Posledná aktualizácia :
17/12/2025
Protinádorová liečba   Etoposide phosphate  
Injekcia
Stabilita roztokov Stabilita v zmesiach Faktory ovplyvňujúce stabilitu Kompatibility spôsob podania Odkazy na literatúru PDF
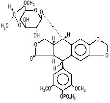
   Chemický vzorec  

Obchodný názov   Obchodný názov     

Obchodné názvy sú orientačné, a zloženie pomocných látok sa môže líšiť v závislosti od krajiny a výrobcu.

Etopofos Grécko, Rakúsko, Švédsko
Etopophos Belgicko, Bulharsko, Francúzsko, Holandsko, Izrael, Luxembursko, Nemecko, nový Zéland, Poľsko, Spojené štáty Americké, Švajčiarsko, Veľká Británia
Kompatibility   Injekcia   Kompatibility : Etoposide phosphate              
Toto okno zobrazuje kompatibility alebo inkombatibility, v prípade inkompatibility aj jej typ (vyzrážanie, zmena farby, zmena emulzie atď.). Tu vymenované kompatibility sú väčšinou len fyzikálne, chemická stabilita každej zo zlúčenín sa hodnotila len zriedkavo. Tieto zmesi sa skúmali za účelom možnosti súbežného podávania pacientovi cez infúznu spojku Y. Údaje sa nedajú použiť na prípravu zmesí vo vakoch alebo striekačkách. Taká informácia sa nachádza v okne „Stabilita v zmesiach“.
Zlúčenina rozpúšťadlo odkazy na lieteratúru
kompatibilný
Injekcia Etoposide phosphate 5 mg/ml
Injekcia Aciclovir sodium 7 mg/ml
5% glukóza 1410
kompatibilný
Injekcia Etoposide phosphate 5 mg/ml
Injekcia Amikacin sulfate 5 mg/ml
5% glukóza 1410
kompatibilný
Injekcia Etoposide phosphate 5 mg/ml
Injekcia Aminophylline 2.5 mg/ml
5% glukóza 1410
Okamžité zrážanie nezlučiteľný
Injekcia Etoposide phosphate 5 mg/ml
Injekcia Amphotericin B 0.6 mg/ml
5% glukóza 1410
kompatibilný
Injekcia Etoposide phosphate 5 mg/ml
Injekcia Ampicillin sodium 20 mg/ml
5% glukóza 1410
kompatibilný
Injekcia Etoposide phosphate 5 mg/ml
Injekcia Ampicillin sodium - sulbactam sodium 20/10 mg/ml
5% glukóza 1410
kompatibilný
Injekcia Etoposide phosphate 5 mg/ml
Injekcia Anidulafungin 0.5 mg/ml
5% glukóza 1982
kompatibilný
Injekcia Etoposide phosphate 5 mg/ml
Injekcia Aztreonam 40 mg/ml
5% glukóza 1410
kompatibilný
Injekcia Etoposide phosphate 5 mg/ml
Injekcia Bleomycin sulfate 1 mg/ml
0,9% chlorid sodný 1410
kompatibilný
Injekcia Etoposide phosphate 5 mg/ml
Injekcia Bumetanide 0.04 mg/ml
5% glukóza 1410
kompatibilný
Injekcia Etoposide phosphate 5 mg/ml
Injekcia Buprenorphine hydrochloride 0.04 mg/ml
5% glukóza 1410
kompatibilný
Injekcia Etoposide phosphate 5 mg/ml
Injekcia Butorphanol tartrate 0.04 mg/ml
5% glukóza 1410
Nešpecifikovaná nekompatibilita nezlučiteľný
Injekcia Etoposide phosphate
Injekcia Calcium gluconate
3644
kompatibilný
Injekcia Etoposide phosphate 5 mg/ml
Injekcia Calcium gluconate 40 mg/ml
5% glukóza 1410
kompatibilný
Injekcia Etoposide phosphate 5 mg/ml
Injekcia Carboplatin 5 mg/ml
5% glukóza 1410
kompatibilný
Injekcia Etoposide phosphate 5 mg/ml
Injekcia Carmustine 1.5 mg/ml
5% glukóza 1410
kompatibilný
Injekcia Etoposide phosphate 5 mg/ml
Injekcia Caspofungin acetate 0,7 mg/ml
0,9% chlorid sodný 2247
kompatibilný
Injekcia Etoposide phosphate 5 mg/ml
Injekcia Cefazolin sodium 20 mg/ml
5% glukóza 1410
Okamžitá zákal nezlučiteľný
Injekcia Etoposide phosphate 5 mg/ml
Injekcia Cefepime dihydrochloride 20 mg/ml
5% glukóza 1410
kompatibilný
Injekcia Etoposide phosphate 5 mg/ml
Injekcia Cefonicid sodium 20 mg/ml
5% glukóza 1410
kompatibilný
Injekcia Etoposide phosphate 5 mg/ml
Injekcia Cefoperazone sodium 40 mg/ml
5% glukóza 1410
kompatibilný
Injekcia Etoposide phosphate 5 mg/ml
Injekcia Cefotaxime sodium 20 mg/ml
5% glukóza 1410
kompatibilný
Injekcia Etoposide phosphate 5 mg/ml
Injekcia Cefoxitin sodium 20 mg/ml
5% glukóza 1410
kompatibilný
Injekcia Etoposide phosphate 5 mg/ml
Injekcia Ceftazidime 40 mg/ml
5% glukóza 1410
kompatibilný
Injekcia Etoposide phosphate 5 mg/ml
Injekcia Ceftriaxone disodium 20 mg/ml
5% glukóza 1410
kompatibilný
Injekcia Etoposide phosphate
5% glukóza 3655
nezlučiteľný
Injekcia Etoposide phosphate
Injekcia Calcium gluconate
4964
kompatibilný
Injekcia Etoposide phosphate 5 mg/ml
Injekcia Ceftizoxime sodium 20 mg/ml
5% glukóza 1410
kompatibilný
Injekcia Etoposide phosphate 5 mg/ml
Injekcia Cefuroxime sodium 30 mg/ml
5% glukóza 1410
Okamžitá zákal nezlučiteľný
Injekcia Etoposide phosphate 5 mg/ml
Injekcia Chlorpromazine hydrochloride 2 mg/ml
5% glukóza 1410
kompatibilný
Injekcia Etoposide phosphate 5 mg/ml
Injekcia Cimetidine hydrochloride 12 mg/ml
5% glukóza 1410
kompatibilný
Injekcia Etoposide phosphate 5 mg/ml
Injekcia Ciprofloxacin lactate 1 mg/ml
5% glukóza 1410
kompatibilný
Injekcia Etoposide phosphate 5 mg/ml
Injekcia Cisplatin 1 mg/ml
5% glukóza 1410
kompatibilný
Injekcia Etoposide phosphate 5 mg/ml
Injekcia Clindamycin phosphate 10 mg/ml
5% glukóza 1410
kompatibilný
Injekcia Etoposide phosphate 5 mg/ml
Injekcia Co-trimoxazole 0.8/4 mg/ml
5% glukóza 1410
kompatibilný
Injekcia Etoposide phosphate 5 mg/ml
Injekcia Cyclophosphamide 10 mg/ml
5% glukóza 1410
kompatibilný
Injekcia Etoposide phosphate 5 mg/ml
Injekcia Cytarabine 50 mg/ml
5% glukóza 1410
kompatibilný
Injekcia Etoposide phosphate 5 mg/ml
Injekcia Dacarbazine 4 mg/ml
5% glukóza 1410
kompatibilný
Injekcia Etoposide phosphate 5 mg/ml
Injekcia Dactinomycin 10 µg/ml
5% glukóza 1410
kompatibilný
Injekcia Etoposide phosphate 5 mg/ml
Injekcia Daunorubicin hydrochloride 1 mg/ml
5% glukóza 1410
kompatibilný
Injekcia Etoposide phosphate 5 mg/ml
Injekcia Dexamethasone sodium phosphate 1 mg/ml
5% glukóza 1410
kompatibilný
Injekcia Etoposide phosphate 5 mg/ml
Injekcia Diphenhydramine hydrochloride 2 mg/ml
5% glukóza 1410
kompatibilný
Injekcia Etoposide phosphate 5 mg/ml
Injekcia Dobutamine hydrochloride 4 mg/ml
5% glukóza 1410
kompatibilný
Injekcia Etoposide phosphate 5 mg/ml
Injekcia Dopamine hydrochloride 3.2 mg/ml
5% glukóza 1410
kompatibilný
Injekcia Etoposide phosphate 5 mg/ml
Injekcia Doripenem 5 mg/ml
0,9% chlorid sodný 2262
kompatibilný
Injekcia Etoposide phosphate 5 mg/ml
Injekcia Doripenem 5 mg/ml
5% glukóza 2262
kompatibilný
Injekcia Etoposide phosphate 5 mg/ml
Injekcia Doxorubicin hydrochloride 2 mg/ml
5% glukóza 1410
kompatibilný
Injekcia Etoposide phosphate 5 mg/ml
Injekcia Doxycycline hyclate 1 mg/ml
5% glukóza 1410
kompatibilný
Injekcia Etoposide phosphate 5 mg/ml
Injekcia Droperidol 0.4 mg/ml
5% glukóza 1410
kompatibilný
Injekcia Etoposide phosphate 5 mg/ml
Injekcia Enalaprilate 0.1 mg/ml
5% glukóza 1410
kompatibilný
Injekcia Etoposide phosphate 5 mg/ml
Injekcia Famotidine 2 mg/ml
5% glukóza 1410
kompatibilný
Injekcia Etoposide phosphate 5 mg/ml
Injekcia Floxuridine 3 mg/ml
5% glukóza 1410
kompatibilný
Injekcia Etoposide phosphate 5 mg/ml
Injekcia Fluconazole 2 mg/ml
5% glukóza 1410
kompatibilný
Injekcia Etoposide phosphate 5 mg/ml
Injekcia Fludarabine phosphate 1 mg/ml
5% glukóza 1410
kompatibilný
Injekcia Etoposide phosphate 5 mg/ml
Injekcia Fluorouracil 16 mg/ml
5% glukóza 1410
kompatibilný
Injekcia Etoposide phosphate 5 mg/ml
Injekcia Folinate calcium 2 mg/ml
5% glukóza 1410
kompatibilný
Injekcia Etoposide phosphate 5 mg/ml
Injekcia Furosemide 3 mg/ml
5% glukóza 1410
kompatibilný
Injekcia Etoposide phosphate 5 mg/ml
Injekcia Gallium nitrate 0.4 mg/ml
5% glukóza 1410
kompatibilný
Injekcia Etoposide phosphate 5 mg/ml
Injekcia Ganciclovir sodium 20 mg/ml
5% glukóza 1410
kompatibilný
Injekcia Etoposide phosphate 5 mg/ml
Injekcia Gemcitabine hydrochloride 10 mg/ml
0,9% chlorid sodný 1423
kompatibilný
Injekcia Etoposide phosphate 5 mg/ml
Injekcia Gentamicin sulfate 5 mg/ml
5% glukóza 1410
kompatibilný
Injekcia Etoposide phosphate 5 mg/ml
Injekcia Granisetron hydrochloride 0.05 mg/ml
5% glukóza 1410
kompatibilný
Injekcia Etoposide phosphate 5 mg/ml
Injekcia Haloperidol lactate 0.2 mg/ml
5% glukóza 1410
kompatibilný
Injekcia Etoposide phosphate 5 mg/ml
Injekcia Heparin sodium 100 UI/ml
5% glukóza 1410
kompatibilný
Injekcia Etoposide phosphate 5 mg/ml
Injekcia Hydrocortisone sodium succinate 1 mg/ml
5% glukóza 1410
kompatibilný
Injekcia Etoposide phosphate 5 mg/ml
Injekcia Hydromorphone hydrochloride 0.5 mg/ml
5% glukóza 1410
kompatibilný
Injekcia Etoposide phosphate 5 mg/ml
Injekcia Hydroxyzine dihydrochloride 4 mg/ml
5% glukóza 1410
kompatibilný
Injekcia Etoposide phosphate 5 mg/ml
Injekcia Idarubicin hydrochloride 0.5 mg/ml
5% glukóza 1410
kompatibilný
Injekcia Etoposide phosphate 5 mg/ml
Injekcia Ifosfamide 25 mg/ml
5% glukóza 1410
Zmena farby po 4 hodinách nezlučiteľný
Injekcia Etoposide phosphate 5 mg/ml
Injekcia Imipenem - cilastatin sodium 10 mg/ml
0,9% chlorid sodný 1410
Okamžité zrážanie nezlučiteľný
Injekcia Etoposide phosphate 5 mg/ml
Injekcia Lansoprazole 0.55 mg/ml
0,9% chlorid sodný 1625
kompatibilný
Injekcia Etoposide phosphate 5 mg/ml
Injekcia Linezolid 2 mg/ml
Žiadny 1925
kompatibilný
Injekcia Etoposide phosphate
0,9% chlorid sodný 3655
kompatibilný
Injekcia Etoposide phosphate 5 mg/ml
Injekcia Lorazepam 0.5 mg/ml
5% glukóza 1410
Nešpecifikovaná nekompatibilita nezlučiteľný
Injekcia Etoposide phosphate
Injekcia Magnesium sulfate
3838
kompatibilný
Injekcia Etoposide phosphate 5 mg/ml
Injekcia Magnesium sulfate 100 mg/ml
5% glukóza 1410
kompatibilný
Injekcia Etoposide phosphate 5 mg/ml
Injekcia Mannitol 150 mg/ml
5% glukóza 1410
kompatibilný
Injekcia Etoposide phosphate 5 mg/ml
Injekcia Mesna 10 mg/ml
5% glukóza 1410
kompatibilný
Injekcia Etoposide phosphate 5 mg/ml
Injekcia Methotrexate sodium 15 mg/ml
5% glukóza 1410
Okamžitá zákal nezlučiteľný
Injekcia Etoposide phosphate 5 mg/ml
Injekcia Methylprednisolone sodium succinate 5 mg/ml
5% glukóza 1410
kompatibilný
Injekcia Etoposide phosphate 5 mg/ml
Injekcia Metoclopramide hydrochloride 5 mg/ml
5% glukóza 1410
kompatibilný
Injekcia Etoposide phosphate 5 mg/ml
Injekcia Metronidazole 5 mg/ml
5% glukóza 1410
kompatibilný
Injekcia Etoposide phosphate 5 mg/ml
Injekcia Minocycline hydrochloride 0.2 mg/ml
5% glukóza 1410
Zmena farby po 4 hodinách nezlučiteľný
Injekcia Etoposide phosphate 5 mg/ml
Injekcia Mitomycin 0.5 mg/ml
5% glukóza 1410
kompatibilný
Injekcia Etoposide phosphate 5 mg/ml
Injekcia Mitoxantrone dihydrochloride 0.5 mg/ml
5% glukóza 1410
kompatibilný
Injekcia Etoposide phosphate 5 mg/ml
Injekcia Morphine sulfate 1 mg/ml
5% glukóza 1410
kompatibilný
Injekcia Etoposide phosphate 5 mg/ml
Injekcia Nalbuphine hydrochloride 10 mg/ml
5% glukóza 1410
kompatibilný
Injekcia Etoposide phosphate 5 mg/ml
Injekcia Netilmicin sulfate 5 mg/ml
5% glukóza 1410
kompatibilný
Injekcia Etoposide phosphate 5 mg/ml
Injekcia Ofloxacin 4 mg/ml
5% glukóza 1410
kompatibilný
Injekcia Etoposide phosphate 5 mg/ml
Injekcia Ondansetron hydrochloride 1 mg/ml
5% glukóza 1410
kompatibilný
Injekcia Etoposide phosphate 5 mg/ml
Injekcia Oxaliplatin 0,5 mg/ml
5% glukóza 1662
kompatibilný
Injekcia Etoposide phosphate 5 mg/ml
Injekcia Paclitaxel 1.2 mg/ml
5% glukóza 1410
kompatibilný
Injekcia Etoposide phosphate 5 mg/ml
Injekcia Pethidine hydrochloride 4 mg/ml
5% glukóza 1410
kompatibilný
Injekcia Etoposide phosphate 5 mg/ml
Injekcia Piperacillin sodium 40 mg/ml
5% glukóza 1410
kompatibilný
Injekcia Etoposide phosphate 5 mg/ml
Injekcia Piperacillin sodium / tazobactam 40/5 mg/ml
0,9% chlorid sodný 1410
kompatibilný
Injekcia Etoposide phosphate 5 mg/ml
Injekcia Potassium chloride 100 mEq/l
5% glukóza 1410
Okamžitá zákal nezlučiteľný
Injekcia Etoposide phosphate 5 mg/ml
Injekcia Prochlorperazine edysilate 0.5 mg/ml
5% glukóza 1410
kompatibilný
Injekcia Etoposide phosphate 5 mg/ml
Injekcia Promethazine hydrochloride 2 mg/ml
5% glukóza 1410
kompatibilný
Injekcia Etoposide phosphate 5 mg/ml
Injekcia Ranitidine hydrochloride 2 mg/ml
5% glukóza 1410
kompatibilný
Injekcia Etoposide phosphate 5 mg/ml
Injekcia Sodium bicarbonate 84 mg/ml
5% glukóza 1410
kompatibilný
Injekcia Etoposide phosphate 5 mg/ml
Injekcia Streptozocin 40 mg/ml
5% glukóza 1410
Zmena farby po 4 hodinách nezlučiteľný
Injekcia Etoposide phosphate 5 mg/ml
Injekcia Teniposide 0.1 mg/ml
0,9% chlorid sodný 1410
kompatibilný
Injekcia Etoposide phosphate 5 mg/ml
Injekcia Thiotepa 1 mg/ml
5% glukóza 1410
kompatibilný
Injekcia Etoposide phosphate 5 mg/ml
Injekcia Ticarcillin / clavulanic acid 31 mg/ml
5% glukóza 1410
kompatibilný
Injekcia Etoposide phosphate 5 mg/ml
Injekcia Tobramycin sulfate 5 mg/ml
5% glukóza 1410
kompatibilný
Injekcia Etoposide phosphate 5 mg/ml
Injekcia Vancomycin hydrochloride 10 mg/ml
5% glukóza 1410
kompatibilný
Injekcia Etoposide phosphate 5 mg/ml
Injekcia Vinblastine sulfate 0.12 mg/ml
5% glukóza 1410
kompatibilný
Injekcia Etoposide phosphate 5 mg/ml
Injekcia Vincristine sulfate 0.05 mg/ml
5% glukóza 1410
kompatibilný
Injekcia Etoposide phosphate 5 mg/ml
Injekcia Zidovudine 4 mg/ml
5% glukóza 1410

  Mentions Légales