Ultimo aggiornamento :
05/12/2025
farmaco contro il cancro   Etoposide phosphate  
Iniezione
Stabilità in soluzione Stabilità in miscela Fattori che influenzano la stabilità Compatibilità metodo di iniezione Bibliografia pdf
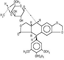
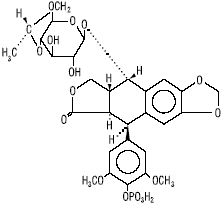
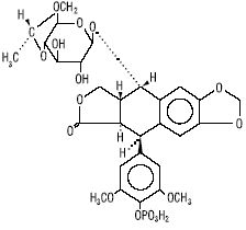
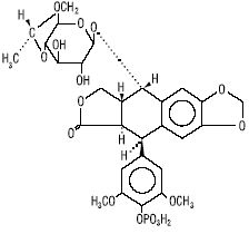
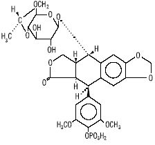
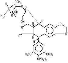
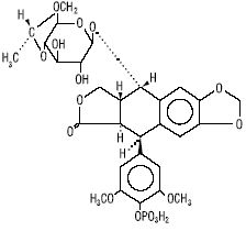
   Struttura chimica  

Nome commerciale   Nome commerciale     

Trade names are indicative and excipients composition can be different depending on the country and manufacturers

Etopofos Austria, Grecia, Svezia
Etopophos Belgio, Bulgaria, Francia, Germania, Gran Bretagna, Israele, Lussemburgo, nuova Zelanda, Paesi Bassi, Polonia, Stati Uniti d’America, Svizzera
metodo di iniezione   metodo di iniezione :Etoposide phosphate     
Voie
Endovenosa
Flebo endovenosa

  Mentions Légales