Pēdējā atjaunošana :
18/03/2026
vēzis narkotiku   Etoposide phosphate  
Injekcija
Šķīduma stabilitāte Maisījuma stabilitāte Stabilitāti ietekmējoši faktori Saderība Levadīšanas veids Literatūras saraksts pdf
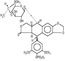
   Ķīmiskā uzbūve   

Oriģinālais nosaukums   Oriģinālais nosaukums     

Tirdzniecības nosaukumi ir apzīmējoši un palīgvielas var atšķirties dažādām valstīm un laboratorijām

Etopofos Austrija, Grieķija, Zviedrija
Etopophos Amerikas Savienotās Valstis, Beļģija, Bulgārija, Francija, Holande, Izraēla, Jaunzēlande, Lielbritānija, Luksemburga, Polija, Šveice, Vācija
Saderība   Injekcija   Saderība : Etoposide phosphate              
Šī tabula parāda zāļu saderību vai nesaderību, pēc iespējas arī nesaderības tipu (precipitācija, krāsas maiņa, emulsijas sadalīšanās utt). Parādītas šeit saderības ir pārsvarā tikai fizikālās, pēc iespējas tiek parādīta ķīmiskā stabilitāte katrai molekulai. Šo maisījumu analīze tikai veikta, lai izprastu iespējamību ievadīt zāles Y-savienojuma vietā sistēmā pacientam. Šie dati nevar tikt izmantoti, lai pagatavot zāļu maisījumus vēlākai lietošanai maisos vai šļircēs. Šī informācija ir pieejama sadaļā "Maisījuma stabilitāte".
Savienojums Šķīdinātājs Literatūras saraksts
Savietojams
Injekcija Etoposide phosphate 5 mg/ml
Injekcija Aciclovir sodium 7 mg/ml
5% glikoze 1410
Savietojams
Injekcija Etoposide phosphate 5 mg/ml
Injekcija Amikacin sulfate 5 mg/ml
5% glikoze 1410
Savietojams
Injekcija Etoposide phosphate 5 mg/ml
Injekcija Aminophylline 2.5 mg/ml
5% glikoze 1410
Tūlītēji nokrišņi Nesavienojams
Injekcija Etoposide phosphate 5 mg/ml
Injekcija Amphotericin B 0.6 mg/ml
5% glikoze 1410
Savietojams
Injekcija Etoposide phosphate 5 mg/ml
Injekcija Ampicillin sodium 20 mg/ml
5% glikoze 1410
Savietojams
Injekcija Etoposide phosphate 5 mg/ml
Injekcija Ampicillin sodium - sulbactam sodium 20/10 mg/ml
5% glikoze 1410
Savietojams
Injekcija Etoposide phosphate 5 mg/ml
Injekcija Anidulafungin 0.5 mg/ml
5% glikoze 1982
Savietojams
Injekcija Etoposide phosphate 5 mg/ml
Injekcija Aztreonam 40 mg/ml
5% glikoze 1410
Savietojams
Injekcija Etoposide phosphate 5 mg/ml
Injekcija Bleomycin sulfate 1 mg/ml
Nātrija hlorīds 0.9% 1410
Savietojams
Injekcija Etoposide phosphate 5 mg/ml
Injekcija Bumetanide 0.04 mg/ml
5% glikoze 1410
Savietojams
Injekcija Etoposide phosphate 5 mg/ml
Injekcija Buprenorphine hydrochloride 0.04 mg/ml
5% glikoze 1410
Savietojams
Injekcija Etoposide phosphate 5 mg/ml
Injekcija Butorphanol tartrate 0.04 mg/ml
5% glikoze 1410
Neprecizēta nesaderība Nesavienojams
Injekcija Etoposide phosphate
Injekcija Calcium gluconate
3644
Savietojams
Injekcija Etoposide phosphate 5 mg/ml
Injekcija Calcium gluconate 40 mg/ml
5% glikoze 1410
Savietojams
Injekcija Etoposide phosphate 5 mg/ml
Injekcija Carboplatin 5 mg/ml
5% glikoze 1410
Savietojams
Injekcija Etoposide phosphate 5 mg/ml
Injekcija Carmustine 1.5 mg/ml
5% glikoze 1410
Savietojams
Injekcija Etoposide phosphate 5 mg/ml
Injekcija Caspofungin acetate 0,7 mg/ml
Nātrija hlorīds 0.9% 2247
Savietojams
Injekcija Etoposide phosphate 5 mg/ml
Injekcija Cefazolin sodium 20 mg/ml
5% glikoze 1410
Tūlītēja duļķainība Nesavienojams
Injekcija Etoposide phosphate 5 mg/ml
Injekcija Cefepime dihydrochloride 20 mg/ml
5% glikoze 1410
Savietojams
Injekcija Etoposide phosphate 5 mg/ml
Injekcija Cefonicid sodium 20 mg/ml
5% glikoze 1410
Savietojams
Injekcija Etoposide phosphate 5 mg/ml
Injekcija Cefoperazone sodium 40 mg/ml
5% glikoze 1410
Savietojams
Injekcija Etoposide phosphate 5 mg/ml
Injekcija Cefotaxime sodium 20 mg/ml
5% glikoze 1410
Savietojams
Injekcija Etoposide phosphate 5 mg/ml
Injekcija Cefoxitin sodium 20 mg/ml
5% glikoze 1410
Savietojams
Injekcija Etoposide phosphate 5 mg/ml
Injekcija Ceftazidime 40 mg/ml
5% glikoze 1410
Savietojams
Injekcija Etoposide phosphate 5 mg/ml
Injekcija Ceftriaxone disodium 20 mg/ml
5% glikoze 1410
Savietojams
Injekcija Etoposide phosphate
5% glikoze 3655
Nesavienojams
Injekcija Etoposide phosphate
Injekcija Calcium gluconate
4964
Savietojams
Injekcija Etoposide phosphate 5 mg/ml
Injekcija Ceftizoxime sodium 20 mg/ml
5% glikoze 1410
Savietojams
Injekcija Etoposide phosphate 5 mg/ml
Injekcija Cefuroxime sodium 30 mg/ml
5% glikoze 1410
Tūlītēja duļķainība Nesavienojams
Injekcija Etoposide phosphate 5 mg/ml
Injekcija Chlorpromazine hydrochloride 2 mg/ml
5% glikoze 1410
Savietojams
Injekcija Etoposide phosphate 5 mg/ml
Injekcija Cimetidine hydrochloride 12 mg/ml
5% glikoze 1410
Savietojams
Injekcija Etoposide phosphate 5 mg/ml
Injekcija Ciprofloxacin lactate 1 mg/ml
5% glikoze 1410
Savietojams
Injekcija Etoposide phosphate 5 mg/ml
Injekcija Cisplatin 1 mg/ml
5% glikoze 1410
Savietojams
Injekcija Etoposide phosphate 5 mg/ml
Injekcija Clindamycin phosphate 10 mg/ml
5% glikoze 1410
Savietojams
Injekcija Etoposide phosphate 5 mg/ml
Injekcija Co-trimoxazole 0.8/4 mg/ml
5% glikoze 1410
Savietojams
Injekcija Etoposide phosphate 5 mg/ml
Injekcija Cyclophosphamide 10 mg/ml
5% glikoze 1410
Savietojams
Injekcija Etoposide phosphate 5 mg/ml
Injekcija Cytarabine 50 mg/ml
5% glikoze 1410
Savietojams
Injekcija Etoposide phosphate 5 mg/ml
Injekcija Dacarbazine 4 mg/ml
5% glikoze 1410
Savietojams
Injekcija Etoposide phosphate 5 mg/ml
Injekcija Dactinomycin 10 µg/ml
5% glikoze 1410
Savietojams
Injekcija Etoposide phosphate 5 mg/ml
Injekcija Daunorubicin hydrochloride 1 mg/ml
5% glikoze 1410
Savietojams
Injekcija Etoposide phosphate 5 mg/ml
Injekcija Dexamethasone sodium phosphate 1 mg/ml
5% glikoze 1410
Savietojams
Injekcija Etoposide phosphate 5 mg/ml
Injekcija Diphenhydramine hydrochloride 2 mg/ml
5% glikoze 1410
Savietojams
Injekcija Etoposide phosphate 5 mg/ml
Injekcija Dobutamine hydrochloride 4 mg/ml
5% glikoze 1410
Savietojams
Injekcija Etoposide phosphate 5 mg/ml
Injekcija Dopamine hydrochloride 3.2 mg/ml
5% glikoze 1410
Savietojams
Injekcija Etoposide phosphate 5 mg/ml
Injekcija Doripenem 5 mg/ml
Nātrija hlorīds 0.9% 2262
Savietojams
Injekcija Etoposide phosphate 5 mg/ml
Injekcija Doripenem 5 mg/ml
5% glikoze 2262
Savietojams
Injekcija Etoposide phosphate 5 mg/ml
Injekcija Doxorubicin hydrochloride 2 mg/ml
5% glikoze 1410
Savietojams
Injekcija Etoposide phosphate 5 mg/ml
Injekcija Doxycycline hyclate 1 mg/ml
5% glikoze 1410
Savietojams
Injekcija Etoposide phosphate 5 mg/ml
Injekcija Droperidol 0.4 mg/ml
5% glikoze 1410
Savietojams
Injekcija Etoposide phosphate 5 mg/ml
Injekcija Enalaprilate 0.1 mg/ml
5% glikoze 1410
Savietojams
Injekcija Etoposide phosphate 5 mg/ml
Injekcija Famotidine 2 mg/ml
5% glikoze 1410
Savietojams
Injekcija Etoposide phosphate 5 mg/ml
Injekcija Floxuridine 3 mg/ml
5% glikoze 1410
Savietojams
Injekcija Etoposide phosphate 5 mg/ml
Injekcija Fluconazole 2 mg/ml
5% glikoze 1410
Savietojams
Injekcija Etoposide phosphate 5 mg/ml
Injekcija Fludarabine phosphate 1 mg/ml
5% glikoze 1410
Savietojams
Injekcija Etoposide phosphate 5 mg/ml
Injekcija Fluorouracil 16 mg/ml
5% glikoze 1410
Savietojams
Injekcija Etoposide phosphate 5 mg/ml
Injekcija Folinate calcium 2 mg/ml
5% glikoze 1410
Savietojams
Injekcija Etoposide phosphate 5 mg/ml
Injekcija Furosemide 3 mg/ml
5% glikoze 1410
Savietojams
Injekcija Etoposide phosphate 5 mg/ml
Injekcija Gallium nitrate 0.4 mg/ml
5% glikoze 1410
Savietojams
Injekcija Etoposide phosphate 5 mg/ml
Injekcija Ganciclovir sodium 20 mg/ml
5% glikoze 1410
Savietojams
Injekcija Etoposide phosphate 5 mg/ml
Injekcija Gemcitabine hydrochloride 10 mg/ml
Nātrija hlorīds 0.9% 1423
Savietojams
Injekcija Etoposide phosphate 5 mg/ml
Injekcija Gentamicin sulfate 5 mg/ml
5% glikoze 1410
Savietojams
Injekcija Etoposide phosphate 5 mg/ml
Injekcija Granisetron hydrochloride 0.05 mg/ml
5% glikoze 1410
Savietojams
Injekcija Etoposide phosphate 5 mg/ml
Injekcija Haloperidol lactate 0.2 mg/ml
5% glikoze 1410
Savietojams
Injekcija Etoposide phosphate 5 mg/ml
Injekcija Heparin sodium 100 UI/ml
5% glikoze 1410
Savietojams
Injekcija Etoposide phosphate 5 mg/ml
Injekcija Hydrocortisone sodium succinate 1 mg/ml
5% glikoze 1410
Savietojams
Injekcija Etoposide phosphate 5 mg/ml
Injekcija Hydromorphone hydrochloride 0.5 mg/ml
5% glikoze 1410
Savietojams
Injekcija Etoposide phosphate 5 mg/ml
Injekcija Hydroxyzine dihydrochloride 4 mg/ml
5% glikoze 1410
Savietojams
Injekcija Etoposide phosphate 5 mg/ml
Injekcija Idarubicin hydrochloride 0.5 mg/ml
5% glikoze 1410
Savietojams
Injekcija Etoposide phosphate 5 mg/ml
Injekcija Ifosfamide 25 mg/ml
5% glikoze 1410
Krāsas maiņa pēc 4 stundām Nesavienojams
Injekcija Etoposide phosphate 5 mg/ml
Injekcija Imipenem - cilastatin sodium 10 mg/ml
Nātrija hlorīds 0.9% 1410
Tūlītēji nokrišņi Nesavienojams
Injekcija Etoposide phosphate 5 mg/ml
Injekcija Lansoprazole 0.55 mg/ml
Nātrija hlorīds 0.9% 1625
Savietojams
Injekcija Etoposide phosphate 5 mg/ml
Injekcija Linezolid 2 mg/ml
Nekāds 1925
Savietojams
Injekcija Etoposide phosphate
Nātrija hlorīds 0.9% 3655
Savietojams
Injekcija Etoposide phosphate 5 mg/ml
Injekcija Lorazepam 0.5 mg/ml
5% glikoze 1410
Neprecizēta nesaderība Nesavienojams
Injekcija Etoposide phosphate
Injekcija Magnesium sulfate
3838
Savietojams
Injekcija Etoposide phosphate 5 mg/ml
Injekcija Magnesium sulfate 100 mg/ml
5% glikoze 1410
Savietojams
Injekcija Etoposide phosphate 5 mg/ml
Injekcija Mannitol 150 mg/ml
5% glikoze 1410
Savietojams
Injekcija Etoposide phosphate 5 mg/ml
Injekcija Mesna 10 mg/ml
5% glikoze 1410
Savietojams
Injekcija Etoposide phosphate 5 mg/ml
Injekcija Methotrexate sodium 15 mg/ml
5% glikoze 1410
Tūlītēja duļķainība Nesavienojams
Injekcija Etoposide phosphate 5 mg/ml
Injekcija Methylprednisolone sodium succinate 5 mg/ml
5% glikoze 1410
Savietojams
Injekcija Etoposide phosphate 5 mg/ml
Injekcija Metoclopramide hydrochloride 5 mg/ml
5% glikoze 1410
Savietojams
Injekcija Etoposide phosphate 5 mg/ml
Injekcija Metronidazole 5 mg/ml
5% glikoze 1410
Savietojams
Injekcija Etoposide phosphate 5 mg/ml
Injekcija Minocycline hydrochloride 0.2 mg/ml
5% glikoze 1410
Krāsas maiņa pēc 4 stundām Nesavienojams
Injekcija Etoposide phosphate 5 mg/ml
Injekcija Mitomycin 0.5 mg/ml
5% glikoze 1410
Savietojams
Injekcija Etoposide phosphate 5 mg/ml
Injekcija Mitoxantrone dihydrochloride 0.5 mg/ml
5% glikoze 1410
Savietojams
Injekcija Etoposide phosphate 5 mg/ml
Injekcija Morphine sulfate 1 mg/ml
5% glikoze 1410
Savietojams
Injekcija Etoposide phosphate 5 mg/ml
Injekcija Nalbuphine hydrochloride 10 mg/ml
5% glikoze 1410
Savietojams
Injekcija Etoposide phosphate 5 mg/ml
Injekcija Netilmicin sulfate 5 mg/ml
5% glikoze 1410
Savietojams
Injekcija Etoposide phosphate 5 mg/ml
Injekcija Ofloxacin 4 mg/ml
5% glikoze 1410
Savietojams
Injekcija Etoposide phosphate 5 mg/ml
Injekcija Ondansetron hydrochloride 1 mg/ml
5% glikoze 1410
Savietojams
Injekcija Etoposide phosphate 5 mg/ml
Injekcija Oxaliplatin 0,5 mg/ml
5% glikoze 1662
Savietojams
Injekcija Etoposide phosphate 5 mg/ml
Injekcija Paclitaxel 1.2 mg/ml
5% glikoze 1410
Savietojams
Injekcija Etoposide phosphate 5 mg/ml
Injekcija Pethidine hydrochloride 4 mg/ml
5% glikoze 1410
Savietojams
Injekcija Etoposide phosphate 5 mg/ml
Injekcija Piperacillin sodium 40 mg/ml
5% glikoze 1410
Savietojams
Injekcija Etoposide phosphate 5 mg/ml
Injekcija Piperacillin sodium / tazobactam 40/5 mg/ml
Nātrija hlorīds 0.9% 1410
Savietojams
Injekcija Etoposide phosphate 5 mg/ml
Injekcija Potassium chloride 100 mEq/l
5% glikoze 1410
Tūlītēja duļķainība Nesavienojams
Injekcija Etoposide phosphate 5 mg/ml
Injekcija Prochlorperazine edysilate 0.5 mg/ml
5% glikoze 1410
Savietojams
Injekcija Etoposide phosphate 5 mg/ml
Injekcija Promethazine hydrochloride 2 mg/ml
5% glikoze 1410
Savietojams
Injekcija Etoposide phosphate 5 mg/ml
Injekcija Ranitidine hydrochloride 2 mg/ml
5% glikoze 1410
Savietojams
Injekcija Etoposide phosphate 5 mg/ml
Injekcija Sodium bicarbonate 84 mg/ml
5% glikoze 1410
Savietojams
Injekcija Etoposide phosphate 5 mg/ml
Injekcija Streptozocin 40 mg/ml
5% glikoze 1410
Krāsas maiņa pēc 4 stundām Nesavienojams
Injekcija Etoposide phosphate 5 mg/ml
Injekcija Teniposide 0.1 mg/ml
Nātrija hlorīds 0.9% 1410
Savietojams
Injekcija Etoposide phosphate 5 mg/ml
Injekcija Thiotepa 1 mg/ml
5% glikoze 1410
Savietojams
Injekcija Etoposide phosphate 5 mg/ml
Injekcija Ticarcillin / clavulanic acid 31 mg/ml
5% glikoze 1410
Savietojams
Injekcija Etoposide phosphate 5 mg/ml
Injekcija Tobramycin sulfate 5 mg/ml
5% glikoze 1410
Savietojams
Injekcija Etoposide phosphate 5 mg/ml
Injekcija Vancomycin hydrochloride 10 mg/ml
5% glikoze 1410
Savietojams
Injekcija Etoposide phosphate 5 mg/ml
Injekcija Vinblastine sulfate 0.12 mg/ml
5% glikoze 1410
Savietojams
Injekcija Etoposide phosphate 5 mg/ml
Injekcija Vincristine sulfate 0.05 mg/ml
5% glikoze 1410
Savietojams
Injekcija Etoposide phosphate 5 mg/ml
Injekcija Zidovudine 4 mg/ml
5% glikoze 1410

  Mentions Légales