Laatste update :
18/03/2026
geneesmiddel tegen kanker   Etoposide phosphate  
injecteerbaar geneesmiddel
Stabiliteit in oplossing Stabiliteit in mengsels Factoren die de stabiliteit beïnvloeden Verenigbaarheden Toedieningswijze Literatuur pdf
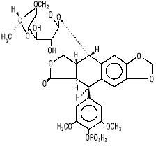
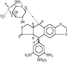
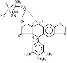
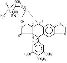
   Molecuulstructuur  

Merknamen in verschillende landen   Merknamen in verschillende landen     

Handelsnamen zijn slechts een indicatie; de samenstelling van hulpstoffen kan per land variëren afhankelijk van de fabrikant

Etopofos Griekenland, Oostenrijk, Zweden
Etopophos België, Bulgarije, Duitsland, Frankrijk, Groot Britannië, Israël, Luxemburg, Nederland, nieuw Zeeland, Polen, USA, Zwitserland
Verenigbaarheden   injecteerbaar geneesmiddel   Verenigbaarheden : Etoposide phosphate              
In dit scherm worden de verenigbaarheden en onverenigbaarheden weergegeven. In het geval van een onverenigbaarheid wordt ook het type (neerslag, kleurverandering, modificatie van een emulsie, etc) weergegeven. De weergegeven verenigbaarheden zijn meestal alleen op uiterlijk beoordeeld, er heeft zelden een chemische beoordeling van iedere component plaatsgevonden. De verenigbaarheden betreffen gelijktijdige toediening aan de patient middels de Y-site. De data kan niet gebruikt worden in de beoordeling van verenigbaarheden van componenten in infuuszakken of spuiten. Die informatie is te vinden onder ‘stabiliteit in mengsels’.
Stof Oplosmiddel Literatuur
Verenigbaar
injecteerbaar geneesmiddel Etoposide phosphate 5 mg/ml
injecteerbaar geneesmiddel Aciclovir sodium 7 mg/ml
Glucose 5% 1410
Verenigbaar
injecteerbaar geneesmiddel Etoposide phosphate 5 mg/ml
injecteerbaar geneesmiddel Amikacin sulfate 5 mg/ml
Glucose 5% 1410
Verenigbaar
injecteerbaar geneesmiddel Etoposide phosphate 5 mg/ml
injecteerbaar geneesmiddel Aminophylline 2.5 mg/ml
Glucose 5% 1410
Onmiddellijke neerslag Onverenigbaar
injecteerbaar geneesmiddel Etoposide phosphate 5 mg/ml
injecteerbaar geneesmiddel Amphotericin B 0.6 mg/ml
Glucose 5% 1410
Verenigbaar
injecteerbaar geneesmiddel Etoposide phosphate 5 mg/ml
injecteerbaar geneesmiddel Ampicillin sodium 20 mg/ml
Glucose 5% 1410
Verenigbaar
injecteerbaar geneesmiddel Etoposide phosphate 5 mg/ml
injecteerbaar geneesmiddel Ampicillin sodium - sulbactam sodium 20/10 mg/ml
Glucose 5% 1410
Verenigbaar
injecteerbaar geneesmiddel Etoposide phosphate 5 mg/ml
injecteerbaar geneesmiddel Anidulafungin 0.5 mg/ml
Glucose 5% 1982
Verenigbaar
injecteerbaar geneesmiddel Etoposide phosphate 5 mg/ml
injecteerbaar geneesmiddel Aztreonam 40 mg/ml
Glucose 5% 1410
Verenigbaar
injecteerbaar geneesmiddel Etoposide phosphate 5 mg/ml
injecteerbaar geneesmiddel Bleomycin sulfate 1 mg/ml
Natriumchloride 0,9% 1410
Verenigbaar
injecteerbaar geneesmiddel Etoposide phosphate 5 mg/ml
injecteerbaar geneesmiddel Bumetanide 0.04 mg/ml
Glucose 5% 1410
Verenigbaar
injecteerbaar geneesmiddel Etoposide phosphate 5 mg/ml
injecteerbaar geneesmiddel Buprenorphine hydrochloride 0.04 mg/ml
Glucose 5% 1410
Verenigbaar
injecteerbaar geneesmiddel Etoposide phosphate 5 mg/ml
injecteerbaar geneesmiddel Butorphanol tartrate 0.04 mg/ml
Glucose 5% 1410
Niet-gespecificeerde incompatibiliteit Onverenigbaar
injecteerbaar geneesmiddel Etoposide phosphate
injecteerbaar geneesmiddel Calcium gluconate
3644
Verenigbaar
injecteerbaar geneesmiddel Etoposide phosphate 5 mg/ml
injecteerbaar geneesmiddel Calcium gluconate 40 mg/ml
Glucose 5% 1410
Verenigbaar
injecteerbaar geneesmiddel Etoposide phosphate 5 mg/ml
injecteerbaar geneesmiddel Carboplatin 5 mg/ml
Glucose 5% 1410
Verenigbaar
injecteerbaar geneesmiddel Etoposide phosphate 5 mg/ml
injecteerbaar geneesmiddel Carmustine 1.5 mg/ml
Glucose 5% 1410
Verenigbaar
injecteerbaar geneesmiddel Etoposide phosphate 5 mg/ml
injecteerbaar geneesmiddel Caspofungin acetate 0,7 mg/ml
Natriumchloride 0,9% 2247
Verenigbaar
injecteerbaar geneesmiddel Etoposide phosphate 5 mg/ml
injecteerbaar geneesmiddel Cefazolin sodium 20 mg/ml
Glucose 5% 1410
Onmiddellijke troebelheid Onverenigbaar
injecteerbaar geneesmiddel Etoposide phosphate 5 mg/ml
injecteerbaar geneesmiddel Cefepime dihydrochloride 20 mg/ml
Glucose 5% 1410
Verenigbaar
injecteerbaar geneesmiddel Etoposide phosphate 5 mg/ml
injecteerbaar geneesmiddel Cefonicid sodium 20 mg/ml
Glucose 5% 1410
Verenigbaar
injecteerbaar geneesmiddel Etoposide phosphate 5 mg/ml
injecteerbaar geneesmiddel Cefoperazone sodium 40 mg/ml
Glucose 5% 1410
Verenigbaar
injecteerbaar geneesmiddel Etoposide phosphate 5 mg/ml
injecteerbaar geneesmiddel Cefotaxime sodium 20 mg/ml
Glucose 5% 1410
Verenigbaar
injecteerbaar geneesmiddel Etoposide phosphate 5 mg/ml
injecteerbaar geneesmiddel Cefoxitin sodium 20 mg/ml
Glucose 5% 1410
Verenigbaar
injecteerbaar geneesmiddel Etoposide phosphate 5 mg/ml
injecteerbaar geneesmiddel Ceftazidime 40 mg/ml
Glucose 5% 1410
Verenigbaar
injecteerbaar geneesmiddel Etoposide phosphate 5 mg/ml
injecteerbaar geneesmiddel Ceftriaxone disodium 20 mg/ml
Glucose 5% 1410
Verenigbaar
injecteerbaar geneesmiddel Etoposide phosphate
Glucose 5% 3655
Onverenigbaar
injecteerbaar geneesmiddel Etoposide phosphate
injecteerbaar geneesmiddel Calcium gluconate
4964
Verenigbaar
injecteerbaar geneesmiddel Etoposide phosphate 5 mg/ml
injecteerbaar geneesmiddel Ceftizoxime sodium 20 mg/ml
Glucose 5% 1410
Verenigbaar
injecteerbaar geneesmiddel Etoposide phosphate 5 mg/ml
injecteerbaar geneesmiddel Cefuroxime sodium 30 mg/ml
Glucose 5% 1410
Onmiddellijke troebelheid Onverenigbaar
injecteerbaar geneesmiddel Etoposide phosphate 5 mg/ml
injecteerbaar geneesmiddel Chlorpromazine hydrochloride 2 mg/ml
Glucose 5% 1410
Verenigbaar
injecteerbaar geneesmiddel Etoposide phosphate 5 mg/ml
injecteerbaar geneesmiddel Cimetidine hydrochloride 12 mg/ml
Glucose 5% 1410
Verenigbaar
injecteerbaar geneesmiddel Etoposide phosphate 5 mg/ml
injecteerbaar geneesmiddel Ciprofloxacin lactate 1 mg/ml
Glucose 5% 1410
Verenigbaar
injecteerbaar geneesmiddel Etoposide phosphate 5 mg/ml
injecteerbaar geneesmiddel Cisplatin 1 mg/ml
Glucose 5% 1410
Verenigbaar
injecteerbaar geneesmiddel Etoposide phosphate 5 mg/ml
injecteerbaar geneesmiddel Clindamycin phosphate 10 mg/ml
Glucose 5% 1410
Verenigbaar
injecteerbaar geneesmiddel Etoposide phosphate 5 mg/ml
injecteerbaar geneesmiddel Co-trimoxazole 0.8/4 mg/ml
Glucose 5% 1410
Verenigbaar
injecteerbaar geneesmiddel Etoposide phosphate 5 mg/ml
injecteerbaar geneesmiddel Cyclophosphamide 10 mg/ml
Glucose 5% 1410
Verenigbaar
injecteerbaar geneesmiddel Etoposide phosphate 5 mg/ml
injecteerbaar geneesmiddel Cytarabine 50 mg/ml
Glucose 5% 1410
Verenigbaar
injecteerbaar geneesmiddel Etoposide phosphate 5 mg/ml
injecteerbaar geneesmiddel Dacarbazine 4 mg/ml
Glucose 5% 1410
Verenigbaar
injecteerbaar geneesmiddel Etoposide phosphate 5 mg/ml
injecteerbaar geneesmiddel Dactinomycin 10 µg/ml
Glucose 5% 1410
Verenigbaar
injecteerbaar geneesmiddel Etoposide phosphate 5 mg/ml
injecteerbaar geneesmiddel Daunorubicin hydrochloride 1 mg/ml
Glucose 5% 1410
Verenigbaar
injecteerbaar geneesmiddel Etoposide phosphate 5 mg/ml
injecteerbaar geneesmiddel Dexamethasone sodium phosphate 1 mg/ml
Glucose 5% 1410
Verenigbaar
injecteerbaar geneesmiddel Etoposide phosphate 5 mg/ml
injecteerbaar geneesmiddel Diphenhydramine hydrochloride 2 mg/ml
Glucose 5% 1410
Verenigbaar
injecteerbaar geneesmiddel Etoposide phosphate 5 mg/ml
injecteerbaar geneesmiddel Dobutamine hydrochloride 4 mg/ml
Glucose 5% 1410
Verenigbaar
injecteerbaar geneesmiddel Etoposide phosphate 5 mg/ml
injecteerbaar geneesmiddel Dopamine hydrochloride 3.2 mg/ml
Glucose 5% 1410
Verenigbaar
injecteerbaar geneesmiddel Etoposide phosphate 5 mg/ml
injecteerbaar geneesmiddel Doripenem 5 mg/ml
Natriumchloride 0,9% 2262
Verenigbaar
injecteerbaar geneesmiddel Etoposide phosphate 5 mg/ml
injecteerbaar geneesmiddel Doripenem 5 mg/ml
Glucose 5% 2262
Verenigbaar
injecteerbaar geneesmiddel Etoposide phosphate 5 mg/ml
injecteerbaar geneesmiddel Doxorubicin hydrochloride 2 mg/ml
Glucose 5% 1410
Verenigbaar
injecteerbaar geneesmiddel Etoposide phosphate 5 mg/ml
injecteerbaar geneesmiddel Doxycycline hyclate 1 mg/ml
Glucose 5% 1410
Verenigbaar
injecteerbaar geneesmiddel Etoposide phosphate 5 mg/ml
injecteerbaar geneesmiddel Droperidol 0.4 mg/ml
Glucose 5% 1410
Verenigbaar
injecteerbaar geneesmiddel Etoposide phosphate 5 mg/ml
injecteerbaar geneesmiddel Enalaprilate 0.1 mg/ml
Glucose 5% 1410
Verenigbaar
injecteerbaar geneesmiddel Etoposide phosphate 5 mg/ml
injecteerbaar geneesmiddel Famotidine 2 mg/ml
Glucose 5% 1410
Verenigbaar
injecteerbaar geneesmiddel Etoposide phosphate 5 mg/ml
injecteerbaar geneesmiddel Floxuridine 3 mg/ml
Glucose 5% 1410
Verenigbaar
injecteerbaar geneesmiddel Etoposide phosphate 5 mg/ml
injecteerbaar geneesmiddel Fluconazole 2 mg/ml
Glucose 5% 1410
Verenigbaar
injecteerbaar geneesmiddel Etoposide phosphate 5 mg/ml
injecteerbaar geneesmiddel Fludarabine phosphate 1 mg/ml
Glucose 5% 1410
Verenigbaar
injecteerbaar geneesmiddel Etoposide phosphate 5 mg/ml
injecteerbaar geneesmiddel Fluorouracil 16 mg/ml
Glucose 5% 1410
Verenigbaar
injecteerbaar geneesmiddel Etoposide phosphate 5 mg/ml
injecteerbaar geneesmiddel Folinate calcium 2 mg/ml
Glucose 5% 1410
Verenigbaar
injecteerbaar geneesmiddel Etoposide phosphate 5 mg/ml
injecteerbaar geneesmiddel Furosemide 3 mg/ml
Glucose 5% 1410
Verenigbaar
injecteerbaar geneesmiddel Etoposide phosphate 5 mg/ml
injecteerbaar geneesmiddel Gallium nitrate 0.4 mg/ml
Glucose 5% 1410
Verenigbaar
injecteerbaar geneesmiddel Etoposide phosphate 5 mg/ml
injecteerbaar geneesmiddel Ganciclovir sodium 20 mg/ml
Glucose 5% 1410
Verenigbaar
injecteerbaar geneesmiddel Etoposide phosphate 5 mg/ml
injecteerbaar geneesmiddel Gemcitabine hydrochloride 10 mg/ml
Natriumchloride 0,9% 1423
Verenigbaar
injecteerbaar geneesmiddel Etoposide phosphate 5 mg/ml
injecteerbaar geneesmiddel Gentamicin sulfate 5 mg/ml
Glucose 5% 1410
Verenigbaar
injecteerbaar geneesmiddel Etoposide phosphate 5 mg/ml
injecteerbaar geneesmiddel Granisetron hydrochloride 0.05 mg/ml
Glucose 5% 1410
Verenigbaar
injecteerbaar geneesmiddel Etoposide phosphate 5 mg/ml
injecteerbaar geneesmiddel Haloperidol lactate 0.2 mg/ml
Glucose 5% 1410
Verenigbaar
injecteerbaar geneesmiddel Etoposide phosphate 5 mg/ml
injecteerbaar geneesmiddel Heparin sodium 100 UI/ml
Glucose 5% 1410
Verenigbaar
injecteerbaar geneesmiddel Etoposide phosphate 5 mg/ml
injecteerbaar geneesmiddel Hydrocortisone sodium succinate 1 mg/ml
Glucose 5% 1410
Verenigbaar
injecteerbaar geneesmiddel Etoposide phosphate 5 mg/ml
injecteerbaar geneesmiddel Hydromorphone hydrochloride 0.5 mg/ml
Glucose 5% 1410
Verenigbaar
injecteerbaar geneesmiddel Etoposide phosphate 5 mg/ml
injecteerbaar geneesmiddel Hydroxyzine dihydrochloride 4 mg/ml
Glucose 5% 1410
Verenigbaar
injecteerbaar geneesmiddel Etoposide phosphate 5 mg/ml
injecteerbaar geneesmiddel Idarubicin hydrochloride 0.5 mg/ml
Glucose 5% 1410
Verenigbaar
injecteerbaar geneesmiddel Etoposide phosphate 5 mg/ml
injecteerbaar geneesmiddel Ifosfamide 25 mg/ml
Glucose 5% 1410
Kleurverandering na 4 uur Onverenigbaar
injecteerbaar geneesmiddel Etoposide phosphate 5 mg/ml
injecteerbaar geneesmiddel Imipenem - cilastatin sodium 10 mg/ml
Natriumchloride 0,9% 1410
Onmiddellijke neerslag Onverenigbaar
injecteerbaar geneesmiddel Etoposide phosphate 5 mg/ml
injecteerbaar geneesmiddel Lansoprazole 0.55 mg/ml
Natriumchloride 0,9% 1625
Verenigbaar
injecteerbaar geneesmiddel Etoposide phosphate 5 mg/ml
injecteerbaar geneesmiddel Linezolid 2 mg/ml
Geen 1925
Verenigbaar
injecteerbaar geneesmiddel Etoposide phosphate
Natriumchloride 0,9% 3655
Verenigbaar
injecteerbaar geneesmiddel Etoposide phosphate 5 mg/ml
injecteerbaar geneesmiddel Lorazepam 0.5 mg/ml
Glucose 5% 1410
Niet-gespecificeerde incompatibiliteit Onverenigbaar
injecteerbaar geneesmiddel Etoposide phosphate
injecteerbaar geneesmiddel Magnesium sulfate
3838
Verenigbaar
injecteerbaar geneesmiddel Etoposide phosphate 5 mg/ml
injecteerbaar geneesmiddel Magnesium sulfate 100 mg/ml
Glucose 5% 1410
Verenigbaar
injecteerbaar geneesmiddel Etoposide phosphate 5 mg/ml
injecteerbaar geneesmiddel Mannitol 150 mg/ml
Glucose 5% 1410
Verenigbaar
injecteerbaar geneesmiddel Etoposide phosphate 5 mg/ml
injecteerbaar geneesmiddel Mesna 10 mg/ml
Glucose 5% 1410
Verenigbaar
injecteerbaar geneesmiddel Etoposide phosphate 5 mg/ml
injecteerbaar geneesmiddel Methotrexate sodium 15 mg/ml
Glucose 5% 1410
Onmiddellijke troebelheid Onverenigbaar
injecteerbaar geneesmiddel Etoposide phosphate 5 mg/ml
injecteerbaar geneesmiddel Methylprednisolone sodium succinate 5 mg/ml
Glucose 5% 1410
Verenigbaar
injecteerbaar geneesmiddel Etoposide phosphate 5 mg/ml
injecteerbaar geneesmiddel Metoclopramide hydrochloride 5 mg/ml
Glucose 5% 1410
Verenigbaar
injecteerbaar geneesmiddel Etoposide phosphate 5 mg/ml
injecteerbaar geneesmiddel Metronidazole 5 mg/ml
Glucose 5% 1410
Verenigbaar
injecteerbaar geneesmiddel Etoposide phosphate 5 mg/ml
injecteerbaar geneesmiddel Minocycline hydrochloride 0.2 mg/ml
Glucose 5% 1410
Kleurverandering na 4 uur Onverenigbaar
injecteerbaar geneesmiddel Etoposide phosphate 5 mg/ml
injecteerbaar geneesmiddel Mitomycin 0.5 mg/ml
Glucose 5% 1410
Verenigbaar
injecteerbaar geneesmiddel Etoposide phosphate 5 mg/ml
injecteerbaar geneesmiddel Mitoxantrone dihydrochloride 0.5 mg/ml
Glucose 5% 1410
Verenigbaar
injecteerbaar geneesmiddel Etoposide phosphate 5 mg/ml
injecteerbaar geneesmiddel Morphine sulfate 1 mg/ml
Glucose 5% 1410
Verenigbaar
injecteerbaar geneesmiddel Etoposide phosphate 5 mg/ml
injecteerbaar geneesmiddel Nalbuphine hydrochloride 10 mg/ml
Glucose 5% 1410
Verenigbaar
injecteerbaar geneesmiddel Etoposide phosphate 5 mg/ml
injecteerbaar geneesmiddel Netilmicin sulfate 5 mg/ml
Glucose 5% 1410
Verenigbaar
injecteerbaar geneesmiddel Etoposide phosphate 5 mg/ml
injecteerbaar geneesmiddel Ofloxacin 4 mg/ml
Glucose 5% 1410
Verenigbaar
injecteerbaar geneesmiddel Etoposide phosphate 5 mg/ml
injecteerbaar geneesmiddel Ondansetron hydrochloride 1 mg/ml
Glucose 5% 1410
Verenigbaar
injecteerbaar geneesmiddel Etoposide phosphate 5 mg/ml
injecteerbaar geneesmiddel Oxaliplatin 0,5 mg/ml
Glucose 5% 1662
Verenigbaar
injecteerbaar geneesmiddel Etoposide phosphate 5 mg/ml
injecteerbaar geneesmiddel Paclitaxel 1.2 mg/ml
Glucose 5% 1410
Verenigbaar
injecteerbaar geneesmiddel Etoposide phosphate 5 mg/ml
injecteerbaar geneesmiddel Pethidine hydrochloride 4 mg/ml
Glucose 5% 1410
Verenigbaar
injecteerbaar geneesmiddel Etoposide phosphate 5 mg/ml
injecteerbaar geneesmiddel Piperacillin sodium 40 mg/ml
Glucose 5% 1410
Verenigbaar
injecteerbaar geneesmiddel Etoposide phosphate 5 mg/ml
injecteerbaar geneesmiddel Piperacillin sodium / tazobactam 40/5 mg/ml
Natriumchloride 0,9% 1410
Verenigbaar
injecteerbaar geneesmiddel Etoposide phosphate 5 mg/ml
injecteerbaar geneesmiddel Potassium chloride 100 mEq/l
Glucose 5% 1410
Onmiddellijke troebelheid Onverenigbaar
injecteerbaar geneesmiddel Etoposide phosphate 5 mg/ml
injecteerbaar geneesmiddel Prochlorperazine edysilate 0.5 mg/ml
Glucose 5% 1410
Verenigbaar
injecteerbaar geneesmiddel Etoposide phosphate 5 mg/ml
injecteerbaar geneesmiddel Promethazine hydrochloride 2 mg/ml
Glucose 5% 1410
Verenigbaar
injecteerbaar geneesmiddel Etoposide phosphate 5 mg/ml
injecteerbaar geneesmiddel Ranitidine hydrochloride 2 mg/ml
Glucose 5% 1410
Verenigbaar
injecteerbaar geneesmiddel Etoposide phosphate 5 mg/ml
injecteerbaar geneesmiddel Sodium bicarbonate 84 mg/ml
Glucose 5% 1410
Verenigbaar
injecteerbaar geneesmiddel Etoposide phosphate 5 mg/ml
injecteerbaar geneesmiddel Streptozocin 40 mg/ml
Glucose 5% 1410
Kleurverandering na 4 uur Onverenigbaar
injecteerbaar geneesmiddel Etoposide phosphate 5 mg/ml
injecteerbaar geneesmiddel Teniposide 0.1 mg/ml
Natriumchloride 0,9% 1410
Verenigbaar
injecteerbaar geneesmiddel Etoposide phosphate 5 mg/ml
injecteerbaar geneesmiddel Thiotepa 1 mg/ml
Glucose 5% 1410
Verenigbaar
injecteerbaar geneesmiddel Etoposide phosphate 5 mg/ml
injecteerbaar geneesmiddel Ticarcillin / clavulanic acid 31 mg/ml
Glucose 5% 1410
Verenigbaar
injecteerbaar geneesmiddel Etoposide phosphate 5 mg/ml
injecteerbaar geneesmiddel Tobramycin sulfate 5 mg/ml
Glucose 5% 1410
Verenigbaar
injecteerbaar geneesmiddel Etoposide phosphate 5 mg/ml
injecteerbaar geneesmiddel Vancomycin hydrochloride 10 mg/ml
Glucose 5% 1410
Verenigbaar
injecteerbaar geneesmiddel Etoposide phosphate 5 mg/ml
injecteerbaar geneesmiddel Vinblastine sulfate 0.12 mg/ml
Glucose 5% 1410
Verenigbaar
injecteerbaar geneesmiddel Etoposide phosphate 5 mg/ml
injecteerbaar geneesmiddel Vincristine sulfate 0.05 mg/ml
Glucose 5% 1410
Verenigbaar
injecteerbaar geneesmiddel Etoposide phosphate 5 mg/ml
injecteerbaar geneesmiddel Zidovudine 4 mg/ml
Glucose 5% 1410

  Mentions Légales