آخر تحديث :
18/03/2026
المضادة للسرطان المخدرات   Etoposide phosphate  
حقن
الاستقرار في حلول استقرار مخاليط العوامل التي تؤثر على الاستقرار التوافق طريقة التعاطي مراجع pdf
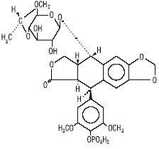
   التركيب الكيميائي  

حجز الاسم التجاري   حجز الاسم التجاري     

تحذير الأسماء التجاريه المختلفه قد تحتوي علي محتوي إضافات مختلفة حسب الدوله و المعمل

Etopofos السويد, النمسا, يونان
Etopophos ألمانيا, الكيان الصهيوني, الولايات المتحدة, بريطانيا العظمي, بلجيكا, بلغاريا, بولندا, زيلاندا الجديدة, سويسرا, فرنسا, لوكسمبورغ, هولندا
التوافق   حقن   التوافق : Etoposide phosphate              
This screen indicates the compatibilities or incompatibilities with, in this case, the type of incompatibility (precipitation, color change, modification of an emulsion, etc.). The compatibilities shown here are mostly physical only, with the chemical stability of each molecule rarely being assessed. The evaluation of these mixtures was studied to consider the possibility of Y-site administration to the patient. These data cannot be used for making mixtures in advance in bags or syringes. This type of information is available in the screen "Stability in mixture ».
مركب مذيب مراجع
kompatibel
حقن Etoposide phosphate 5 mg/ml
حقن Aciclovir sodium 7 mg/ml
الجلوكوز %5 1410
kompatibel
حقن Etoposide phosphate 5 mg/ml
حقن Amikacin sulfate 5 mg/ml
الجلوكوز %5 1410
kompatibel
حقن Etoposide phosphate 5 mg/ml
حقن Aminophylline 2.5 mg/ml
الجلوكوز %5 1410
هطول فوري غير متوافق
حقن Etoposide phosphate 5 mg/ml
حقن Amphotericin B 0.6 mg/ml
الجلوكوز %5 1410
kompatibel
حقن Etoposide phosphate 5 mg/ml
حقن Ampicillin sodium 20 mg/ml
الجلوكوز %5 1410
kompatibel
حقن Etoposide phosphate 5 mg/ml
حقن Ampicillin sodium - sulbactam sodium 20/10 mg/ml
الجلوكوز %5 1410
kompatibel
حقن Etoposide phosphate 5 mg/ml
حقن Anidulafungin 0.5 mg/ml
الجلوكوز %5 1982
kompatibel
حقن Etoposide phosphate 5 mg/ml
حقن Aztreonam 40 mg/ml
الجلوكوز %5 1410
kompatibel
حقن Etoposide phosphate 5 mg/ml
حقن Bleomycin sulfate 1 mg/ml
كلوريد الصوديوم 0.9% 1410
kompatibel
حقن Etoposide phosphate 5 mg/ml
حقن Bumetanide 0.04 mg/ml
الجلوكوز %5 1410
kompatibel
حقن Etoposide phosphate 5 mg/ml
حقن Buprenorphine hydrochloride 0.04 mg/ml
الجلوكوز %5 1410
kompatibel
حقن Etoposide phosphate 5 mg/ml
حقن Butorphanol tartrate 0.04 mg/ml
الجلوكوز %5 1410
عدم توافق غير محدد غير متوافق
حقن Etoposide phosphate
حقن Calcium gluconate
3644
kompatibel
حقن Etoposide phosphate 5 mg/ml
حقن Calcium gluconate 40 mg/ml
الجلوكوز %5 1410
kompatibel
حقن Etoposide phosphate 5 mg/ml
حقن Carboplatin 5 mg/ml
الجلوكوز %5 1410
kompatibel
حقن Etoposide phosphate 5 mg/ml
حقن Carmustine 1.5 mg/ml
الجلوكوز %5 1410
kompatibel
حقن Etoposide phosphate 5 mg/ml
حقن Caspofungin acetate 0,7 mg/ml
كلوريد الصوديوم 0.9% 2247
kompatibel
حقن Etoposide phosphate 5 mg/ml
حقن Cefazolin sodium 20 mg/ml
الجلوكوز %5 1410
التعكر الفوري غير متوافق
حقن Etoposide phosphate 5 mg/ml
حقن Cefepime dihydrochloride 20 mg/ml
الجلوكوز %5 1410
kompatibel
حقن Etoposide phosphate 5 mg/ml
حقن Cefonicid sodium 20 mg/ml
الجلوكوز %5 1410
kompatibel
حقن Etoposide phosphate 5 mg/ml
حقن Cefoperazone sodium 40 mg/ml
الجلوكوز %5 1410
kompatibel
حقن Etoposide phosphate 5 mg/ml
حقن Cefotaxime sodium 20 mg/ml
الجلوكوز %5 1410
kompatibel
حقن Etoposide phosphate 5 mg/ml
حقن Cefoxitin sodium 20 mg/ml
الجلوكوز %5 1410
kompatibel
حقن Etoposide phosphate 5 mg/ml
حقن Ceftazidime 40 mg/ml
الجلوكوز %5 1410
kompatibel
حقن Etoposide phosphate 5 mg/ml
حقن Ceftriaxone disodium 20 mg/ml
الجلوكوز %5 1410
kompatibel
حقن Etoposide phosphate
الجلوكوز %5 3655
غير متوافق
حقن Etoposide phosphate
حقن Calcium gluconate
4964
kompatibel
حقن Etoposide phosphate 5 mg/ml
حقن Ceftizoxime sodium 20 mg/ml
الجلوكوز %5 1410
kompatibel
حقن Etoposide phosphate 5 mg/ml
حقن Cefuroxime sodium 30 mg/ml
الجلوكوز %5 1410
التعكر الفوري غير متوافق
حقن Etoposide phosphate 5 mg/ml
حقن Chlorpromazine hydrochloride 2 mg/ml
الجلوكوز %5 1410
kompatibel
حقن Etoposide phosphate 5 mg/ml
حقن Cimetidine hydrochloride 12 mg/ml
الجلوكوز %5 1410
kompatibel
حقن Etoposide phosphate 5 mg/ml
حقن Ciprofloxacin lactate 1 mg/ml
الجلوكوز %5 1410
kompatibel
حقن Etoposide phosphate 5 mg/ml
حقن Cisplatin 1 mg/ml
الجلوكوز %5 1410
kompatibel
حقن Etoposide phosphate 5 mg/ml
حقن Clindamycin phosphate 10 mg/ml
الجلوكوز %5 1410
kompatibel
حقن Etoposide phosphate 5 mg/ml
حقن Co-trimoxazole 0.8/4 mg/ml
الجلوكوز %5 1410
kompatibel
حقن Etoposide phosphate 5 mg/ml
حقن Cyclophosphamide 10 mg/ml
الجلوكوز %5 1410
kompatibel
حقن Etoposide phosphate 5 mg/ml
حقن Cytarabine 50 mg/ml
الجلوكوز %5 1410
kompatibel
حقن Etoposide phosphate 5 mg/ml
حقن Dacarbazine 4 mg/ml
الجلوكوز %5 1410
kompatibel
حقن Etoposide phosphate 5 mg/ml
حقن Dactinomycin 10 µg/ml
الجلوكوز %5 1410
kompatibel
حقن Etoposide phosphate 5 mg/ml
حقن Daunorubicin hydrochloride 1 mg/ml
الجلوكوز %5 1410
kompatibel
حقن Etoposide phosphate 5 mg/ml
حقن Dexamethasone sodium phosphate 1 mg/ml
الجلوكوز %5 1410
kompatibel
حقن Etoposide phosphate 5 mg/ml
حقن Diphenhydramine hydrochloride 2 mg/ml
الجلوكوز %5 1410
kompatibel
حقن Etoposide phosphate 5 mg/ml
حقن Dobutamine hydrochloride 4 mg/ml
الجلوكوز %5 1410
kompatibel
حقن Etoposide phosphate 5 mg/ml
حقن Dopamine hydrochloride 3.2 mg/ml
الجلوكوز %5 1410
kompatibel
حقن Etoposide phosphate 5 mg/ml
حقن Doripenem 5 mg/ml
كلوريد الصوديوم 0.9% 2262
kompatibel
حقن Etoposide phosphate 5 mg/ml
حقن Doripenem 5 mg/ml
الجلوكوز %5 2262
kompatibel
حقن Etoposide phosphate 5 mg/ml
حقن Doxorubicin hydrochloride 2 mg/ml
الجلوكوز %5 1410
kompatibel
حقن Etoposide phosphate 5 mg/ml
حقن Doxycycline hyclate 1 mg/ml
الجلوكوز %5 1410
kompatibel
حقن Etoposide phosphate 5 mg/ml
حقن Droperidol 0.4 mg/ml
الجلوكوز %5 1410
kompatibel
حقن Etoposide phosphate 5 mg/ml
حقن Enalaprilate 0.1 mg/ml
الجلوكوز %5 1410
kompatibel
حقن Etoposide phosphate 5 mg/ml
حقن Famotidine 2 mg/ml
الجلوكوز %5 1410
kompatibel
حقن Etoposide phosphate 5 mg/ml
حقن Floxuridine 3 mg/ml
الجلوكوز %5 1410
kompatibel
حقن Etoposide phosphate 5 mg/ml
حقن Fluconazole 2 mg/ml
الجلوكوز %5 1410
kompatibel
حقن Etoposide phosphate 5 mg/ml
حقن Fludarabine phosphate 1 mg/ml
الجلوكوز %5 1410
kompatibel
حقن Etoposide phosphate 5 mg/ml
حقن Fluorouracil 16 mg/ml
الجلوكوز %5 1410
kompatibel
حقن Etoposide phosphate 5 mg/ml
حقن Folinate calcium 2 mg/ml
الجلوكوز %5 1410
kompatibel
حقن Etoposide phosphate 5 mg/ml
حقن Furosemide 3 mg/ml
الجلوكوز %5 1410
kompatibel
حقن Etoposide phosphate 5 mg/ml
حقن Gallium nitrate 0.4 mg/ml
الجلوكوز %5 1410
kompatibel
حقن Etoposide phosphate 5 mg/ml
حقن Ganciclovir sodium 20 mg/ml
الجلوكوز %5 1410
kompatibel
حقن Etoposide phosphate 5 mg/ml
حقن Gemcitabine hydrochloride 10 mg/ml
كلوريد الصوديوم 0.9% 1423
kompatibel
حقن Etoposide phosphate 5 mg/ml
حقن Gentamicin sulfate 5 mg/ml
الجلوكوز %5 1410
kompatibel
حقن Etoposide phosphate 5 mg/ml
حقن Granisetron hydrochloride 0.05 mg/ml
الجلوكوز %5 1410
kompatibel
حقن Etoposide phosphate 5 mg/ml
حقن Haloperidol lactate 0.2 mg/ml
الجلوكوز %5 1410
kompatibel
حقن Etoposide phosphate 5 mg/ml
حقن Heparin sodium 100 UI/ml
الجلوكوز %5 1410
kompatibel
حقن Etoposide phosphate 5 mg/ml
حقن Hydrocortisone sodium succinate 1 mg/ml
الجلوكوز %5 1410
kompatibel
حقن Etoposide phosphate 5 mg/ml
حقن Hydromorphone hydrochloride 0.5 mg/ml
الجلوكوز %5 1410
kompatibel
حقن Etoposide phosphate 5 mg/ml
حقن Hydroxyzine dihydrochloride 4 mg/ml
الجلوكوز %5 1410
kompatibel
حقن Etoposide phosphate 5 mg/ml
حقن Idarubicin hydrochloride 0.5 mg/ml
الجلوكوز %5 1410
kompatibel
حقن Etoposide phosphate 5 mg/ml
حقن Ifosfamide 25 mg/ml
الجلوكوز %5 1410
تغير اللون بعد 4 ساعات غير متوافق
حقن Etoposide phosphate 5 mg/ml
حقن Imipenem - cilastatin sodium 10 mg/ml
كلوريد الصوديوم 0.9% 1410
هطول فوري غير متوافق
حقن Etoposide phosphate 5 mg/ml
حقن Lansoprazole 0.55 mg/ml
كلوريد الصوديوم 0.9% 1625
kompatibel
حقن Etoposide phosphate 5 mg/ml
حقن Linezolid 2 mg/ml
لا شيء 1925
kompatibel
حقن Etoposide phosphate
كلوريد الصوديوم 0.9% 3655
kompatibel
حقن Etoposide phosphate 5 mg/ml
حقن Lorazepam 0.5 mg/ml
الجلوكوز %5 1410
عدم توافق غير محدد غير متوافق
حقن Etoposide phosphate
حقن Magnesium sulfate
3838
kompatibel
حقن Etoposide phosphate 5 mg/ml
حقن Magnesium sulfate 100 mg/ml
الجلوكوز %5 1410
kompatibel
حقن Etoposide phosphate 5 mg/ml
حقن Mannitol 150 mg/ml
الجلوكوز %5 1410
kompatibel
حقن Etoposide phosphate 5 mg/ml
حقن Mesna 10 mg/ml
الجلوكوز %5 1410
kompatibel
حقن Etoposide phosphate 5 mg/ml
حقن Methotrexate sodium 15 mg/ml
الجلوكوز %5 1410
التعكر الفوري غير متوافق
حقن Etoposide phosphate 5 mg/ml
حقن Methylprednisolone sodium succinate 5 mg/ml
الجلوكوز %5 1410
kompatibel
حقن Etoposide phosphate 5 mg/ml
حقن Metoclopramide hydrochloride 5 mg/ml
الجلوكوز %5 1410
kompatibel
حقن Etoposide phosphate 5 mg/ml
حقن Metronidazole 5 mg/ml
الجلوكوز %5 1410
kompatibel
حقن Etoposide phosphate 5 mg/ml
حقن Minocycline hydrochloride 0.2 mg/ml
الجلوكوز %5 1410
تغير اللون بعد 4 ساعات غير متوافق
حقن Etoposide phosphate 5 mg/ml
حقن Mitomycin 0.5 mg/ml
الجلوكوز %5 1410
kompatibel
حقن Etoposide phosphate 5 mg/ml
حقن Mitoxantrone dihydrochloride 0.5 mg/ml
الجلوكوز %5 1410
kompatibel
حقن Etoposide phosphate 5 mg/ml
حقن Morphine sulfate 1 mg/ml
الجلوكوز %5 1410
kompatibel
حقن Etoposide phosphate 5 mg/ml
حقن Nalbuphine hydrochloride 10 mg/ml
الجلوكوز %5 1410
kompatibel
حقن Etoposide phosphate 5 mg/ml
حقن Netilmicin sulfate 5 mg/ml
الجلوكوز %5 1410
kompatibel
حقن Etoposide phosphate 5 mg/ml
حقن Ofloxacin 4 mg/ml
الجلوكوز %5 1410
kompatibel
حقن Etoposide phosphate 5 mg/ml
حقن Ondansetron hydrochloride 1 mg/ml
الجلوكوز %5 1410
kompatibel
حقن Etoposide phosphate 5 mg/ml
حقن Oxaliplatin 0,5 mg/ml
الجلوكوز %5 1662
kompatibel
حقن Etoposide phosphate 5 mg/ml
حقن Paclitaxel 1.2 mg/ml
الجلوكوز %5 1410
kompatibel
حقن Etoposide phosphate 5 mg/ml
حقن Pethidine hydrochloride 4 mg/ml
الجلوكوز %5 1410
kompatibel
حقن Etoposide phosphate 5 mg/ml
حقن Piperacillin sodium 40 mg/ml
الجلوكوز %5 1410
kompatibel
حقن Etoposide phosphate 5 mg/ml
حقن Piperacillin sodium / tazobactam 40/5 mg/ml
كلوريد الصوديوم 0.9% 1410
kompatibel
حقن Etoposide phosphate 5 mg/ml
حقن Potassium chloride 100 mEq/l
الجلوكوز %5 1410
التعكر الفوري غير متوافق
حقن Etoposide phosphate 5 mg/ml
حقن Prochlorperazine edysilate 0.5 mg/ml
الجلوكوز %5 1410
kompatibel
حقن Etoposide phosphate 5 mg/ml
حقن Promethazine hydrochloride 2 mg/ml
الجلوكوز %5 1410
kompatibel
حقن Etoposide phosphate 5 mg/ml
حقن Ranitidine hydrochloride 2 mg/ml
الجلوكوز %5 1410
kompatibel
حقن Etoposide phosphate 5 mg/ml
حقن Sodium bicarbonate 84 mg/ml
الجلوكوز %5 1410
kompatibel
حقن Etoposide phosphate 5 mg/ml
حقن Streptozocin 40 mg/ml
الجلوكوز %5 1410
تغير اللون بعد 4 ساعات غير متوافق
حقن Etoposide phosphate 5 mg/ml
حقن Teniposide 0.1 mg/ml
كلوريد الصوديوم 0.9% 1410
kompatibel
حقن Etoposide phosphate 5 mg/ml
حقن Thiotepa 1 mg/ml
الجلوكوز %5 1410
kompatibel
حقن Etoposide phosphate 5 mg/ml
حقن Ticarcillin / clavulanic acid 31 mg/ml
الجلوكوز %5 1410
kompatibel
حقن Etoposide phosphate 5 mg/ml
حقن Tobramycin sulfate 5 mg/ml
الجلوكوز %5 1410
kompatibel
حقن Etoposide phosphate 5 mg/ml
حقن Vancomycin hydrochloride 10 mg/ml
الجلوكوز %5 1410
kompatibel
حقن Etoposide phosphate 5 mg/ml
حقن Vinblastine sulfate 0.12 mg/ml
الجلوكوز %5 1410
kompatibel
حقن Etoposide phosphate 5 mg/ml
حقن Vincristine sulfate 0.05 mg/ml
الجلوكوز %5 1410
kompatibel
حقن Etoposide phosphate 5 mg/ml
حقن Zidovudine 4 mg/ml
الجلوكوز %5 1410

  Mentions Légales