Letztes “update” :
18/03/2026
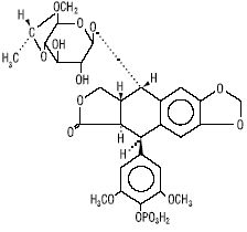
Antikrebsmittel   Etoposide phosphate  
Injektion
Stabilität der Lösung Gemengestabilität Stabilitätbeeinflussende Faktoren Kompatibilitäten Applikationsart Literaturverzeichnis pdf
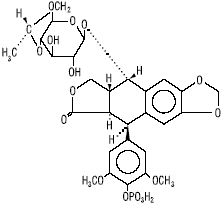
   Chemische Struktur  

Handelsmarke   Handelsmarke     

Handelsnamen sind als beispielhaft anzusehen. Sonstige Bestandteile können je nach Hersteller oder Land verschieden sein

Etopofos Griechenland, Österreich, Schweden
Etopophos Belgien, Bulgarien, Deutschland, Frankreich, Großbritannien, Israel, Luxemburg, Neuseeland, Niederlande, Polen, Schweiz, Vereinigte Staaten von Amerika
Kompatibilitäten   Injektion   Kompatibilitäten : Etoposide phosphate              
Dieser Bildschirm zeigt die Kompatibilitäten oder Inkompatibilitäten mit der Art der Inkompatibilität (hier: Ausfällung, Farbänderung, Modifikation einer Emulsion usw.) an. Die hier gezeigten Kompatibilitäten sind meist nur physikalisch, wobei die chemische Stabilität jedes Moleküls selten bewertet wird. Die Bewertung dieser Gemische wurde untersucht, um die Möglichkeit einer Verabreichung über eine Y-Verbindung zu berücksichtigen. Diese Daten können daher nicht zur Herstellung von Mischungen im Voraus in Beuteln oder Spritzen verwendet werden. Sie finden diese Informationen auf dem Bildschirm "Stabilität in Mischung».
Molekül Lösungsmittel Literaturverzeichnis
kompatibel
Injektion Etoposide phosphate 5 mg/ml
Injektion Aciclovir sodium 7 mg/ml
5% Glucose 1410
kompatibel
Injektion Etoposide phosphate 5 mg/ml
Injektion Amikacin sulfate 5 mg/ml
5% Glucose 1410
kompatibel
Injektion Etoposide phosphate 5 mg/ml
Injektion Aminophylline 2.5 mg/ml
5% Glucose 1410
Sofortiger Niederschlag nicht kompatibel
Injektion Etoposide phosphate 5 mg/ml
Injektion Amphotericin B 0.6 mg/ml
5% Glucose 1410
kompatibel
Injektion Etoposide phosphate 5 mg/ml
Injektion Ampicillin sodium 20 mg/ml
5% Glucose 1410
kompatibel
Injektion Etoposide phosphate 5 mg/ml
Injektion Ampicillin sodium - sulbactam sodium 20/10 mg/ml
5% Glucose 1410
kompatibel
Injektion Etoposide phosphate 5 mg/ml
Injektion Anidulafungin 0.5 mg/ml
5% Glucose 1982
kompatibel
Injektion Etoposide phosphate 5 mg/ml
Injektion Aztreonam 40 mg/ml
5% Glucose 1410
kompatibel
Injektion Etoposide phosphate 5 mg/ml
Injektion Bleomycin sulfate 1 mg/ml
0,9% Natriumchlorid 1410
kompatibel
Injektion Etoposide phosphate 5 mg/ml
Injektion Bumetanide 0.04 mg/ml
5% Glucose 1410
kompatibel
Injektion Etoposide phosphate 5 mg/ml
Injektion Buprenorphine hydrochloride 0.04 mg/ml
5% Glucose 1410
kompatibel
Injektion Etoposide phosphate 5 mg/ml
Injektion Butorphanol tartrate 0.04 mg/ml
5% Glucose 1410
Nicht spezifizierte Inkompatibilität nicht kompatibel
Injektion Etoposide phosphate
Injektion Calcium gluconate
3644
kompatibel
Injektion Etoposide phosphate 5 mg/ml
Injektion Calcium gluconate 40 mg/ml
5% Glucose 1410
kompatibel
Injektion Etoposide phosphate 5 mg/ml
Injektion Carboplatin 5 mg/ml
5% Glucose 1410
kompatibel
Injektion Etoposide phosphate 5 mg/ml
Injektion Carmustine 1.5 mg/ml
5% Glucose 1410
kompatibel
Injektion Etoposide phosphate 5 mg/ml
Injektion Caspofungin acetate 0,7 mg/ml
0,9% Natriumchlorid 2247
kompatibel
Injektion Etoposide phosphate 5 mg/ml
Injektion Cefazolin sodium 20 mg/ml
5% Glucose 1410
Sofortige Trübung nicht kompatibel
Injektion Etoposide phosphate 5 mg/ml
Injektion Cefepime dihydrochloride 20 mg/ml
5% Glucose 1410
kompatibel
Injektion Etoposide phosphate 5 mg/ml
Injektion Cefonicid sodium 20 mg/ml
5% Glucose 1410
kompatibel
Injektion Etoposide phosphate 5 mg/ml
Injektion Cefoperazone sodium 40 mg/ml
5% Glucose 1410
kompatibel
Injektion Etoposide phosphate 5 mg/ml
Injektion Cefotaxime sodium 20 mg/ml
5% Glucose 1410
kompatibel
Injektion Etoposide phosphate 5 mg/ml
Injektion Cefoxitin sodium 20 mg/ml
5% Glucose 1410
kompatibel
Injektion Etoposide phosphate 5 mg/ml
Injektion Ceftazidime 40 mg/ml
5% Glucose 1410
kompatibel
Injektion Etoposide phosphate 5 mg/ml
Injektion Ceftriaxone disodium 20 mg/ml
5% Glucose 1410
kompatibel
Injektion Etoposide phosphate
5% Glucose 3655
nicht kompatibel
Injektion Etoposide phosphate
Injektion Calcium gluconate
4964
kompatibel
Injektion Etoposide phosphate 5 mg/ml
Injektion Ceftizoxime sodium 20 mg/ml
5% Glucose 1410
kompatibel
Injektion Etoposide phosphate 5 mg/ml
Injektion Cefuroxime sodium 30 mg/ml
5% Glucose 1410
Sofortige Trübung nicht kompatibel
Injektion Etoposide phosphate 5 mg/ml
Injektion Chlorpromazine hydrochloride 2 mg/ml
5% Glucose 1410
kompatibel
Injektion Etoposide phosphate 5 mg/ml
Injektion Cimetidine hydrochloride 12 mg/ml
5% Glucose 1410
kompatibel
Injektion Etoposide phosphate 5 mg/ml
Injektion Ciprofloxacin lactate 1 mg/ml
5% Glucose 1410
kompatibel
Injektion Etoposide phosphate 5 mg/ml
Injektion Cisplatin 1 mg/ml
5% Glucose 1410
kompatibel
Injektion Etoposide phosphate 5 mg/ml
Injektion Clindamycin phosphate 10 mg/ml
5% Glucose 1410
kompatibel
Injektion Etoposide phosphate 5 mg/ml
Injektion Co-trimoxazole 0.8/4 mg/ml
5% Glucose 1410
kompatibel
Injektion Etoposide phosphate 5 mg/ml
Injektion Cyclophosphamide 10 mg/ml
5% Glucose 1410
kompatibel
Injektion Etoposide phosphate 5 mg/ml
Injektion Cytarabine 50 mg/ml
5% Glucose 1410
kompatibel
Injektion Etoposide phosphate 5 mg/ml
Injektion Dacarbazine 4 mg/ml
5% Glucose 1410
kompatibel
Injektion Etoposide phosphate 5 mg/ml
Injektion Dactinomycin 10 µg/ml
5% Glucose 1410
kompatibel
Injektion Etoposide phosphate 5 mg/ml
Injektion Daunorubicin hydrochloride 1 mg/ml
5% Glucose 1410
kompatibel
Injektion Etoposide phosphate 5 mg/ml
Injektion Dexamethasone sodium phosphate 1 mg/ml
5% Glucose 1410
kompatibel
Injektion Etoposide phosphate 5 mg/ml
Injektion Diphenhydramine hydrochloride 2 mg/ml
5% Glucose 1410
kompatibel
Injektion Etoposide phosphate 5 mg/ml
Injektion Dobutamine hydrochloride 4 mg/ml
5% Glucose 1410
kompatibel
Injektion Etoposide phosphate 5 mg/ml
Injektion Dopamine hydrochloride 3.2 mg/ml
5% Glucose 1410
kompatibel
Injektion Etoposide phosphate 5 mg/ml
Injektion Doripenem 5 mg/ml
0,9% Natriumchlorid 2262
kompatibel
Injektion Etoposide phosphate 5 mg/ml
Injektion Doripenem 5 mg/ml
5% Glucose 2262
kompatibel
Injektion Etoposide phosphate 5 mg/ml
Injektion Doxorubicin hydrochloride 2 mg/ml
5% Glucose 1410
kompatibel
Injektion Etoposide phosphate 5 mg/ml
Injektion Doxycycline hyclate 1 mg/ml
5% Glucose 1410
kompatibel
Injektion Etoposide phosphate 5 mg/ml
Injektion Droperidol 0.4 mg/ml
5% Glucose 1410
kompatibel
Injektion Etoposide phosphate 5 mg/ml
Injektion Enalaprilate 0.1 mg/ml
5% Glucose 1410
kompatibel
Injektion Etoposide phosphate 5 mg/ml
Injektion Famotidine 2 mg/ml
5% Glucose 1410
kompatibel
Injektion Etoposide phosphate 5 mg/ml
Injektion Floxuridine 3 mg/ml
5% Glucose 1410
kompatibel
Injektion Etoposide phosphate 5 mg/ml
Injektion Fluconazole 2 mg/ml
5% Glucose 1410
kompatibel
Injektion Etoposide phosphate 5 mg/ml
Injektion Fludarabine phosphate 1 mg/ml
5% Glucose 1410
kompatibel
Injektion Etoposide phosphate 5 mg/ml
Injektion Fluorouracil 16 mg/ml
5% Glucose 1410
kompatibel
Injektion Etoposide phosphate 5 mg/ml
Injektion Folinate calcium 2 mg/ml
5% Glucose 1410
kompatibel
Injektion Etoposide phosphate 5 mg/ml
Injektion Furosemide 3 mg/ml
5% Glucose 1410
kompatibel
Injektion Etoposide phosphate 5 mg/ml
Injektion Gallium nitrate 0.4 mg/ml
5% Glucose 1410
kompatibel
Injektion Etoposide phosphate 5 mg/ml
Injektion Ganciclovir sodium 20 mg/ml
5% Glucose 1410
kompatibel
Injektion Etoposide phosphate 5 mg/ml
Injektion Gemcitabine hydrochloride 10 mg/ml
0,9% Natriumchlorid 1423
kompatibel
Injektion Etoposide phosphate 5 mg/ml
Injektion Gentamicin sulfate 5 mg/ml
5% Glucose 1410
kompatibel
Injektion Etoposide phosphate 5 mg/ml
Injektion Granisetron hydrochloride 0.05 mg/ml
5% Glucose 1410
kompatibel
Injektion Etoposide phosphate 5 mg/ml
Injektion Haloperidol lactate 0.2 mg/ml
5% Glucose 1410
kompatibel
Injektion Etoposide phosphate 5 mg/ml
Injektion Heparin sodium 100 UI/ml
5% Glucose 1410
kompatibel
Injektion Etoposide phosphate 5 mg/ml
Injektion Hydrocortisone sodium succinate 1 mg/ml
5% Glucose 1410
kompatibel
Injektion Etoposide phosphate 5 mg/ml
Injektion Hydromorphone hydrochloride 0.5 mg/ml
5% Glucose 1410
kompatibel
Injektion Etoposide phosphate 5 mg/ml
Injektion Hydroxyzine dihydrochloride 4 mg/ml
5% Glucose 1410
kompatibel
Injektion Etoposide phosphate 5 mg/ml
Injektion Idarubicin hydrochloride 0.5 mg/ml
5% Glucose 1410
kompatibel
Injektion Etoposide phosphate 5 mg/ml
Injektion Ifosfamide 25 mg/ml
5% Glucose 1410
Farbwechsel nach 4 Stunden nicht kompatibel
Injektion Etoposide phosphate 5 mg/ml
Injektion Imipenem - cilastatin sodium 10 mg/ml
0,9% Natriumchlorid 1410
Sofortiger Niederschlag nicht kompatibel
Injektion Etoposide phosphate 5 mg/ml
Injektion Lansoprazole 0.55 mg/ml
0,9% Natriumchlorid 1625
kompatibel
Injektion Etoposide phosphate 5 mg/ml
Injektion Linezolid 2 mg/ml
Kein 1925
kompatibel
Injektion Etoposide phosphate
0,9% Natriumchlorid 3655
kompatibel
Injektion Etoposide phosphate 5 mg/ml
Injektion Lorazepam 0.5 mg/ml
5% Glucose 1410
Nicht spezifizierte Inkompatibilität nicht kompatibel
Injektion Etoposide phosphate
Injektion Magnesium sulfate
3838
kompatibel
Injektion Etoposide phosphate 5 mg/ml
Injektion Magnesium sulfate 100 mg/ml
5% Glucose 1410
kompatibel
Injektion Etoposide phosphate 5 mg/ml
Injektion Mannitol 150 mg/ml
5% Glucose 1410
kompatibel
Injektion Etoposide phosphate 5 mg/ml
Injektion Mesna 10 mg/ml
5% Glucose 1410
kompatibel
Injektion Etoposide phosphate 5 mg/ml
Injektion Methotrexate sodium 15 mg/ml
5% Glucose 1410
Sofortige Trübung nicht kompatibel
Injektion Etoposide phosphate 5 mg/ml
Injektion Methylprednisolone sodium succinate 5 mg/ml
5% Glucose 1410
kompatibel
Injektion Etoposide phosphate 5 mg/ml
Injektion Metoclopramide hydrochloride 5 mg/ml
5% Glucose 1410
kompatibel
Injektion Etoposide phosphate 5 mg/ml
Injektion Metronidazole 5 mg/ml
5% Glucose 1410
kompatibel
Injektion Etoposide phosphate 5 mg/ml
Injektion Minocycline hydrochloride 0.2 mg/ml
5% Glucose 1410
Farbwechsel nach 4 Stunden nicht kompatibel
Injektion Etoposide phosphate 5 mg/ml
Injektion Mitomycin 0.5 mg/ml
5% Glucose 1410
kompatibel
Injektion Etoposide phosphate 5 mg/ml
Injektion Mitoxantrone dihydrochloride 0.5 mg/ml
5% Glucose 1410
kompatibel
Injektion Etoposide phosphate 5 mg/ml
Injektion Morphine sulfate 1 mg/ml
5% Glucose 1410
kompatibel
Injektion Etoposide phosphate 5 mg/ml
Injektion Nalbuphine hydrochloride 10 mg/ml
5% Glucose 1410
kompatibel
Injektion Etoposide phosphate 5 mg/ml
Injektion Netilmicin sulfate 5 mg/ml
5% Glucose 1410
kompatibel
Injektion Etoposide phosphate 5 mg/ml
Injektion Ofloxacin 4 mg/ml
5% Glucose 1410
kompatibel
Injektion Etoposide phosphate 5 mg/ml
Injektion Ondansetron hydrochloride 1 mg/ml
5% Glucose 1410
kompatibel
Injektion Etoposide phosphate 5 mg/ml
Injektion Oxaliplatin 0,5 mg/ml
5% Glucose 1662
kompatibel
Injektion Etoposide phosphate 5 mg/ml
Injektion Paclitaxel 1.2 mg/ml
5% Glucose 1410
kompatibel
Injektion Etoposide phosphate 5 mg/ml
Injektion Pethidine hydrochloride 4 mg/ml
5% Glucose 1410
kompatibel
Injektion Etoposide phosphate 5 mg/ml
Injektion Piperacillin sodium 40 mg/ml
5% Glucose 1410
kompatibel
Injektion Etoposide phosphate 5 mg/ml
Injektion Piperacillin sodium / tazobactam 40/5 mg/ml
0,9% Natriumchlorid 1410
kompatibel
Injektion Etoposide phosphate 5 mg/ml
Injektion Potassium chloride 100 mEq/l
5% Glucose 1410
Sofortige Trübung nicht kompatibel
Injektion Etoposide phosphate 5 mg/ml
Injektion Prochlorperazine edysilate 0.5 mg/ml
5% Glucose 1410
kompatibel
Injektion Etoposide phosphate 5 mg/ml
Injektion Promethazine hydrochloride 2 mg/ml
5% Glucose 1410
kompatibel
Injektion Etoposide phosphate 5 mg/ml
Injektion Ranitidine hydrochloride 2 mg/ml
5% Glucose 1410
kompatibel
Injektion Etoposide phosphate 5 mg/ml
Injektion Sodium bicarbonate 84 mg/ml
5% Glucose 1410
kompatibel
Injektion Etoposide phosphate 5 mg/ml
Injektion Streptozocin 40 mg/ml
5% Glucose 1410
Farbwechsel nach 4 Stunden nicht kompatibel
Injektion Etoposide phosphate 5 mg/ml
Injektion Teniposide 0.1 mg/ml
0,9% Natriumchlorid 1410
kompatibel
Injektion Etoposide phosphate 5 mg/ml
Injektion Thiotepa 1 mg/ml
5% Glucose 1410
kompatibel
Injektion Etoposide phosphate 5 mg/ml
Injektion Ticarcillin / clavulanic acid 31 mg/ml
5% Glucose 1410
kompatibel
Injektion Etoposide phosphate 5 mg/ml
Injektion Tobramycin sulfate 5 mg/ml
5% Glucose 1410
kompatibel
Injektion Etoposide phosphate 5 mg/ml
Injektion Vancomycin hydrochloride 10 mg/ml
5% Glucose 1410
kompatibel
Injektion Etoposide phosphate 5 mg/ml
Injektion Vinblastine sulfate 0.12 mg/ml
5% Glucose 1410
kompatibel
Injektion Etoposide phosphate 5 mg/ml
Injektion Vincristine sulfate 0.05 mg/ml
5% Glucose 1410
kompatibel
Injektion Etoposide phosphate 5 mg/ml
Injektion Zidovudine 4 mg/ml
5% Glucose 1410

  Mentions Légales