Ultimele actualizari :
18/03/2026
Citostatic   Etoposide phosphate  
Injectabil
Stabilitatea in solutie Stabilitatea in amestec Factorii care influenteaza stabilitatea Compatibilitate Microunde Bibliografie pdf
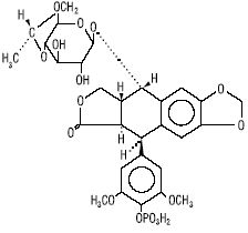
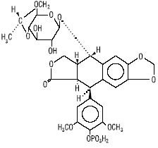
   Formula chimica  

Denumirea comerciala   Denumirea comerciala     

Trade names are indicative and excipients composition can be different depending on the country and manufacturers

Etopofos Austria, Grecia, Suedia
Etopophos Belgia, Bulgaria, Elvetia, Franta, Germania, Israel, Luxemburg, Marea Britanie, noua Zeelandă, Olanda, Polonia, SUA
Compatibilitate   Injectabil   Compatibilitate : Etoposide phosphate              
Acest ecran indică compatibilitățile sau incompatibilitățile cu, în acest caz, tipul de incompatibilitate (precipitații, schimbarea culorii, modificarea unei emulsii etc.). Compatibilitățile prezentate aici sunt în mare parte numai fizice, stabilitatea chimică a fiecărei molecule fiind rareori evaluată. Evaluarea acestor amestecuri a fost studiată pentru a lua în considerare posibilitatea administrării site-ului Y la pacient. Aceste date nu pot fi utilizate pentru prepararea în prealabil a amestecurilor în pungi sau seringi. Acest tip de informații este disponibil în ecranul „Stabilitate în amestec».
Molecula (substanta activa) Solvent Bibiografie
Compatibil
Injectabil Etoposide phosphate 5 mg/ml
Injectabil Aciclovir sodium 7 mg/ml
Glucoza 5% 1410
Compatibil
Injectabil Etoposide phosphate 5 mg/ml
Injectabil Amikacin sulfate 5 mg/ml
Glucoza 5% 1410
Compatibil
Injectabil Etoposide phosphate 5 mg/ml
Injectabil Aminophylline 2.5 mg/ml
Glucoza 5% 1410
Precipitații imediate Incompatibil
Injectabil Etoposide phosphate 5 mg/ml
Injectabil Amphotericin B 0.6 mg/ml
Glucoza 5% 1410
Compatibil
Injectabil Etoposide phosphate 5 mg/ml
Injectabil Ampicillin sodium 20 mg/ml
Glucoza 5% 1410
Compatibil
Injectabil Etoposide phosphate 5 mg/ml
Injectabil Ampicillin sodium - sulbactam sodium 20/10 mg/ml
Glucoza 5% 1410
Compatibil
Injectabil Etoposide phosphate 5 mg/ml
Injectabil Anidulafungin 0.5 mg/ml
Glucoza 5% 1982
Compatibil
Injectabil Etoposide phosphate 5 mg/ml
Injectabil Aztreonam 40 mg/ml
Glucoza 5% 1410
Compatibil
Injectabil Etoposide phosphate 5 mg/ml
Injectabil Bleomycin sulfate 1 mg/ml
clorura de sodiu 0,9% 1410
Compatibil
Injectabil Etoposide phosphate 5 mg/ml
Injectabil Bumetanide 0.04 mg/ml
Glucoza 5% 1410
Compatibil
Injectabil Etoposide phosphate 5 mg/ml
Injectabil Buprenorphine hydrochloride 0.04 mg/ml
Glucoza 5% 1410
Compatibil
Injectabil Etoposide phosphate 5 mg/ml
Injectabil Butorphanol tartrate 0.04 mg/ml
Glucoza 5% 1410
Incompatibilitate nespecificată Incompatibil
Injectabil Etoposide phosphate
Injectabil Calcium gluconate
3644
Compatibil
Injectabil Etoposide phosphate 5 mg/ml
Injectabil Calcium gluconate 40 mg/ml
Glucoza 5% 1410
Compatibil
Injectabil Etoposide phosphate 5 mg/ml
Injectabil Carboplatin 5 mg/ml
Glucoza 5% 1410
Compatibil
Injectabil Etoposide phosphate 5 mg/ml
Injectabil Carmustine 1.5 mg/ml
Glucoza 5% 1410
Compatibil
Injectabil Etoposide phosphate 5 mg/ml
Injectabil Caspofungin acetate 0,7 mg/ml
clorura de sodiu 0,9% 2247
Compatibil
Injectabil Etoposide phosphate 5 mg/ml
Injectabil Cefazolin sodium 20 mg/ml
Glucoza 5% 1410
Turbiditate imediată Incompatibil
Injectabil Etoposide phosphate 5 mg/ml
Injectabil Cefepime dihydrochloride 20 mg/ml
Glucoza 5% 1410
Compatibil
Injectabil Etoposide phosphate 5 mg/ml
Injectabil Cefonicid sodium 20 mg/ml
Glucoza 5% 1410
Compatibil
Injectabil Etoposide phosphate 5 mg/ml
Injectabil Cefoperazone sodium 40 mg/ml
Glucoza 5% 1410
Compatibil
Injectabil Etoposide phosphate 5 mg/ml
Injectabil Cefotaxime sodium 20 mg/ml
Glucoza 5% 1410
Compatibil
Injectabil Etoposide phosphate 5 mg/ml
Injectabil Cefoxitin sodium 20 mg/ml
Glucoza 5% 1410
Compatibil
Injectabil Etoposide phosphate 5 mg/ml
Injectabil Ceftazidime 40 mg/ml
Glucoza 5% 1410
Compatibil
Injectabil Etoposide phosphate 5 mg/ml
Injectabil Ceftriaxone disodium 20 mg/ml
Glucoza 5% 1410
Compatibil
Injectabil Etoposide phosphate
Glucoza 5% 3655
Incompatibil
Injectabil Etoposide phosphate
Injectabil Calcium gluconate
4964
Compatibil
Injectabil Etoposide phosphate 5 mg/ml
Injectabil Ceftizoxime sodium 20 mg/ml
Glucoza 5% 1410
Compatibil
Injectabil Etoposide phosphate 5 mg/ml
Injectabil Cefuroxime sodium 30 mg/ml
Glucoza 5% 1410
Turbiditate imediată Incompatibil
Injectabil Etoposide phosphate 5 mg/ml
Injectabil Chlorpromazine hydrochloride 2 mg/ml
Glucoza 5% 1410
Compatibil
Injectabil Etoposide phosphate 5 mg/ml
Injectabil Cimetidine hydrochloride 12 mg/ml
Glucoza 5% 1410
Compatibil
Injectabil Etoposide phosphate 5 mg/ml
Injectabil Ciprofloxacin lactate 1 mg/ml
Glucoza 5% 1410
Compatibil
Injectabil Etoposide phosphate 5 mg/ml
Injectabil Cisplatin 1 mg/ml
Glucoza 5% 1410
Compatibil
Injectabil Etoposide phosphate 5 mg/ml
Injectabil Clindamycin phosphate 10 mg/ml
Glucoza 5% 1410
Compatibil
Injectabil Etoposide phosphate 5 mg/ml
Injectabil Co-trimoxazole 0.8/4 mg/ml
Glucoza 5% 1410
Compatibil
Injectabil Etoposide phosphate 5 mg/ml
Injectabil Cyclophosphamide 10 mg/ml
Glucoza 5% 1410
Compatibil
Injectabil Etoposide phosphate 5 mg/ml
Injectabil Cytarabine 50 mg/ml
Glucoza 5% 1410
Compatibil
Injectabil Etoposide phosphate 5 mg/ml
Injectabil Dacarbazine 4 mg/ml
Glucoza 5% 1410
Compatibil
Injectabil Etoposide phosphate 5 mg/ml
Injectabil Dactinomycin 10 µg/ml
Glucoza 5% 1410
Compatibil
Injectabil Etoposide phosphate 5 mg/ml
Injectabil Daunorubicin hydrochloride 1 mg/ml
Glucoza 5% 1410
Compatibil
Injectabil Etoposide phosphate 5 mg/ml
Injectabil Dexamethasone sodium phosphate 1 mg/ml
Glucoza 5% 1410
Compatibil
Injectabil Etoposide phosphate 5 mg/ml
Injectabil Diphenhydramine hydrochloride 2 mg/ml
Glucoza 5% 1410
Compatibil
Injectabil Etoposide phosphate 5 mg/ml
Injectabil Dobutamine hydrochloride 4 mg/ml
Glucoza 5% 1410
Compatibil
Injectabil Etoposide phosphate 5 mg/ml
Injectabil Dopamine hydrochloride 3.2 mg/ml
Glucoza 5% 1410
Compatibil
Injectabil Etoposide phosphate 5 mg/ml
Injectabil Doripenem 5 mg/ml
clorura de sodiu 0,9% 2262
Compatibil
Injectabil Etoposide phosphate 5 mg/ml
Injectabil Doripenem 5 mg/ml
Glucoza 5% 2262
Compatibil
Injectabil Etoposide phosphate 5 mg/ml
Injectabil Doxorubicin hydrochloride 2 mg/ml
Glucoza 5% 1410
Compatibil
Injectabil Etoposide phosphate 5 mg/ml
Injectabil Doxycycline hyclate 1 mg/ml
Glucoza 5% 1410
Compatibil
Injectabil Etoposide phosphate 5 mg/ml
Injectabil Droperidol 0.4 mg/ml
Glucoza 5% 1410
Compatibil
Injectabil Etoposide phosphate 5 mg/ml
Injectabil Enalaprilate 0.1 mg/ml
Glucoza 5% 1410
Compatibil
Injectabil Etoposide phosphate 5 mg/ml
Injectabil Famotidine 2 mg/ml
Glucoza 5% 1410
Compatibil
Injectabil Etoposide phosphate 5 mg/ml
Injectabil Floxuridine 3 mg/ml
Glucoza 5% 1410
Compatibil
Injectabil Etoposide phosphate 5 mg/ml
Injectabil Fluconazole 2 mg/ml
Glucoza 5% 1410
Compatibil
Injectabil Etoposide phosphate 5 mg/ml
Injectabil Fludarabine phosphate 1 mg/ml
Glucoza 5% 1410
Compatibil
Injectabil Etoposide phosphate 5 mg/ml
Injectabil Fluorouracil 16 mg/ml
Glucoza 5% 1410
Compatibil
Injectabil Etoposide phosphate 5 mg/ml
Injectabil Folinate calcium 2 mg/ml
Glucoza 5% 1410
Compatibil
Injectabil Etoposide phosphate 5 mg/ml
Injectabil Furosemide 3 mg/ml
Glucoza 5% 1410
Compatibil
Injectabil Etoposide phosphate 5 mg/ml
Injectabil Gallium nitrate 0.4 mg/ml
Glucoza 5% 1410
Compatibil
Injectabil Etoposide phosphate 5 mg/ml
Injectabil Ganciclovir sodium 20 mg/ml
Glucoza 5% 1410
Compatibil
Injectabil Etoposide phosphate 5 mg/ml
Injectabil Gemcitabine hydrochloride 10 mg/ml
clorura de sodiu 0,9% 1423
Compatibil
Injectabil Etoposide phosphate 5 mg/ml
Injectabil Gentamicin sulfate 5 mg/ml
Glucoza 5% 1410
Compatibil
Injectabil Etoposide phosphate 5 mg/ml
Injectabil Granisetron hydrochloride 0.05 mg/ml
Glucoza 5% 1410
Compatibil
Injectabil Etoposide phosphate 5 mg/ml
Injectabil Haloperidol lactate 0.2 mg/ml
Glucoza 5% 1410
Compatibil
Injectabil Etoposide phosphate 5 mg/ml
Injectabil Heparin sodium 100 UI/ml
Glucoza 5% 1410
Compatibil
Injectabil Etoposide phosphate 5 mg/ml
Injectabil Hydrocortisone sodium succinate 1 mg/ml
Glucoza 5% 1410
Compatibil
Injectabil Etoposide phosphate 5 mg/ml
Injectabil Hydromorphone hydrochloride 0.5 mg/ml
Glucoza 5% 1410
Compatibil
Injectabil Etoposide phosphate 5 mg/ml
Injectabil Hydroxyzine dihydrochloride 4 mg/ml
Glucoza 5% 1410
Compatibil
Injectabil Etoposide phosphate 5 mg/ml
Injectabil Idarubicin hydrochloride 0.5 mg/ml
Glucoza 5% 1410
Compatibil
Injectabil Etoposide phosphate 5 mg/ml
Injectabil Ifosfamide 25 mg/ml
Glucoza 5% 1410
Schimbarea culorii după 4 ore Incompatibil
Injectabil Etoposide phosphate 5 mg/ml
Injectabil Imipenem - cilastatin sodium 10 mg/ml
clorura de sodiu 0,9% 1410
Precipitații imediate Incompatibil
Injectabil Etoposide phosphate 5 mg/ml
Injectabil Lansoprazole 0.55 mg/ml
clorura de sodiu 0,9% 1625
Compatibil
Injectabil Etoposide phosphate 5 mg/ml
Injectabil Linezolid 2 mg/ml
fara 1925
Compatibil
Injectabil Etoposide phosphate
clorura de sodiu 0,9% 3655
Compatibil
Injectabil Etoposide phosphate 5 mg/ml
Injectabil Lorazepam 0.5 mg/ml
Glucoza 5% 1410
Incompatibilitate nespecificată Incompatibil
Injectabil Etoposide phosphate
Injectabil Magnesium sulfate
3838
Compatibil
Injectabil Etoposide phosphate 5 mg/ml
Injectabil Magnesium sulfate 100 mg/ml
Glucoza 5% 1410
Compatibil
Injectabil Etoposide phosphate 5 mg/ml
Injectabil Mannitol 150 mg/ml
Glucoza 5% 1410
Compatibil
Injectabil Etoposide phosphate 5 mg/ml
Injectabil Mesna 10 mg/ml
Glucoza 5% 1410
Compatibil
Injectabil Etoposide phosphate 5 mg/ml
Injectabil Methotrexate sodium 15 mg/ml
Glucoza 5% 1410
Turbiditate imediată Incompatibil
Injectabil Etoposide phosphate 5 mg/ml
Injectabil Methylprednisolone sodium succinate 5 mg/ml
Glucoza 5% 1410
Compatibil
Injectabil Etoposide phosphate 5 mg/ml
Injectabil Metoclopramide hydrochloride 5 mg/ml
Glucoza 5% 1410
Compatibil
Injectabil Etoposide phosphate 5 mg/ml
Injectabil Metronidazole 5 mg/ml
Glucoza 5% 1410
Compatibil
Injectabil Etoposide phosphate 5 mg/ml
Injectabil Minocycline hydrochloride 0.2 mg/ml
Glucoza 5% 1410
Schimbarea culorii după 4 ore Incompatibil
Injectabil Etoposide phosphate 5 mg/ml
Injectabil Mitomycin 0.5 mg/ml
Glucoza 5% 1410
Compatibil
Injectabil Etoposide phosphate 5 mg/ml
Injectabil Mitoxantrone dihydrochloride 0.5 mg/ml
Glucoza 5% 1410
Compatibil
Injectabil Etoposide phosphate 5 mg/ml
Injectabil Morphine sulfate 1 mg/ml
Glucoza 5% 1410
Compatibil
Injectabil Etoposide phosphate 5 mg/ml
Injectabil Nalbuphine hydrochloride 10 mg/ml
Glucoza 5% 1410
Compatibil
Injectabil Etoposide phosphate 5 mg/ml
Injectabil Netilmicin sulfate 5 mg/ml
Glucoza 5% 1410
Compatibil
Injectabil Etoposide phosphate 5 mg/ml
Injectabil Ofloxacin 4 mg/ml
Glucoza 5% 1410
Compatibil
Injectabil Etoposide phosphate 5 mg/ml
Injectabil Ondansetron hydrochloride 1 mg/ml
Glucoza 5% 1410
Compatibil
Injectabil Etoposide phosphate 5 mg/ml
Injectabil Oxaliplatin 0,5 mg/ml
Glucoza 5% 1662
Compatibil
Injectabil Etoposide phosphate 5 mg/ml
Injectabil Paclitaxel 1.2 mg/ml
Glucoza 5% 1410
Compatibil
Injectabil Etoposide phosphate 5 mg/ml
Injectabil Pethidine hydrochloride 4 mg/ml
Glucoza 5% 1410
Compatibil
Injectabil Etoposide phosphate 5 mg/ml
Injectabil Piperacillin sodium 40 mg/ml
Glucoza 5% 1410
Compatibil
Injectabil Etoposide phosphate 5 mg/ml
Injectabil Piperacillin sodium / tazobactam 40/5 mg/ml
clorura de sodiu 0,9% 1410
Compatibil
Injectabil Etoposide phosphate 5 mg/ml
Injectabil Potassium chloride 100 mEq/l
Glucoza 5% 1410
Turbiditate imediată Incompatibil
Injectabil Etoposide phosphate 5 mg/ml
Injectabil Prochlorperazine edysilate 0.5 mg/ml
Glucoza 5% 1410
Compatibil
Injectabil Etoposide phosphate 5 mg/ml
Injectabil Promethazine hydrochloride 2 mg/ml
Glucoza 5% 1410
Compatibil
Injectabil Etoposide phosphate 5 mg/ml
Injectabil Ranitidine hydrochloride 2 mg/ml
Glucoza 5% 1410
Compatibil
Injectabil Etoposide phosphate 5 mg/ml
Injectabil Sodium bicarbonate 84 mg/ml
Glucoza 5% 1410
Compatibil
Injectabil Etoposide phosphate 5 mg/ml
Injectabil Streptozocin 40 mg/ml
Glucoza 5% 1410
Schimbarea culorii după 4 ore Incompatibil
Injectabil Etoposide phosphate 5 mg/ml
Injectabil Teniposide 0.1 mg/ml
clorura de sodiu 0,9% 1410
Compatibil
Injectabil Etoposide phosphate 5 mg/ml
Injectabil Thiotepa 1 mg/ml
Glucoza 5% 1410
Compatibil
Injectabil Etoposide phosphate 5 mg/ml
Injectabil Ticarcillin / clavulanic acid 31 mg/ml
Glucoza 5% 1410
Compatibil
Injectabil Etoposide phosphate 5 mg/ml
Injectabil Tobramycin sulfate 5 mg/ml
Glucoza 5% 1410
Compatibil
Injectabil Etoposide phosphate 5 mg/ml
Injectabil Vancomycin hydrochloride 10 mg/ml
Glucoza 5% 1410
Compatibil
Injectabil Etoposide phosphate 5 mg/ml
Injectabil Vinblastine sulfate 0.12 mg/ml
Glucoza 5% 1410
Compatibil
Injectabil Etoposide phosphate 5 mg/ml
Injectabil Vincristine sulfate 0.05 mg/ml
Glucoza 5% 1410
Compatibil
Injectabil Etoposide phosphate 5 mg/ml
Injectabil Zidovudine 4 mg/ml
Glucoza 5% 1410

  Mentions Légales