Senaste uppdateringen :
27/01/2026
cancerläkemedel   Etoposide phosphate  
injektion
Lösningars stabilitet Stabilitet i blandningar Faktorer som påverkar stabiliteten Kompatibilitet Administreringssätt Hänvisningar pdf
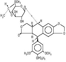
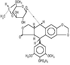
   Molekylstruktur  

Varunamn   Varunamn     

Angivna handelsnamn på läkemedel är enbart vägledande då formulering inklusive hjälpämnen kan variera mellan länder och tillverkare

Etopofos Grekland, Österrike, Sverige
Etopophos Belgien, Bulgarien, Förenta Staterna, Frankrike, Israel, Luxemburg, Nederländerna, nya Zeeland, Polen, Schweiz, Storbritannien, Tyskland
Kompatibilitet   injektion   Kompatibilitet : Etoposide phosphate              
Den här skärmen visar kompatibiliteten eller inkompatibiliteten med, i detta fall, typen av inkompatibilitet (utfällning, färgförändring, modifiering av en emulsion, etc.). De kompatibiliteter som visas här är oftast endast fysiska, varvid den kemiska stabiliteten för varje molekyl sällan utvärderas. Utvärderingen av dessa blandningar studerades för att överväga möjligheten för Y-platsadministrering till patienten. Dessa data kan inte användas för att göra blandningar i förväg i påsar eller sprutor. Denna typ av information finns på skärmen "Stabilitet i blandning".
Substans Lösningsmedel Hänvisningar
Kompatibel
injektion Etoposide phosphate 5 mg/ml
injektion Aciclovir sodium 7 mg/ml
Glukos 5 % 1410
Kompatibel
injektion Etoposide phosphate 5 mg/ml
injektion Amikacin sulfate 5 mg/ml
Glukos 5 % 1410
Kompatibel
injektion Etoposide phosphate 5 mg/ml
injektion Aminophylline 2.5 mg/ml
Glukos 5 % 1410
Omedelbar nederbörd Oförenlig
injektion Etoposide phosphate 5 mg/ml
injektion Amphotericin B 0.6 mg/ml
Glukos 5 % 1410
Kompatibel
injektion Etoposide phosphate 5 mg/ml
injektion Ampicillin sodium 20 mg/ml
Glukos 5 % 1410
Kompatibel
injektion Etoposide phosphate 5 mg/ml
injektion Ampicillin sodium - sulbactam sodium 20/10 mg/ml
Glukos 5 % 1410
Kompatibel
injektion Etoposide phosphate 5 mg/ml
injektion Anidulafungin 0.5 mg/ml
Glukos 5 % 1982
Kompatibel
injektion Etoposide phosphate 5 mg/ml
injektion Aztreonam 40 mg/ml
Glukos 5 % 1410
Kompatibel
injektion Etoposide phosphate 5 mg/ml
injektion Bleomycin sulfate 1 mg/ml
Natriumklorid 0,9 % 1410
Kompatibel
injektion Etoposide phosphate 5 mg/ml
injektion Bumetanide 0.04 mg/ml
Glukos 5 % 1410
Kompatibel
injektion Etoposide phosphate 5 mg/ml
injektion Buprenorphine hydrochloride 0.04 mg/ml
Glukos 5 % 1410
Kompatibel
injektion Etoposide phosphate 5 mg/ml
injektion Butorphanol tartrate 0.04 mg/ml
Glukos 5 % 1410
Ospecificerad inkompatibilitet Oförenlig
injektion Etoposide phosphate
injektion Calcium gluconate
3644
Kompatibel
injektion Etoposide phosphate 5 mg/ml
injektion Calcium gluconate 40 mg/ml
Glukos 5 % 1410
Kompatibel
injektion Etoposide phosphate 5 mg/ml
injektion Carboplatin 5 mg/ml
Glukos 5 % 1410
Kompatibel
injektion Etoposide phosphate 5 mg/ml
injektion Carmustine 1.5 mg/ml
Glukos 5 % 1410
Kompatibel
injektion Etoposide phosphate 5 mg/ml
injektion Caspofungin acetate 0,7 mg/ml
Natriumklorid 0,9 % 2247
Kompatibel
injektion Etoposide phosphate 5 mg/ml
injektion Cefazolin sodium 20 mg/ml
Glukos 5 % 1410
Omedelbar grumlighet Oförenlig
injektion Etoposide phosphate 5 mg/ml
injektion Cefepime dihydrochloride 20 mg/ml
Glukos 5 % 1410
Kompatibel
injektion Etoposide phosphate 5 mg/ml
injektion Cefonicid sodium 20 mg/ml
Glukos 5 % 1410
Kompatibel
injektion Etoposide phosphate 5 mg/ml
injektion Cefoperazone sodium 40 mg/ml
Glukos 5 % 1410
Kompatibel
injektion Etoposide phosphate 5 mg/ml
injektion Cefotaxime sodium 20 mg/ml
Glukos 5 % 1410
Kompatibel
injektion Etoposide phosphate 5 mg/ml
injektion Cefoxitin sodium 20 mg/ml
Glukos 5 % 1410
Kompatibel
injektion Etoposide phosphate 5 mg/ml
injektion Ceftazidime 40 mg/ml
Glukos 5 % 1410
Kompatibel
injektion Etoposide phosphate 5 mg/ml
injektion Ceftriaxone disodium 20 mg/ml
Glukos 5 % 1410
Kompatibel
injektion Etoposide phosphate
Glukos 5 % 3655
Oförenlig
injektion Etoposide phosphate
injektion Calcium gluconate
4964
Kompatibel
injektion Etoposide phosphate 5 mg/ml
injektion Ceftizoxime sodium 20 mg/ml
Glukos 5 % 1410
Kompatibel
injektion Etoposide phosphate 5 mg/ml
injektion Cefuroxime sodium 30 mg/ml
Glukos 5 % 1410
Omedelbar grumlighet Oförenlig
injektion Etoposide phosphate 5 mg/ml
injektion Chlorpromazine hydrochloride 2 mg/ml
Glukos 5 % 1410
Kompatibel
injektion Etoposide phosphate 5 mg/ml
injektion Cimetidine hydrochloride 12 mg/ml
Glukos 5 % 1410
Kompatibel
injektion Etoposide phosphate 5 mg/ml
injektion Ciprofloxacin lactate 1 mg/ml
Glukos 5 % 1410
Kompatibel
injektion Etoposide phosphate 5 mg/ml
injektion Cisplatin 1 mg/ml
Glukos 5 % 1410
Kompatibel
injektion Etoposide phosphate 5 mg/ml
injektion Clindamycin phosphate 10 mg/ml
Glukos 5 % 1410
Kompatibel
injektion Etoposide phosphate 5 mg/ml
injektion Co-trimoxazole 0.8/4 mg/ml
Glukos 5 % 1410
Kompatibel
injektion Etoposide phosphate 5 mg/ml
injektion Cyclophosphamide 10 mg/ml
Glukos 5 % 1410
Kompatibel
injektion Etoposide phosphate 5 mg/ml
injektion Cytarabine 50 mg/ml
Glukos 5 % 1410
Kompatibel
injektion Etoposide phosphate 5 mg/ml
injektion Dacarbazine 4 mg/ml
Glukos 5 % 1410
Kompatibel
injektion Etoposide phosphate 5 mg/ml
injektion Dactinomycin 10 µg/ml
Glukos 5 % 1410
Kompatibel
injektion Etoposide phosphate 5 mg/ml
injektion Daunorubicin hydrochloride 1 mg/ml
Glukos 5 % 1410
Kompatibel
injektion Etoposide phosphate 5 mg/ml
injektion Dexamethasone sodium phosphate 1 mg/ml
Glukos 5 % 1410
Kompatibel
injektion Etoposide phosphate 5 mg/ml
injektion Diphenhydramine hydrochloride 2 mg/ml
Glukos 5 % 1410
Kompatibel
injektion Etoposide phosphate 5 mg/ml
injektion Dobutamine hydrochloride 4 mg/ml
Glukos 5 % 1410
Kompatibel
injektion Etoposide phosphate 5 mg/ml
injektion Dopamine hydrochloride 3.2 mg/ml
Glukos 5 % 1410
Kompatibel
injektion Etoposide phosphate 5 mg/ml
injektion Doripenem 5 mg/ml
Natriumklorid 0,9 % 2262
Kompatibel
injektion Etoposide phosphate 5 mg/ml
injektion Doripenem 5 mg/ml
Glukos 5 % 2262
Kompatibel
injektion Etoposide phosphate 5 mg/ml
injektion Doxorubicin hydrochloride 2 mg/ml
Glukos 5 % 1410
Kompatibel
injektion Etoposide phosphate 5 mg/ml
injektion Doxycycline hyclate 1 mg/ml
Glukos 5 % 1410
Kompatibel
injektion Etoposide phosphate 5 mg/ml
injektion Droperidol 0.4 mg/ml
Glukos 5 % 1410
Kompatibel
injektion Etoposide phosphate 5 mg/ml
injektion Enalaprilate 0.1 mg/ml
Glukos 5 % 1410
Kompatibel
injektion Etoposide phosphate 5 mg/ml
injektion Famotidine 2 mg/ml
Glukos 5 % 1410
Kompatibel
injektion Etoposide phosphate 5 mg/ml
injektion Floxuridine 3 mg/ml
Glukos 5 % 1410
Kompatibel
injektion Etoposide phosphate 5 mg/ml
injektion Fluconazole 2 mg/ml
Glukos 5 % 1410
Kompatibel
injektion Etoposide phosphate 5 mg/ml
injektion Fludarabine phosphate 1 mg/ml
Glukos 5 % 1410
Kompatibel
injektion Etoposide phosphate 5 mg/ml
injektion Fluorouracil 16 mg/ml
Glukos 5 % 1410
Kompatibel
injektion Etoposide phosphate 5 mg/ml
injektion Folinate calcium 2 mg/ml
Glukos 5 % 1410
Kompatibel
injektion Etoposide phosphate 5 mg/ml
injektion Furosemide 3 mg/ml
Glukos 5 % 1410
Kompatibel
injektion Etoposide phosphate 5 mg/ml
injektion Gallium nitrate 0.4 mg/ml
Glukos 5 % 1410
Kompatibel
injektion Etoposide phosphate 5 mg/ml
injektion Ganciclovir sodium 20 mg/ml
Glukos 5 % 1410
Kompatibel
injektion Etoposide phosphate 5 mg/ml
injektion Gemcitabine hydrochloride 10 mg/ml
Natriumklorid 0,9 % 1423
Kompatibel
injektion Etoposide phosphate 5 mg/ml
injektion Gentamicin sulfate 5 mg/ml
Glukos 5 % 1410
Kompatibel
injektion Etoposide phosphate 5 mg/ml
injektion Granisetron hydrochloride 0.05 mg/ml
Glukos 5 % 1410
Kompatibel
injektion Etoposide phosphate 5 mg/ml
injektion Haloperidol lactate 0.2 mg/ml
Glukos 5 % 1410
Kompatibel
injektion Etoposide phosphate 5 mg/ml
injektion Heparin sodium 100 UI/ml
Glukos 5 % 1410
Kompatibel
injektion Etoposide phosphate 5 mg/ml
injektion Hydrocortisone sodium succinate 1 mg/ml
Glukos 5 % 1410
Kompatibel
injektion Etoposide phosphate 5 mg/ml
injektion Hydromorphone hydrochloride 0.5 mg/ml
Glukos 5 % 1410
Kompatibel
injektion Etoposide phosphate 5 mg/ml
injektion Hydroxyzine dihydrochloride 4 mg/ml
Glukos 5 % 1410
Kompatibel
injektion Etoposide phosphate 5 mg/ml
injektion Idarubicin hydrochloride 0.5 mg/ml
Glukos 5 % 1410
Kompatibel
injektion Etoposide phosphate 5 mg/ml
injektion Ifosfamide 25 mg/ml
Glukos 5 % 1410
Färgändring efter 4 timmar Oförenlig
injektion Etoposide phosphate 5 mg/ml
injektion Imipenem - cilastatin sodium 10 mg/ml
Natriumklorid 0,9 % 1410
Omedelbar nederbörd Oförenlig
injektion Etoposide phosphate 5 mg/ml
injektion Lansoprazole 0.55 mg/ml
Natriumklorid 0,9 % 1625
Kompatibel
injektion Etoposide phosphate 5 mg/ml
injektion Linezolid 2 mg/ml
Ingen 1925
Kompatibel
injektion Etoposide phosphate
Natriumklorid 0,9 % 3655
Kompatibel
injektion Etoposide phosphate 5 mg/ml
injektion Lorazepam 0.5 mg/ml
Glukos 5 % 1410
Ospecificerad inkompatibilitet Oförenlig
injektion Etoposide phosphate
injektion Magnesium sulfate
3838
Kompatibel
injektion Etoposide phosphate 5 mg/ml
injektion Magnesium sulfate 100 mg/ml
Glukos 5 % 1410
Kompatibel
injektion Etoposide phosphate 5 mg/ml
injektion Mannitol 150 mg/ml
Glukos 5 % 1410
Kompatibel
injektion Etoposide phosphate 5 mg/ml
injektion Mesna 10 mg/ml
Glukos 5 % 1410
Kompatibel
injektion Etoposide phosphate 5 mg/ml
injektion Methotrexate sodium 15 mg/ml
Glukos 5 % 1410
Omedelbar grumlighet Oförenlig
injektion Etoposide phosphate 5 mg/ml
injektion Methylprednisolone sodium succinate 5 mg/ml
Glukos 5 % 1410
Kompatibel
injektion Etoposide phosphate 5 mg/ml
injektion Metoclopramide hydrochloride 5 mg/ml
Glukos 5 % 1410
Kompatibel
injektion Etoposide phosphate 5 mg/ml
injektion Metronidazole 5 mg/ml
Glukos 5 % 1410
Kompatibel
injektion Etoposide phosphate 5 mg/ml
injektion Minocycline hydrochloride 0.2 mg/ml
Glukos 5 % 1410
Färgändring efter 4 timmar Oförenlig
injektion Etoposide phosphate 5 mg/ml
injektion Mitomycin 0.5 mg/ml
Glukos 5 % 1410
Kompatibel
injektion Etoposide phosphate 5 mg/ml
injektion Mitoxantrone dihydrochloride 0.5 mg/ml
Glukos 5 % 1410
Kompatibel
injektion Etoposide phosphate 5 mg/ml
injektion Morphine sulfate 1 mg/ml
Glukos 5 % 1410
Kompatibel
injektion Etoposide phosphate 5 mg/ml
injektion Nalbuphine hydrochloride 10 mg/ml
Glukos 5 % 1410
Kompatibel
injektion Etoposide phosphate 5 mg/ml
injektion Netilmicin sulfate 5 mg/ml
Glukos 5 % 1410
Kompatibel
injektion Etoposide phosphate 5 mg/ml
injektion Ofloxacin 4 mg/ml
Glukos 5 % 1410
Kompatibel
injektion Etoposide phosphate 5 mg/ml
injektion Ondansetron hydrochloride 1 mg/ml
Glukos 5 % 1410
Kompatibel
injektion Etoposide phosphate 5 mg/ml
injektion Oxaliplatin 0,5 mg/ml
Glukos 5 % 1662
Kompatibel
injektion Etoposide phosphate 5 mg/ml
injektion Paclitaxel 1.2 mg/ml
Glukos 5 % 1410
Kompatibel
injektion Etoposide phosphate 5 mg/ml
injektion Pethidine hydrochloride 4 mg/ml
Glukos 5 % 1410
Kompatibel
injektion Etoposide phosphate 5 mg/ml
injektion Piperacillin sodium 40 mg/ml
Glukos 5 % 1410
Kompatibel
injektion Etoposide phosphate 5 mg/ml
injektion Piperacillin sodium / tazobactam 40/5 mg/ml
Natriumklorid 0,9 % 1410
Kompatibel
injektion Etoposide phosphate 5 mg/ml
injektion Potassium chloride 100 mEq/l
Glukos 5 % 1410
Omedelbar grumlighet Oförenlig
injektion Etoposide phosphate 5 mg/ml
injektion Prochlorperazine edysilate 0.5 mg/ml
Glukos 5 % 1410
Kompatibel
injektion Etoposide phosphate 5 mg/ml
injektion Promethazine hydrochloride 2 mg/ml
Glukos 5 % 1410
Kompatibel
injektion Etoposide phosphate 5 mg/ml
injektion Ranitidine hydrochloride 2 mg/ml
Glukos 5 % 1410
Kompatibel
injektion Etoposide phosphate 5 mg/ml
injektion Sodium bicarbonate 84 mg/ml
Glukos 5 % 1410
Kompatibel
injektion Etoposide phosphate 5 mg/ml
injektion Streptozocin 40 mg/ml
Glukos 5 % 1410
Färgändring efter 4 timmar Oförenlig
injektion Etoposide phosphate 5 mg/ml
injektion Teniposide 0.1 mg/ml
Natriumklorid 0,9 % 1410
Kompatibel
injektion Etoposide phosphate 5 mg/ml
injektion Thiotepa 1 mg/ml
Glukos 5 % 1410
Kompatibel
injektion Etoposide phosphate 5 mg/ml
injektion Ticarcillin / clavulanic acid 31 mg/ml
Glukos 5 % 1410
Kompatibel
injektion Etoposide phosphate 5 mg/ml
injektion Tobramycin sulfate 5 mg/ml
Glukos 5 % 1410
Kompatibel
injektion Etoposide phosphate 5 mg/ml
injektion Vancomycin hydrochloride 10 mg/ml
Glukos 5 % 1410
Kompatibel
injektion Etoposide phosphate 5 mg/ml
injektion Vinblastine sulfate 0.12 mg/ml
Glukos 5 % 1410
Kompatibel
injektion Etoposide phosphate 5 mg/ml
injektion Vincristine sulfate 0.05 mg/ml
Glukos 5 % 1410
Kompatibel
injektion Etoposide phosphate 5 mg/ml
injektion Zidovudine 4 mg/ml
Glukos 5 % 1410

  Mentions Légales