
Injektion Cisatracurium besylate
5% Glucose 3601
Nicht spezifizierte Inkompatibilität nicht kompatibel
Injektion Cisatracurium besylate
Injektion Heparin sodium
3540
kompatibel
Injektion Cisatracurium besylate 0.5 mg/ml
Injektion Hetastarch 60 mg/ml
spezifische Lösungsmittel 1721
kompatibel
Injektion Cisatracurium besylate 0.1 >> 5 mg/ml
Injektion Hydrocortisone sodium succinate 1 mg/ml
5% Glucose 299
kompatibel
Injektion Cisatracurium besylate 2 mg/ml
Injektion Hydrocortisone sodium succinate 1 mg/ml
0,9% Natriumchlorid 4465
kompatibel
Injektion Cisatracurium besylate 0.1 >> 5 mg/ml
Injektion Hydromorphone hydrochloride 0.5 mg/ml
5% Glucose 299
kompatibel
Injektion Cisatracurium besylate 0.1 >> 5 mg/ml
Injektion Hydroxyzine dihydrochloride 2 mg/ml
5% Glucose 299
kompatibel
Injektion Cisatracurium besylate 0.1 >> 5 mg/ml
Injektion Imipenem - cilastatin sodium 10 mg/ml
5% Glucose 299
kompatibel
Injektion Cisatracurium besylate 0,4 mg/ml
Injektion Imipenem-Cilastatin / Relebactam 5 mg/ml
0,9% Natriumchlorid 4433
kompatibel
Injektion Cisatracurium besylate 0,4 mg/ml
Injektion Imipenem-Cilastatin / Relebactam 5 mg/ml
5% Glucose 4433
kompatibel
Injektion Cisatracurium besylate 1 mg/ml
Injektion Insulin 1 UI/ml
0,9% Natriumchlorid 3429
kompatibel
Injektion Cisatracurium besylate 5 mg/ml
Injektion Insulin 2 UI/ml
0,9% Natriumchlorid 3823
kompatibel
Injektion Cisatracurium besylate 0.4 mg/ml
Injektion Isavuconazonium sulfate 1.5 mg/ml
0,9% Natriumchlorid 3829
kompatibel
Injektion Cisatracurium besylate 0.4 mg/ml
Injektion Isavuconazonium sulfate 1.5 mg/ml
5% Glucose 3829
kompatibel
Injektion Cisatracurium besylate 0.1 >> 5 mg/ml
Injektion Isoprenaline hydrochloride 0.02 mg/ml
5% Glucose 299
kompatibel
Injektion Cisatracurium besylate 0.1 >> 5 mg/ml
Injektion Ketorolac tromethamine 15 mg/ml
5% Glucose 299
Nicht spezifizierte Inkompatibilität nicht kompatibel
Injektion Cisatracurium besylate
Injektion Ketorolac tromethamine
3601
kompatibel
Injektion Cisatracurium besylate 0.1 >> 5 mg/ml
Injektion Lorazepam 0.5 mg/ml
5% Glucose 299
kompatibel
Injektion Cisatracurium besylate 0.1 >> 5 mg/ml
Injektion Magnesium sulfate 100 mg/ml
5% Glucose 299
kompatibel
Injektion Cisatracurium besylate 0.1 >> 5 mg/ml
Injektion Mannitol 150 mg/ml
5% Glucose 299
kompatibel
Injektion Cisatracurium besylate
0,9% Natriumchlorid 3601
kompatibel
Injektion Cisatracurium besylate 2 mg/ml
Injektion Labetalol hydrochloride 5 mg/ml
0,9% Natriumchlorid 3879
kompatibel
Injektion Cisatracurium besylate 1 mg/ml
Injektion Levetiracetam 5 mg/ml
0,9% Natriumchlorid 4569
kompatibel
Injektion Cisatracurium besylate 0.1 >> 5 mg/ml
Injektion Lidocaine hydrochloride 8 mg/ml
5% Glucose 299
kompatibel
Injektion Cisatracurium besylate 2 mg/ml
Injektion Linezolid 2 mg/ml
Kein 1925
kompatibel
Injektion Cisatracurium besylate 0.1 mg/ml
Injektion Methylprednisolone sodium succinate 5 mg/ml
5% Glucose 299
Sofortige Trübung nicht kompatibel
Injektion Cisatracurium besylate 2 & 5 mg/ml
Injektion Methylprednisolone sodium succinate 5 mg/ml
5% Glucose 299
kompatibel
Injektion Cisatracurium besylate 0.1 >> 5 mg/ml
Injektion Metoclopramide hydrochloride 5 mg/ml
5% Glucose 299
kompatibel
Injektion Cisatracurium besylate 2 mg/ml
Injektion Metoprolol tartrate 0.4 mg/ml
0,9% Natriumchlorid 3879
kompatibel
Injektion Cisatracurium besylate 0.1 >> 5 mg/ml
Injektion Metronidazole 5 mg/ml
5% Glucose 299
Sofortiger Niederschlag nicht kompatibel
Injektion Cisatracurium besylate 0.5 mg/ml
Injektion Micafungin 1.5 mg/ml
0,9% Natriumchlorid 2108
kompatibel
Injektion Cisatracurium besylate
Injektion Midazolam hydrochloride
3601
kompatibel
Injektion Cisatracurium besylate 5 mg/ml
Injektion Midazolam hydrochloride 2.1 mg/ml
0,9% Natriumchlorid 3823
kompatibel
Injektion Cisatracurium besylate 0.1 >> 5 mg/ml
Injektion Midazolam hydrochloride 1 mg/ml
5% Glucose 299
kompatibel
Injektion Cisatracurium besylate 0.1 >> 5 mg/ml
Injektion Minocycline hydrochloride 0.2 mg/ml
5% Glucose 299
kompatibel
Injektion Cisatracurium besylate 0.1 >> 5 mg/ml
Injektion Morphine sulfate 1 mg/ml
5% Glucose 299
kompatibel
Injektion Cisatracurium besylate 0.1 >> 5 mg/ml
Injektion Nalbuphine hydrochloride 10 mg/ml
5% Glucose 299
kompatibel
Injektion Cisatracurium besylate 0.1 >> 5 mg/ml
Injektion Netilmicin sulfate 5 mg/ml
5% Glucose 299
kompatibel
Injektion Cisatracurium besylate 1 mg/ml
Injektion Nicardipine hydrochloride 0,5 mg/ml
0,9% Natriumchlorid 3429
kompatibel
Injektion Cisatracurium besylate 5 mg/ml
Injektion Nimodipine 0.2 mg/ml
0,9% Natriumchlorid 3823
kompatibel
Injektion Cisatracurium besylate 0.1 >> 5 mg/ml
Injektion Nitroglycerin 0.4 mg/ml
5% Glucose 299
kompatibel
Injektion Cisatracurium besylate 5 mg/ml
Injektion Nitroglycerin 0.2 mg/ml
5% Glucose 3823
Sofortiger Niederschlag nicht kompatibel
Injektion Cisatracurium besylate 2 & 5 mg/ml
Injektion Nitroprusside sodium 2 mg/ml
5% Glucose 299
kompatibel
Injektion Cisatracurium besylate 0.1 mg/ml
Injektion Nitroprusside sodium 2 mg/ml
5% Glucose 299
kompatibel
Injektion Cisatracurium besylate 0.1 >> 5 mg/ml
Injektion Norepinephrine bitartrate 0.12 mg/ml
5% Glucose 299
kompatibel
Injektion Cisatracurium besylate 0.1 >> 5 mg/ml
Injektion Ofloxacin 4 mg/ml
5% Glucose 299
kompatibel
Injektion Cisatracurium besylate 5 mg/ml
Injektion Omeprazole sodium 1.6 mg/ml
0,9% Natriumchlorid 3823
kompatibel
Injektion Cisatracurium besylate 0.1 >> 5 mg/ml
Injektion Ondansetron hydrochloride 1 mg/ml
5% Glucose 299
kompatibel
Injektion Cisatracurium besylate 0,5 mg/ml
Injektion Palonosetron hydrochloride 50 µg/ml
5% Glucose 2227
Trübung in einer Stunde nicht kompatibel
Injektion Cisatracurium besylate 1 mg/ml
Injektion Pantoprazole sodium 0,8 mg/ml
0,9% Natriumchlorid 3429
kompatibel
Injektion Cisatracurium besylate 0.1 >> 5 mg/ml
Injektion Pethidine hydrochloride 4 mg/ml
5% Glucose 299
kompatibel
Injektion Cisatracurium besylate 0.1 >> 5 mg/ml
Injektion Phenylephrine hydrochloride 1 mg/ml
5% Glucose 299
kompatibel
Injektion Cisatracurium besylate 0.1 mg/ml
Injektion Piperacillin sodium 40 mg/ml
5% Glucose 299
Sofortige Trübung nicht kompatibel
Injektion Cisatracurium besylate 2 & 5 mg/ml
Injektion Piperacillin sodium 40 mg/ml
5% Glucose 299
kompatibel
Injektion Cisatracurium besylate 0.1 & 2 mg/ml
Injektion Piperacillin sodium / tazobactam 40/5 mg/ml
5% Glucose 299
Niederschlag nach 4 Stunden nicht kompatibel
Injektion Cisatracurium besylate 5 mg/ml
Injektion Piperacillin sodium / tazobactam 40/5 mg/ml
5% Glucose 299
kompatibel
Injektion Cisatracurium besylate 0.4 mg/ml
Injektion Plazomicin sulfate 24 mg/ml
0,9% Natriumchlorid 4145
kompatibel
Injektion Cisatracurium besylate 0.1 >> 5 mg/ml
Injektion Potassium chloride 100 mEq/l
5% Glucose 299
kompatibel
Injektion Cisatracurium besylate 5 mg/ml
Injektion Potassium chloride 10 mEq/l
0,9% Natriumchlorid 3823
kompatibel
Injektion Cisatracurium besylate 0.1 >> 5 mg/ml
Injektion Procainamide hydrochloride 10 mg/ml
5% Glucose 299
kompatibel
Injektion Cisatracurium besylate 0.1 >> 5 mg/ml
Injektion Prochlorperazine edysilate 0.5 mg/ml
5% Glucose 299
kompatibel
Injektion Cisatracurium besylate 0.1 >> 5 mg/ml
Injektion Promethazine hydrochloride 2 mg/ml
5% Glucose 299
Nicht spezifizierte Inkompatibilität nicht kompatibel
Injektion Cisatracurium besylate
Injektion Propofol
3601
kompatibel
Injektion Cisatracurium besylate 0.1 >> 5 mg/ml
Injektion Ranitidine hydrochloride 2 mg/ml
5% Glucose 299
kompatibel
Injektion Cisatracurium besylate 5 mg/ml
Injektion Remifentanil hydrochloride 100 µg/ml
0,9% Natriumchlorid 3823
kompatibel
Injektion Cisatracurium besylate 2 mg/ml
Injektion Remifentanil hydrochloride 25 & 250 µg/ml
0,9% Natriumchlorid 59
Nicht spezifizierte Inkompatibilität nicht kompatibel
Injektion Cisatracurium besylate
Injektion Sodium bicarbonate
3466
Trübung in einer Stunde nicht kompatibel
Injektion Cisatracurium besylate 2 mg/ml
Injektion Sodium bicarbonate 84 mg/ml
5% Glucose 299
Nicht spezifizierte Inkompatibilität nicht kompatibel
Injektion Cisatracurium besylate
Injektion Sodium bicarbonate
3601
kompatibel
Injektion Cisatracurium besylate 0.1 mg/ml
Injektion Sodium bicarbonate 84 mg/ml
5% Glucose 299
Sofortige Trübung nicht kompatibel
Injektion Cisatracurium besylate 5 mg/ml
Injektion Sodium bicarbonate 84 mg/ml
5% Glucose 299
Trübung in 2 Stunden nicht kompatibel
Injektion Cisatracurium besylate 5 mg/ml
Injektion Sodium bicarbonate 84 mg/ml
Kein 3212
kompatibel
Injektion Cisatracurium besylate 0.1 >> 5 mg/ml
Injektion Sufentanil citrate 0.0125 mg/ml
5% Glucose 299
kompatibel
Injektion Cisatracurium besylate
Injektion Sufentanil citrate
3601
kompatibel
Injektion Cisatracurium besylate 0,4 mg/ml
Injektion Sulbactam/durlobactam 15/15 mg/ml
0,9% Natriumchlorid 4801
kompatibel
Injektion Cisatracurium besylate 0.4 mg/ml
Injektion Tedizolid phosphate 0.8 mg/ml
0,9% Natriumchlorid 3827
kompatibel
Injektion Cisatracurium besylate 0.1 >> 5 mg/ml
Injektion Theophylline 3.2 mg/ml
5% Glucose 299
Nicht spezifizierte Inkompatibilität nicht kompatibel
Injektion Cisatracurium besylate
Injektion Thiopental sodium
3601
kompatibel
Injektion Cisatracurium besylate 0.1 mg/ml
Injektion Thiopental sodium 25 mg/ml
5% Glucose 299
Nicht spezifizierte Inkompatibilität nicht kompatibel
Injektion Cisatracurium besylate 5 mg/ml
Injektion Thiopental sodium 60 mg/ml
0,9% Natriumchlorid 3823
Sofortiger Niederschlag nicht kompatibel
Injektion Cisatracurium besylate 2 & 5 mg/ml
Injektion Thiopental sodium 25 mg/ml
5% Glucose 299
kompatibel
Injektion Cisatracurium besylate 0.1 & 2 mg/ml
Injektion Ticarcillin / clavulanic acid 30 mg/ml
5% Glucose 299
Sofortige Trübung nicht kompatibel
Injektion Cisatracurium besylate 5 mg/ml
Injektion Ticarcillin / clavulanic acid 30 mg/ml
5% Glucose 299
kompatibel
Injektion Cisatracurium besylate 0.1 >> 5 mg/ml
Injektion Tobramycin sulfate 5 mg/ml
5% Glucose 299
kompatibel
Injektion Cisatracurium besylate 0.1 >> 5 mg/ml
Injektion Vancomycin hydrochloride 10 mg/ml
5% Glucose 299
kompatibel
Injektion Cisatracurium besylate 1 mg/ml
Injektion Vasopressin 1 UI/ml
0,9% Natriumchlorid 3429
kompatibel
Injektion Cisatracurium besylate 0.1 >> 5 mg/ml
Injektion Zidovudine 4 mg/ml
5% Glucose 299

  Mentions Légales