Última actualização :
18/03/2026
droga contra o câncer   Etoposide phosphate  
injetável
Estabilidade em soluções simples Estabilidade em misturas Factores que afectam a sua estabilidade Compatibilidade Método de administração Bibliografía pdf
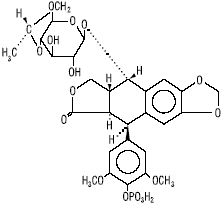
   estrutura química  

Nomes comerciais nos diversos países   Nomes comerciais nos diversos países     

OS NOMES COMERCIAIS SÃO INDICATIVOS E OS EXCIPIENTES DA FORMULAÇÃO PODEM SER DIFERENTES CONFORME O PAÍS E FABRICANTE.

Etopofos Austria, Grècia, Suècia
Etopophos Alemanha, Bélgica, Bulgária, Estados Unidos de América, França, Gran-bretanha, Israel, Luxemburgo, nova Zelândia, Países Baixos, Polonia, Suicia
Compatibilidade   injetável   Compatibilidade : Etoposide phosphate              
Este ecrã indica as compatibilidades ou incompatibilidades com, neste caso, o tipo de incompatibilidade (precipitação, mudança de cor, modificação de uma emulsão, etc.). As compatibilidades mostradas aqui são principalmente físicas, com a estabilidade química de cada molécula raramente sendo avaliada. A avaliação dessas misturas foi estudada para considerar a possibilidade de administração do local Y ao paciente. Estes dados não podem ser usados para fazer misturas antecipadamente em sacos ou seringas. Este tipo de informação está disponível na tela “Estabilidade na mistura».
molécula Solvente Bibliografia
Compatível
injetável Etoposide phosphate 5 mg/ml
injetável Aciclovir sodium 7 mg/ml
Glucose 5% 1410
Compatível
injetável Etoposide phosphate 5 mg/ml
injetável Amikacin sulfate 5 mg/ml
Glucose 5% 1410
Compatível
injetável Etoposide phosphate 5 mg/ml
injetável Aminophylline 2.5 mg/ml
Glucose 5% 1410
Precipitação imediata Incompatível
injetável Etoposide phosphate 5 mg/ml
injetável Amphotericin B 0.6 mg/ml
Glucose 5% 1410
Compatível
injetável Etoposide phosphate 5 mg/ml
injetável Ampicillin sodium 20 mg/ml
Glucose 5% 1410
Compatível
injetável Etoposide phosphate 5 mg/ml
injetável Ampicillin sodium - sulbactam sodium 20/10 mg/ml
Glucose 5% 1410
Compatível
injetável Etoposide phosphate 5 mg/ml
injetável Anidulafungin 0.5 mg/ml
Glucose 5% 1982
Compatível
injetável Etoposide phosphate 5 mg/ml
injetável Aztreonam 40 mg/ml
Glucose 5% 1410
Compatível
injetável Etoposide phosphate 5 mg/ml
injetável Bleomycin sulfate 1 mg/ml
cloreto de sódio 0,9% 1410
Compatível
injetável Etoposide phosphate 5 mg/ml
injetável Bumetanide 0.04 mg/ml
Glucose 5% 1410
Compatível
injetável Etoposide phosphate 5 mg/ml
injetável Buprenorphine hydrochloride 0.04 mg/ml
Glucose 5% 1410
Compatível
injetável Etoposide phosphate 5 mg/ml
injetável Butorphanol tartrate 0.04 mg/ml
Glucose 5% 1410
Incompatibilidade não especificada Incompatível
injetável Etoposide phosphate
injetável Calcium gluconate
3644
Compatível
injetável Etoposide phosphate 5 mg/ml
injetável Calcium gluconate 40 mg/ml
Glucose 5% 1410
Compatível
injetável Etoposide phosphate 5 mg/ml
injetável Carboplatin 5 mg/ml
Glucose 5% 1410
Compatível
injetável Etoposide phosphate 5 mg/ml
injetável Carmustine 1.5 mg/ml
Glucose 5% 1410
Compatível
injetável Etoposide phosphate 5 mg/ml
injetável Caspofungin acetate 0,7 mg/ml
cloreto de sódio 0,9% 2247
Compatível
injetável Etoposide phosphate 5 mg/ml
injetável Cefazolin sodium 20 mg/ml
Glucose 5% 1410
Turvação imediata Incompatível
injetável Etoposide phosphate 5 mg/ml
injetável Cefepime dihydrochloride 20 mg/ml
Glucose 5% 1410
Compatível
injetável Etoposide phosphate 5 mg/ml
injetável Cefonicid sodium 20 mg/ml
Glucose 5% 1410
Compatível
injetável Etoposide phosphate 5 mg/ml
injetável Cefoperazone sodium 40 mg/ml
Glucose 5% 1410
Compatível
injetável Etoposide phosphate 5 mg/ml
injetável Cefotaxime sodium 20 mg/ml
Glucose 5% 1410
Compatível
injetável Etoposide phosphate 5 mg/ml
injetável Cefoxitin sodium 20 mg/ml
Glucose 5% 1410
Compatível
injetável Etoposide phosphate 5 mg/ml
injetável Ceftazidime 40 mg/ml
Glucose 5% 1410
Compatível
injetável Etoposide phosphate 5 mg/ml
injetável Ceftriaxone disodium 20 mg/ml
Glucose 5% 1410
Compatível
injetável Etoposide phosphate
Glucose 5% 3655
Incompatível
injetável Etoposide phosphate
injetável Calcium gluconate
4964
Compatível
injetável Etoposide phosphate 5 mg/ml
injetável Ceftizoxime sodium 20 mg/ml
Glucose 5% 1410
Compatível
injetável Etoposide phosphate 5 mg/ml
injetável Cefuroxime sodium 30 mg/ml
Glucose 5% 1410
Turvação imediata Incompatível
injetável Etoposide phosphate 5 mg/ml
injetável Chlorpromazine hydrochloride 2 mg/ml
Glucose 5% 1410
Compatível
injetável Etoposide phosphate 5 mg/ml
injetável Cimetidine hydrochloride 12 mg/ml
Glucose 5% 1410
Compatível
injetável Etoposide phosphate 5 mg/ml
injetável Ciprofloxacin lactate 1 mg/ml
Glucose 5% 1410
Compatível
injetável Etoposide phosphate 5 mg/ml
injetável Cisplatin 1 mg/ml
Glucose 5% 1410
Compatível
injetável Etoposide phosphate 5 mg/ml
injetável Clindamycin phosphate 10 mg/ml
Glucose 5% 1410
Compatível
injetável Etoposide phosphate 5 mg/ml
injetável Co-trimoxazole 0.8/4 mg/ml
Glucose 5% 1410
Compatível
injetável Etoposide phosphate 5 mg/ml
injetável Cyclophosphamide 10 mg/ml
Glucose 5% 1410
Compatível
injetável Etoposide phosphate 5 mg/ml
injetável Cytarabine 50 mg/ml
Glucose 5% 1410
Compatível
injetável Etoposide phosphate 5 mg/ml
injetável Dacarbazine 4 mg/ml
Glucose 5% 1410
Compatível
injetável Etoposide phosphate 5 mg/ml
injetável Dactinomycin 10 µg/ml
Glucose 5% 1410
Compatível
injetável Etoposide phosphate 5 mg/ml
injetável Daunorubicin hydrochloride 1 mg/ml
Glucose 5% 1410
Compatível
injetável Etoposide phosphate 5 mg/ml
injetável Dexamethasone sodium phosphate 1 mg/ml
Glucose 5% 1410
Compatível
injetável Etoposide phosphate 5 mg/ml
injetável Diphenhydramine hydrochloride 2 mg/ml
Glucose 5% 1410
Compatível
injetável Etoposide phosphate 5 mg/ml
injetável Dobutamine hydrochloride 4 mg/ml
Glucose 5% 1410
Compatível
injetável Etoposide phosphate 5 mg/ml
injetável Dopamine hydrochloride 3.2 mg/ml
Glucose 5% 1410
Compatível
injetável Etoposide phosphate 5 mg/ml
injetável Doripenem 5 mg/ml
cloreto de sódio 0,9% 2262
Compatível
injetável Etoposide phosphate 5 mg/ml
injetável Doripenem 5 mg/ml
Glucose 5% 2262
Compatível
injetável Etoposide phosphate 5 mg/ml
injetável Doxorubicin hydrochloride 2 mg/ml
Glucose 5% 1410
Compatível
injetável Etoposide phosphate 5 mg/ml
injetável Doxycycline hyclate 1 mg/ml
Glucose 5% 1410
Compatível
injetável Etoposide phosphate 5 mg/ml
injetável Droperidol 0.4 mg/ml
Glucose 5% 1410
Compatível
injetável Etoposide phosphate 5 mg/ml
injetável Enalaprilate 0.1 mg/ml
Glucose 5% 1410
Compatível
injetável Etoposide phosphate 5 mg/ml
injetável Famotidine 2 mg/ml
Glucose 5% 1410
Compatível
injetável Etoposide phosphate 5 mg/ml
injetável Floxuridine 3 mg/ml
Glucose 5% 1410
Compatível
injetável Etoposide phosphate 5 mg/ml
injetável Fluconazole 2 mg/ml
Glucose 5% 1410
Compatível
injetável Etoposide phosphate 5 mg/ml
injetável Fludarabine phosphate 1 mg/ml
Glucose 5% 1410
Compatível
injetável Etoposide phosphate 5 mg/ml
injetável Fluorouracil 16 mg/ml
Glucose 5% 1410
Compatível
injetável Etoposide phosphate 5 mg/ml
injetável Folinate calcium 2 mg/ml
Glucose 5% 1410
Compatível
injetável Etoposide phosphate 5 mg/ml
injetável Furosemide 3 mg/ml
Glucose 5% 1410
Compatível
injetável Etoposide phosphate 5 mg/ml
injetável Gallium nitrate 0.4 mg/ml
Glucose 5% 1410
Compatível
injetável Etoposide phosphate 5 mg/ml
injetável Ganciclovir sodium 20 mg/ml
Glucose 5% 1410
Compatível
injetável Etoposide phosphate 5 mg/ml
injetável Gemcitabine hydrochloride 10 mg/ml
cloreto de sódio 0,9% 1423
Compatível
injetável Etoposide phosphate 5 mg/ml
injetável Gentamicin sulfate 5 mg/ml
Glucose 5% 1410
Compatível
injetável Etoposide phosphate 5 mg/ml
injetável Granisetron hydrochloride 0.05 mg/ml
Glucose 5% 1410
Compatível
injetável Etoposide phosphate 5 mg/ml
injetável Haloperidol lactate 0.2 mg/ml
Glucose 5% 1410
Compatível
injetável Etoposide phosphate 5 mg/ml
injetável Heparin sodium 100 UI/ml
Glucose 5% 1410
Compatível
injetável Etoposide phosphate 5 mg/ml
injetável Hydrocortisone sodium succinate 1 mg/ml
Glucose 5% 1410
Compatível
injetável Etoposide phosphate 5 mg/ml
injetável Hydromorphone hydrochloride 0.5 mg/ml
Glucose 5% 1410
Compatível
injetável Etoposide phosphate 5 mg/ml
injetável Hydroxyzine dihydrochloride 4 mg/ml
Glucose 5% 1410
Compatível
injetável Etoposide phosphate 5 mg/ml
injetável Idarubicin hydrochloride 0.5 mg/ml
Glucose 5% 1410
Compatível
injetável Etoposide phosphate 5 mg/ml
injetável Ifosfamide 25 mg/ml
Glucose 5% 1410
Mudança de cor após 4 horas Incompatível
injetável Etoposide phosphate 5 mg/ml
injetável Imipenem - cilastatin sodium 10 mg/ml
cloreto de sódio 0,9% 1410
Precipitação imediata Incompatível
injetável Etoposide phosphate 5 mg/ml
injetável Lansoprazole 0.55 mg/ml
cloreto de sódio 0,9% 1625
Compatível
injetável Etoposide phosphate 5 mg/ml
injetável Linezolid 2 mg/ml
nenhum 1925
Compatível
injetável Etoposide phosphate
cloreto de sódio 0,9% 3655
Compatível
injetável Etoposide phosphate 5 mg/ml
injetável Lorazepam 0.5 mg/ml
Glucose 5% 1410
Incompatibilidade não especificada Incompatível
injetável Etoposide phosphate
injetável Magnesium sulfate
3838
Compatível
injetável Etoposide phosphate 5 mg/ml
injetável Magnesium sulfate 100 mg/ml
Glucose 5% 1410
Compatível
injetável Etoposide phosphate 5 mg/ml
injetável Mannitol 150 mg/ml
Glucose 5% 1410
Compatível
injetável Etoposide phosphate 5 mg/ml
injetável Mesna 10 mg/ml
Glucose 5% 1410
Compatível
injetável Etoposide phosphate 5 mg/ml
injetável Methotrexate sodium 15 mg/ml
Glucose 5% 1410
Turvação imediata Incompatível
injetável Etoposide phosphate 5 mg/ml
injetável Methylprednisolone sodium succinate 5 mg/ml
Glucose 5% 1410
Compatível
injetável Etoposide phosphate 5 mg/ml
injetável Metoclopramide hydrochloride 5 mg/ml
Glucose 5% 1410
Compatível
injetável Etoposide phosphate 5 mg/ml
injetável Metronidazole 5 mg/ml
Glucose 5% 1410
Compatível
injetável Etoposide phosphate 5 mg/ml
injetável Minocycline hydrochloride 0.2 mg/ml
Glucose 5% 1410
Mudança de cor após 4 horas Incompatível
injetável Etoposide phosphate 5 mg/ml
injetável Mitomycin 0.5 mg/ml
Glucose 5% 1410
Compatível
injetável Etoposide phosphate 5 mg/ml
injetável Mitoxantrone dihydrochloride 0.5 mg/ml
Glucose 5% 1410
Compatível
injetável Etoposide phosphate 5 mg/ml
injetável Morphine sulfate 1 mg/ml
Glucose 5% 1410
Compatível
injetável Etoposide phosphate 5 mg/ml
injetável Nalbuphine hydrochloride 10 mg/ml
Glucose 5% 1410
Compatível
injetável Etoposide phosphate 5 mg/ml
injetável Netilmicin sulfate 5 mg/ml
Glucose 5% 1410
Compatível
injetável Etoposide phosphate 5 mg/ml
injetável Ofloxacin 4 mg/ml
Glucose 5% 1410
Compatível
injetável Etoposide phosphate 5 mg/ml
injetável Ondansetron hydrochloride 1 mg/ml
Glucose 5% 1410
Compatível
injetável Etoposide phosphate 5 mg/ml
injetável Oxaliplatin 0,5 mg/ml
Glucose 5% 1662
Compatível
injetável Etoposide phosphate 5 mg/ml
injetável Paclitaxel 1.2 mg/ml
Glucose 5% 1410
Compatível
injetável Etoposide phosphate 5 mg/ml
injetável Pethidine hydrochloride 4 mg/ml
Glucose 5% 1410
Compatível
injetável Etoposide phosphate 5 mg/ml
injetável Piperacillin sodium 40 mg/ml
Glucose 5% 1410
Compatível
injetável Etoposide phosphate 5 mg/ml
injetável Piperacillin sodium / tazobactam 40/5 mg/ml
cloreto de sódio 0,9% 1410
Compatível
injetável Etoposide phosphate 5 mg/ml
injetável Potassium chloride 100 mEq/l
Glucose 5% 1410
Turvação imediata Incompatível
injetável Etoposide phosphate 5 mg/ml
injetável Prochlorperazine edysilate 0.5 mg/ml
Glucose 5% 1410
Compatível
injetável Etoposide phosphate 5 mg/ml
injetável Promethazine hydrochloride 2 mg/ml
Glucose 5% 1410
Compatível
injetável Etoposide phosphate 5 mg/ml
injetável Ranitidine hydrochloride 2 mg/ml
Glucose 5% 1410
Compatível
injetável Etoposide phosphate 5 mg/ml
injetável Sodium bicarbonate 84 mg/ml
Glucose 5% 1410
Compatível
injetável Etoposide phosphate 5 mg/ml
injetável Streptozocin 40 mg/ml
Glucose 5% 1410
Mudança de cor após 4 horas Incompatível
injetável Etoposide phosphate 5 mg/ml
injetável Teniposide 0.1 mg/ml
cloreto de sódio 0,9% 1410
Compatível
injetável Etoposide phosphate 5 mg/ml
injetável Thiotepa 1 mg/ml
Glucose 5% 1410
Compatível
injetável Etoposide phosphate 5 mg/ml
injetável Ticarcillin / clavulanic acid 31 mg/ml
Glucose 5% 1410
Compatível
injetável Etoposide phosphate 5 mg/ml
injetável Tobramycin sulfate 5 mg/ml
Glucose 5% 1410
Compatível
injetável Etoposide phosphate 5 mg/ml
injetável Vancomycin hydrochloride 10 mg/ml
Glucose 5% 1410
Compatível
injetável Etoposide phosphate 5 mg/ml
injetável Vinblastine sulfate 0.12 mg/ml
Glucose 5% 1410
Compatível
injetável Etoposide phosphate 5 mg/ml
injetável Vincristine sulfate 0.05 mg/ml
Glucose 5% 1410
Compatível
injetável Etoposide phosphate 5 mg/ml
injetável Zidovudine 4 mg/ml
Glucose 5% 1410

  Mentions Légales