Последно актуализиране :
18/03/2026
противораково лекарство   Etoposide phosphate  
Инжекция/Инжекционен
Стабилност на разтвори Стабилност на смеси Фактори, повлияващи стабилността Съвместимост Път на въвеждане Библиография Pdf
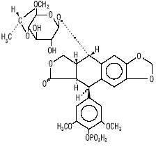
   Химична структура  

Търговско наименование   Търговско наименование     

Търговските имена са примерни и съставът на помощните вещества може да бъде различен в зависимост от държавата и лабораториите

Etopofos Австрия, Гърция, Швеция
Etopophos Белгия, България, Великобритания, Германия, Израел, Люксенбург, нова Зеландия, Полша, Съединени Американски щати / САЩ, Франция, Холандия, Швейцария
Съвместимост   Инжекция/Инжекционен   Съвместимост : Etoposide phosphate              
Този екран показва съвместимостта или несъвместимостта с, в този случай, вида на несъвместимостта (утаяване, промяна на цвета, модификация на емулсия и др.). Показаните тук съвместимости са предимно физически, като рядко се оценява химическата стабилност на всяка молекула. Оценката на тези смеси беше проучена, за да се разгледа възможността за приложение на Y-място на пациента. Тези данни не могат да се използват за предварително приготвяне на смеси в торбички или спринцовки. Този тип информация е достъпна на екрана "Стабилност в сместа".
Състав / молекула Разтворител Библиография
съвместим
Инжекция/Инжекционен Etoposide phosphate 5 mg/ml
Инжекция/Инжекционен Aciclovir sodium 7 mg/ml
Glucose 5% 1410
съвместим
Инжекция/Инжекционен Etoposide phosphate 5 mg/ml
Инжекция/Инжекционен Amikacin sulfate 5 mg/ml
Glucose 5% 1410
съвместим
Инжекция/Инжекционен Etoposide phosphate 5 mg/ml
Инжекция/Инжекционен Aminophylline 2.5 mg/ml
Glucose 5% 1410
Незабавни валежи Несъвместим
Инжекция/Инжекционен Etoposide phosphate 5 mg/ml
Инжекция/Инжекционен Amphotericin B 0.6 mg/ml
Glucose 5% 1410
съвместим
Инжекция/Инжекционен Etoposide phosphate 5 mg/ml
Инжекция/Инжекционен Ampicillin sodium 20 mg/ml
Glucose 5% 1410
съвместим
Инжекция/Инжекционен Etoposide phosphate 5 mg/ml
Инжекция/Инжекционен Ampicillin sodium - sulbactam sodium 20/10 mg/ml
Glucose 5% 1410
съвместим
Инжекция/Инжекционен Etoposide phosphate 5 mg/ml
Инжекция/Инжекционен Anidulafungin 0.5 mg/ml
Glucose 5% 1982
съвместим
Инжекция/Инжекционен Etoposide phosphate 5 mg/ml
Инжекция/Инжекционен Aztreonam 40 mg/ml
Glucose 5% 1410
съвместим
Инжекция/Инжекционен Etoposide phosphate 5 mg/ml
Инжекция/Инжекционен Bleomycin sulfate 1 mg/ml
Sodium chloride 0,9% 1410
съвместим
Инжекция/Инжекционен Etoposide phosphate 5 mg/ml
Инжекция/Инжекционен Bumetanide 0.04 mg/ml
Glucose 5% 1410
съвместим
Инжекция/Инжекционен Etoposide phosphate 5 mg/ml
Инжекция/Инжекционен Buprenorphine hydrochloride 0.04 mg/ml
Glucose 5% 1410
съвместим
Инжекция/Инжекционен Etoposide phosphate 5 mg/ml
Инжекция/Инжекционен Butorphanol tartrate 0.04 mg/ml
Glucose 5% 1410
Неопределена несъвместимост Несъвместим
Инжекция/Инжекционен Etoposide phosphate
Инжекция/Инжекционен Calcium gluconate
3644
съвместим
Инжекция/Инжекционен Etoposide phosphate 5 mg/ml
Инжекция/Инжекционен Calcium gluconate 40 mg/ml
Glucose 5% 1410
съвместим
Инжекция/Инжекционен Etoposide phosphate 5 mg/ml
Инжекция/Инжекционен Carboplatin 5 mg/ml
Glucose 5% 1410
съвместим
Инжекция/Инжекционен Etoposide phosphate 5 mg/ml
Инжекция/Инжекционен Carmustine 1.5 mg/ml
Glucose 5% 1410
съвместим
Инжекция/Инжекционен Etoposide phosphate 5 mg/ml
Инжекция/Инжекционен Caspofungin acetate 0,7 mg/ml
Sodium chloride 0,9% 2247
съвместим
Инжекция/Инжекционен Etoposide phosphate 5 mg/ml
Инжекция/Инжекционен Cefazolin sodium 20 mg/ml
Glucose 5% 1410
Незабавна мътност Несъвместим
Инжекция/Инжекционен Etoposide phosphate 5 mg/ml
Инжекция/Инжекционен Cefepime dihydrochloride 20 mg/ml
Glucose 5% 1410
съвместим
Инжекция/Инжекционен Etoposide phosphate 5 mg/ml
Инжекция/Инжекционен Cefonicid sodium 20 mg/ml
Glucose 5% 1410
съвместим
Инжекция/Инжекционен Etoposide phosphate 5 mg/ml
Инжекция/Инжекционен Cefoperazone sodium 40 mg/ml
Glucose 5% 1410
съвместим
Инжекция/Инжекционен Etoposide phosphate 5 mg/ml
Инжекция/Инжекционен Cefotaxime sodium 20 mg/ml
Glucose 5% 1410
съвместим
Инжекция/Инжекционен Etoposide phosphate 5 mg/ml
Инжекция/Инжекционен Cefoxitin sodium 20 mg/ml
Glucose 5% 1410
съвместим
Инжекция/Инжекционен Etoposide phosphate 5 mg/ml
Инжекция/Инжекционен Ceftazidime 40 mg/ml
Glucose 5% 1410
съвместим
Инжекция/Инжекционен Etoposide phosphate 5 mg/ml
Инжекция/Инжекционен Ceftriaxone disodium 20 mg/ml
Glucose 5% 1410
съвместим
Инжекция/Инжекционен Etoposide phosphate
Glucose 5% 3655
Несъвместим
Инжекция/Инжекционен Etoposide phosphate
Инжекция/Инжекционен Calcium gluconate
4964
съвместим
Инжекция/Инжекционен Etoposide phosphate 5 mg/ml
Инжекция/Инжекционен Ceftizoxime sodium 20 mg/ml
Glucose 5% 1410
съвместим
Инжекция/Инжекционен Etoposide phosphate 5 mg/ml
Инжекция/Инжекционен Cefuroxime sodium 30 mg/ml
Glucose 5% 1410
Незабавна мътност Несъвместим
Инжекция/Инжекционен Etoposide phosphate 5 mg/ml
Инжекция/Инжекционен Chlorpromazine hydrochloride 2 mg/ml
Glucose 5% 1410
съвместим
Инжекция/Инжекционен Etoposide phosphate 5 mg/ml
Инжекция/Инжекционен Cimetidine hydrochloride 12 mg/ml
Glucose 5% 1410
съвместим
Инжекция/Инжекционен Etoposide phosphate 5 mg/ml
Инжекция/Инжекционен Ciprofloxacin lactate 1 mg/ml
Glucose 5% 1410
съвместим
Инжекция/Инжекционен Etoposide phosphate 5 mg/ml
Инжекция/Инжекционен Cisplatin 1 mg/ml
Glucose 5% 1410
съвместим
Инжекция/Инжекционен Etoposide phosphate 5 mg/ml
Инжекция/Инжекционен Clindamycin phosphate 10 mg/ml
Glucose 5% 1410
съвместим
Инжекция/Инжекционен Etoposide phosphate 5 mg/ml
Инжекция/Инжекционен Co-trimoxazole 0.8/4 mg/ml
Glucose 5% 1410
съвместим
Инжекция/Инжекционен Etoposide phosphate 5 mg/ml
Инжекция/Инжекционен Cyclophosphamide 10 mg/ml
Glucose 5% 1410
съвместим
Инжекция/Инжекционен Etoposide phosphate 5 mg/ml
Инжекция/Инжекционен Cytarabine 50 mg/ml
Glucose 5% 1410
съвместим
Инжекция/Инжекционен Etoposide phosphate 5 mg/ml
Инжекция/Инжекционен Dacarbazine 4 mg/ml
Glucose 5% 1410
съвместим
Инжекция/Инжекционен Etoposide phosphate 5 mg/ml
Инжекция/Инжекционен Dactinomycin 10 µg/ml
Glucose 5% 1410
съвместим
Инжекция/Инжекционен Etoposide phosphate 5 mg/ml
Инжекция/Инжекционен Daunorubicin hydrochloride 1 mg/ml
Glucose 5% 1410
съвместим
Инжекция/Инжекционен Etoposide phosphate 5 mg/ml
Инжекция/Инжекционен Dexamethasone sodium phosphate 1 mg/ml
Glucose 5% 1410
съвместим
Инжекция/Инжекционен Etoposide phosphate 5 mg/ml
Инжекция/Инжекционен Diphenhydramine hydrochloride 2 mg/ml
Glucose 5% 1410
съвместим
Инжекция/Инжекционен Etoposide phosphate 5 mg/ml
Инжекция/Инжекционен Dobutamine hydrochloride 4 mg/ml
Glucose 5% 1410
съвместим
Инжекция/Инжекционен Etoposide phosphate 5 mg/ml
Инжекция/Инжекционен Dopamine hydrochloride 3.2 mg/ml
Glucose 5% 1410
съвместим
Инжекция/Инжекционен Etoposide phosphate 5 mg/ml
Инжекция/Инжекционен Doripenem 5 mg/ml
Sodium chloride 0,9% 2262
съвместим
Инжекция/Инжекционен Etoposide phosphate 5 mg/ml
Инжекция/Инжекционен Doripenem 5 mg/ml
Glucose 5% 2262
съвместим
Инжекция/Инжекционен Etoposide phosphate 5 mg/ml
Инжекция/Инжекционен Doxorubicin hydrochloride 2 mg/ml
Glucose 5% 1410
съвместим
Инжекция/Инжекционен Etoposide phosphate 5 mg/ml
Инжекция/Инжекционен Doxycycline hyclate 1 mg/ml
Glucose 5% 1410
съвместим
Инжекция/Инжекционен Etoposide phosphate 5 mg/ml
Инжекция/Инжекционен Droperidol 0.4 mg/ml
Glucose 5% 1410
съвместим
Инжекция/Инжекционен Etoposide phosphate 5 mg/ml
Инжекция/Инжекционен Enalaprilate 0.1 mg/ml
Glucose 5% 1410
съвместим
Инжекция/Инжекционен Etoposide phosphate 5 mg/ml
Инжекция/Инжекционен Famotidine 2 mg/ml
Glucose 5% 1410
съвместим
Инжекция/Инжекционен Etoposide phosphate 5 mg/ml
Инжекция/Инжекционен Floxuridine 3 mg/ml
Glucose 5% 1410
съвместим
Инжекция/Инжекционен Etoposide phosphate 5 mg/ml
Инжекция/Инжекционен Fluconazole 2 mg/ml
Glucose 5% 1410
съвместим
Инжекция/Инжекционен Etoposide phosphate 5 mg/ml
Инжекция/Инжекционен Fludarabine phosphate 1 mg/ml
Glucose 5% 1410
съвместим
Инжекция/Инжекционен Etoposide phosphate 5 mg/ml
Инжекция/Инжекционен Fluorouracil 16 mg/ml
Glucose 5% 1410
съвместим
Инжекция/Инжекционен Etoposide phosphate 5 mg/ml
Инжекция/Инжекционен Folinate calcium 2 mg/ml
Glucose 5% 1410
съвместим
Инжекция/Инжекционен Etoposide phosphate 5 mg/ml
Инжекция/Инжекционен Furosemide 3 mg/ml
Glucose 5% 1410
съвместим
Инжекция/Инжекционен Etoposide phosphate 5 mg/ml
Инжекция/Инжекционен Gallium nitrate 0.4 mg/ml
Glucose 5% 1410
съвместим
Инжекция/Инжекционен Etoposide phosphate 5 mg/ml
Инжекция/Инжекционен Ganciclovir sodium 20 mg/ml
Glucose 5% 1410
съвместим
Инжекция/Инжекционен Etoposide phosphate 5 mg/ml
Инжекция/Инжекционен Gemcitabine hydrochloride 10 mg/ml
Sodium chloride 0,9% 1423
съвместим
Инжекция/Инжекционен Etoposide phosphate 5 mg/ml
Инжекция/Инжекционен Gentamicin sulfate 5 mg/ml
Glucose 5% 1410
съвместим
Инжекция/Инжекционен Etoposide phosphate 5 mg/ml
Инжекция/Инжекционен Granisetron hydrochloride 0.05 mg/ml
Glucose 5% 1410
съвместим
Инжекция/Инжекционен Etoposide phosphate 5 mg/ml
Инжекция/Инжекционен Haloperidol lactate 0.2 mg/ml
Glucose 5% 1410
съвместим
Инжекция/Инжекционен Etoposide phosphate 5 mg/ml
Инжекция/Инжекционен Heparin sodium 100 UI/ml
Glucose 5% 1410
съвместим
Инжекция/Инжекционен Etoposide phosphate 5 mg/ml
Инжекция/Инжекционен Hydrocortisone sodium succinate 1 mg/ml
Glucose 5% 1410
съвместим
Инжекция/Инжекционен Etoposide phosphate 5 mg/ml
Инжекция/Инжекционен Hydromorphone hydrochloride 0.5 mg/ml
Glucose 5% 1410
съвместим
Инжекция/Инжекционен Etoposide phosphate 5 mg/ml
Инжекция/Инжекционен Hydroxyzine dihydrochloride 4 mg/ml
Glucose 5% 1410
съвместим
Инжекция/Инжекционен Etoposide phosphate 5 mg/ml
Инжекция/Инжекционен Idarubicin hydrochloride 0.5 mg/ml
Glucose 5% 1410
съвместим
Инжекция/Инжекционен Etoposide phosphate 5 mg/ml
Инжекция/Инжекционен Ifosfamide 25 mg/ml
Glucose 5% 1410
Промяна на цвета след 4 часа Несъвместим
Инжекция/Инжекционен Etoposide phosphate 5 mg/ml
Инжекция/Инжекционен Imipenem - cilastatin sodium 10 mg/ml
Sodium chloride 0,9% 1410
Незабавни валежи Несъвместим
Инжекция/Инжекционен Etoposide phosphate 5 mg/ml
Инжекция/Инжекционен Lansoprazole 0.55 mg/ml
Sodium chloride 0,9% 1625
съвместим
Инжекция/Инжекционен Etoposide phosphate 5 mg/ml
Инжекция/Инжекционен Linezolid 2 mg/ml
Няма 1925
съвместим
Инжекция/Инжекционен Etoposide phosphate
Sodium chloride 0,9% 3655
съвместим
Инжекция/Инжекционен Etoposide phosphate 5 mg/ml
Инжекция/Инжекционен Lorazepam 0.5 mg/ml
Glucose 5% 1410
Неопределена несъвместимост Несъвместим
Инжекция/Инжекционен Etoposide phosphate
Инжекция/Инжекционен Magnesium sulfate
3838
съвместим
Инжекция/Инжекционен Etoposide phosphate 5 mg/ml
Инжекция/Инжекционен Magnesium sulfate 100 mg/ml
Glucose 5% 1410
съвместим
Инжекция/Инжекционен Etoposide phosphate 5 mg/ml
Инжекция/Инжекционен Mannitol 150 mg/ml
Glucose 5% 1410
съвместим
Инжекция/Инжекционен Etoposide phosphate 5 mg/ml
Инжекция/Инжекционен Mesna 10 mg/ml
Glucose 5% 1410
съвместим
Инжекция/Инжекционен Etoposide phosphate 5 mg/ml
Инжекция/Инжекционен Methotrexate sodium 15 mg/ml
Glucose 5% 1410
Незабавна мътност Несъвместим
Инжекция/Инжекционен Etoposide phosphate 5 mg/ml
Инжекция/Инжекционен Methylprednisolone sodium succinate 5 mg/ml
Glucose 5% 1410
съвместим
Инжекция/Инжекционен Etoposide phosphate 5 mg/ml
Инжекция/Инжекционен Metoclopramide hydrochloride 5 mg/ml
Glucose 5% 1410
съвместим
Инжекция/Инжекционен Etoposide phosphate 5 mg/ml
Инжекция/Инжекционен Metronidazole 5 mg/ml
Glucose 5% 1410
съвместим
Инжекция/Инжекционен Etoposide phosphate 5 mg/ml
Инжекция/Инжекционен Minocycline hydrochloride 0.2 mg/ml
Glucose 5% 1410
Промяна на цвета след 4 часа Несъвместим
Инжекция/Инжекционен Etoposide phosphate 5 mg/ml
Инжекция/Инжекционен Mitomycin 0.5 mg/ml
Glucose 5% 1410
съвместим
Инжекция/Инжекционен Etoposide phosphate 5 mg/ml
Инжекция/Инжекционен Mitoxantrone dihydrochloride 0.5 mg/ml
Glucose 5% 1410
съвместим
Инжекция/Инжекционен Etoposide phosphate 5 mg/ml
Инжекция/Инжекционен Morphine sulfate 1 mg/ml
Glucose 5% 1410
съвместим
Инжекция/Инжекционен Etoposide phosphate 5 mg/ml
Инжекция/Инжекционен Nalbuphine hydrochloride 10 mg/ml
Glucose 5% 1410
съвместим
Инжекция/Инжекционен Etoposide phosphate 5 mg/ml
Инжекция/Инжекционен Netilmicin sulfate 5 mg/ml
Glucose 5% 1410
съвместим
Инжекция/Инжекционен Etoposide phosphate 5 mg/ml
Инжекция/Инжекционен Ofloxacin 4 mg/ml
Glucose 5% 1410
съвместим
Инжекция/Инжекционен Etoposide phosphate 5 mg/ml
Инжекция/Инжекционен Ondansetron hydrochloride 1 mg/ml
Glucose 5% 1410
съвместим
Инжекция/Инжекционен Etoposide phosphate 5 mg/ml
Инжекция/Инжекционен Oxaliplatin 0,5 mg/ml
Glucose 5% 1662
съвместим
Инжекция/Инжекционен Etoposide phosphate 5 mg/ml
Инжекция/Инжекционен Paclitaxel 1.2 mg/ml
Glucose 5% 1410
съвместим
Инжекция/Инжекционен Etoposide phosphate 5 mg/ml
Инжекция/Инжекционен Pethidine hydrochloride 4 mg/ml
Glucose 5% 1410
съвместим
Инжекция/Инжекционен Etoposide phosphate 5 mg/ml
Инжекция/Инжекционен Piperacillin sodium 40 mg/ml
Glucose 5% 1410
съвместим
Инжекция/Инжекционен Etoposide phosphate 5 mg/ml
Инжекция/Инжекционен Piperacillin sodium / tazobactam 40/5 mg/ml
Sodium chloride 0,9% 1410
съвместим
Инжекция/Инжекционен Etoposide phosphate 5 mg/ml
Инжекция/Инжекционен Potassium chloride 100 mEq/l
Glucose 5% 1410
Незабавна мътност Несъвместим
Инжекция/Инжекционен Etoposide phosphate 5 mg/ml
Инжекция/Инжекционен Prochlorperazine edysilate 0.5 mg/ml
Glucose 5% 1410
съвместим
Инжекция/Инжекционен Etoposide phosphate 5 mg/ml
Инжекция/Инжекционен Promethazine hydrochloride 2 mg/ml
Glucose 5% 1410
съвместим
Инжекция/Инжекционен Etoposide phosphate 5 mg/ml
Инжекция/Инжекционен Ranitidine hydrochloride 2 mg/ml
Glucose 5% 1410
съвместим
Инжекция/Инжекционен Etoposide phosphate 5 mg/ml
Инжекция/Инжекционен Sodium bicarbonate 84 mg/ml
Glucose 5% 1410
съвместим
Инжекция/Инжекционен Etoposide phosphate 5 mg/ml
Инжекция/Инжекционен Streptozocin 40 mg/ml
Glucose 5% 1410
Промяна на цвета след 4 часа Несъвместим
Инжекция/Инжекционен Etoposide phosphate 5 mg/ml
Инжекция/Инжекционен Teniposide 0.1 mg/ml
Sodium chloride 0,9% 1410
съвместим
Инжекция/Инжекционен Etoposide phosphate 5 mg/ml
Инжекция/Инжекционен Thiotepa 1 mg/ml
Glucose 5% 1410
съвместим
Инжекция/Инжекционен Etoposide phosphate 5 mg/ml
Инжекция/Инжекционен Ticarcillin / clavulanic acid 31 mg/ml
Glucose 5% 1410
съвместим
Инжекция/Инжекционен Etoposide phosphate 5 mg/ml
Инжекция/Инжекционен Tobramycin sulfate 5 mg/ml
Glucose 5% 1410
съвместим
Инжекция/Инжекционен Etoposide phosphate 5 mg/ml
Инжекция/Инжекционен Vancomycin hydrochloride 10 mg/ml
Glucose 5% 1410
съвместим
Инжекция/Инжекционен Etoposide phosphate 5 mg/ml
Инжекция/Инжекционен Vinblastine sulfate 0.12 mg/ml
Glucose 5% 1410
съвместим
Инжекция/Инжекционен Etoposide phosphate 5 mg/ml
Инжекция/Инжекционен Vincristine sulfate 0.05 mg/ml
Glucose 5% 1410
съвместим
Инжекция/Инжекционен Etoposide phosphate 5 mg/ml
Инжекция/Инжекционен Zidovudine 4 mg/ml
Glucose 5% 1410

  Mentions Légales