Última actualización :
18/03/2026
fármacos contra el cáncer   Etoposide phosphate  
Inyectables
Estabilidad en solucion Estabilidad en mezcla Factores que influyen sobre la estabilidad Compatibilidades método de inyección Bibliografía pdf
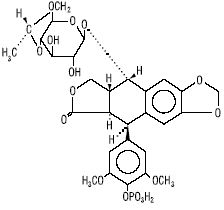
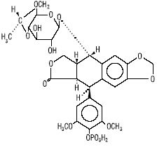
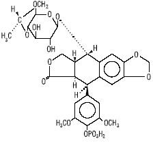
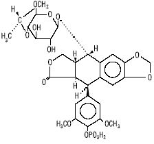
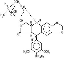
   Estructura química  

Nombre comercial   Nombre comercial     

Los nombres comerciales son orientativos y los excipientes de la formulación pueden ser distintos dependiendo del país y del laboratorio fabricante.

Etopofos Austria, Grecia, Suecia
Etopophos Alemania, Bélgica, Bulgaria, Estados Unidos de América, Francia, Gran Bretaña, Israel, Luxemburgo, Nueva Zelanda, Países Bajos, Polonia, Suiza
Compatibilidades   Inyectables   Compatibilidades : Etoposide phosphate              
Esta pantalla muestra las compatibilidades o incompatibilidades, así como el tipo de incompatibilidad (precipitación, cambio de color, modificación de una emulsión, etc). Las compatibilidades que se recogen aquí son fundamentalmente físicas, mostrando raramente la estabilidad química de la molécula. La evaluación de estas mezclas se estudió con el fin de de comprobar la posibilidad de administración en Y al paciente. Estos datos no pueden utilizarse en el caso de la preparación de mezclas dentro de bolsas o jeringas. Este tipo de información está disponible en la pantalla “Estabilidad en mezcla”.
Molécula Solvente Bibliografía
Compatible
Inyectables Etoposide phosphate 5 mg/ml
Inyectables Aciclovir sodium 7 mg/ml
Glucosa 5% 1410
Compatible
Inyectables Etoposide phosphate 5 mg/ml
Inyectables Amikacin sulfate 5 mg/ml
Glucosa 5% 1410
Compatible
Inyectables Etoposide phosphate 5 mg/ml
Inyectables Aminophylline 2.5 mg/ml
Glucosa 5% 1410
Precipitación inmediata Incompatible
Inyectables Etoposide phosphate 5 mg/ml
Inyectables Amphotericin B 0.6 mg/ml
Glucosa 5% 1410
Compatible
Inyectables Etoposide phosphate 5 mg/ml
Inyectables Ampicillin sodium 20 mg/ml
Glucosa 5% 1410
Compatible
Inyectables Etoposide phosphate 5 mg/ml
Inyectables Ampicillin sodium - sulbactam sodium 20/10 mg/ml
Glucosa 5% 1410
Compatible
Inyectables Etoposide phosphate 5 mg/ml
Inyectables Anidulafungin 0.5 mg/ml
Glucosa 5% 1982
Compatible
Inyectables Etoposide phosphate 5 mg/ml
Inyectables Aztreonam 40 mg/ml
Glucosa 5% 1410
Compatible
Inyectables Etoposide phosphate 5 mg/ml
Inyectables Bleomycin sulfate 1 mg/ml
Cloruro de sodio 0,9% 1410
Compatible
Inyectables Etoposide phosphate 5 mg/ml
Inyectables Bumetanide 0.04 mg/ml
Glucosa 5% 1410
Compatible
Inyectables Etoposide phosphate 5 mg/ml
Inyectables Buprenorphine hydrochloride 0.04 mg/ml
Glucosa 5% 1410
Compatible
Inyectables Etoposide phosphate 5 mg/ml
Inyectables Butorphanol tartrate 0.04 mg/ml
Glucosa 5% 1410
Incompatibilidad no especificada Incompatible
Inyectables Etoposide phosphate
Inyectables Calcium gluconate
3644
Compatible
Inyectables Etoposide phosphate 5 mg/ml
Inyectables Calcium gluconate 40 mg/ml
Glucosa 5% 1410
Compatible
Inyectables Etoposide phosphate 5 mg/ml
Inyectables Carboplatin 5 mg/ml
Glucosa 5% 1410
Compatible
Inyectables Etoposide phosphate 5 mg/ml
Inyectables Carmustine 1.5 mg/ml
Glucosa 5% 1410
Compatible
Inyectables Etoposide phosphate 5 mg/ml
Inyectables Caspofungin acetate 0,7 mg/ml
Cloruro de sodio 0,9% 2247
Compatible
Inyectables Etoposide phosphate 5 mg/ml
Inyectables Cefazolin sodium 20 mg/ml
Glucosa 5% 1410
Turbidez inmediata Incompatible
Inyectables Etoposide phosphate 5 mg/ml
Inyectables Cefepime dihydrochloride 20 mg/ml
Glucosa 5% 1410
Compatible
Inyectables Etoposide phosphate 5 mg/ml
Inyectables Cefonicid sodium 20 mg/ml
Glucosa 5% 1410
Compatible
Inyectables Etoposide phosphate 5 mg/ml
Inyectables Cefoperazone sodium 40 mg/ml
Glucosa 5% 1410
Compatible
Inyectables Etoposide phosphate 5 mg/ml
Inyectables Cefotaxime sodium 20 mg/ml
Glucosa 5% 1410
Compatible
Inyectables Etoposide phosphate 5 mg/ml
Inyectables Cefoxitin sodium 20 mg/ml
Glucosa 5% 1410
Compatible
Inyectables Etoposide phosphate 5 mg/ml
Inyectables Ceftazidime 40 mg/ml
Glucosa 5% 1410
Compatible
Inyectables Etoposide phosphate 5 mg/ml
Inyectables Ceftriaxone disodium 20 mg/ml
Glucosa 5% 1410
Compatible
Inyectables Etoposide phosphate
Glucosa 5% 3655
Incompatible
Inyectables Etoposide phosphate
Inyectables Calcium gluconate
4964
Compatible
Inyectables Etoposide phosphate 5 mg/ml
Inyectables Ceftizoxime sodium 20 mg/ml
Glucosa 5% 1410
Compatible
Inyectables Etoposide phosphate 5 mg/ml
Inyectables Cefuroxime sodium 30 mg/ml
Glucosa 5% 1410
Turbidez inmediata Incompatible
Inyectables Etoposide phosphate 5 mg/ml
Inyectables Chlorpromazine hydrochloride 2 mg/ml
Glucosa 5% 1410
Compatible
Inyectables Etoposide phosphate 5 mg/ml
Inyectables Cimetidine hydrochloride 12 mg/ml
Glucosa 5% 1410
Compatible
Inyectables Etoposide phosphate 5 mg/ml
Inyectables Ciprofloxacin lactate 1 mg/ml
Glucosa 5% 1410
Compatible
Inyectables Etoposide phosphate 5 mg/ml
Inyectables Cisplatin 1 mg/ml
Glucosa 5% 1410
Compatible
Inyectables Etoposide phosphate 5 mg/ml
Inyectables Clindamycin phosphate 10 mg/ml
Glucosa 5% 1410
Compatible
Inyectables Etoposide phosphate 5 mg/ml
Inyectables Co-trimoxazole 0.8/4 mg/ml
Glucosa 5% 1410
Compatible
Inyectables Etoposide phosphate 5 mg/ml
Inyectables Cyclophosphamide 10 mg/ml
Glucosa 5% 1410
Compatible
Inyectables Etoposide phosphate 5 mg/ml
Inyectables Cytarabine 50 mg/ml
Glucosa 5% 1410
Compatible
Inyectables Etoposide phosphate 5 mg/ml
Inyectables Dacarbazine 4 mg/ml
Glucosa 5% 1410
Compatible
Inyectables Etoposide phosphate 5 mg/ml
Inyectables Dactinomycin 10 µg/ml
Glucosa 5% 1410
Compatible
Inyectables Etoposide phosphate 5 mg/ml
Inyectables Daunorubicin hydrochloride 1 mg/ml
Glucosa 5% 1410
Compatible
Inyectables Etoposide phosphate 5 mg/ml
Inyectables Dexamethasone sodium phosphate 1 mg/ml
Glucosa 5% 1410
Compatible
Inyectables Etoposide phosphate 5 mg/ml
Inyectables Diphenhydramine hydrochloride 2 mg/ml
Glucosa 5% 1410
Compatible
Inyectables Etoposide phosphate 5 mg/ml
Inyectables Dobutamine hydrochloride 4 mg/ml
Glucosa 5% 1410
Compatible
Inyectables Etoposide phosphate 5 mg/ml
Inyectables Dopamine hydrochloride 3.2 mg/ml
Glucosa 5% 1410
Compatible
Inyectables Etoposide phosphate 5 mg/ml
Inyectables Doripenem 5 mg/ml
Cloruro de sodio 0,9% 2262
Compatible
Inyectables Etoposide phosphate 5 mg/ml
Inyectables Doripenem 5 mg/ml
Glucosa 5% 2262
Compatible
Inyectables Etoposide phosphate 5 mg/ml
Inyectables Doxorubicin hydrochloride 2 mg/ml
Glucosa 5% 1410
Compatible
Inyectables Etoposide phosphate 5 mg/ml
Inyectables Doxycycline hyclate 1 mg/ml
Glucosa 5% 1410
Compatible
Inyectables Etoposide phosphate 5 mg/ml
Inyectables Droperidol 0.4 mg/ml
Glucosa 5% 1410
Compatible
Inyectables Etoposide phosphate 5 mg/ml
Inyectables Enalaprilate 0.1 mg/ml
Glucosa 5% 1410
Compatible
Inyectables Etoposide phosphate 5 mg/ml
Inyectables Famotidine 2 mg/ml
Glucosa 5% 1410
Compatible
Inyectables Etoposide phosphate 5 mg/ml
Inyectables Floxuridine 3 mg/ml
Glucosa 5% 1410
Compatible
Inyectables Etoposide phosphate 5 mg/ml
Inyectables Fluconazole 2 mg/ml
Glucosa 5% 1410
Compatible
Inyectables Etoposide phosphate 5 mg/ml
Inyectables Fludarabine phosphate 1 mg/ml
Glucosa 5% 1410
Compatible
Inyectables Etoposide phosphate 5 mg/ml
Inyectables Fluorouracil 16 mg/ml
Glucosa 5% 1410
Compatible
Inyectables Etoposide phosphate 5 mg/ml
Inyectables Folinate calcium 2 mg/ml
Glucosa 5% 1410
Compatible
Inyectables Etoposide phosphate 5 mg/ml
Inyectables Furosemide 3 mg/ml
Glucosa 5% 1410
Compatible
Inyectables Etoposide phosphate 5 mg/ml
Inyectables Gallium nitrate 0.4 mg/ml
Glucosa 5% 1410
Compatible
Inyectables Etoposide phosphate 5 mg/ml
Inyectables Ganciclovir sodium 20 mg/ml
Glucosa 5% 1410
Compatible
Inyectables Etoposide phosphate 5 mg/ml
Inyectables Gemcitabine hydrochloride 10 mg/ml
Cloruro de sodio 0,9% 1423
Compatible
Inyectables Etoposide phosphate 5 mg/ml
Inyectables Gentamicin sulfate 5 mg/ml
Glucosa 5% 1410
Compatible
Inyectables Etoposide phosphate 5 mg/ml
Inyectables Granisetron hydrochloride 0.05 mg/ml
Glucosa 5% 1410
Compatible
Inyectables Etoposide phosphate 5 mg/ml
Inyectables Haloperidol lactate 0.2 mg/ml
Glucosa 5% 1410
Compatible
Inyectables Etoposide phosphate 5 mg/ml
Inyectables Heparin sodium 100 UI/ml
Glucosa 5% 1410
Compatible
Inyectables Etoposide phosphate 5 mg/ml
Inyectables Hydrocortisone sodium succinate 1 mg/ml
Glucosa 5% 1410
Compatible
Inyectables Etoposide phosphate 5 mg/ml
Inyectables Hydromorphone hydrochloride 0.5 mg/ml
Glucosa 5% 1410
Compatible
Inyectables Etoposide phosphate 5 mg/ml
Inyectables Hydroxyzine dihydrochloride 4 mg/ml
Glucosa 5% 1410
Compatible
Inyectables Etoposide phosphate 5 mg/ml
Inyectables Idarubicin hydrochloride 0.5 mg/ml
Glucosa 5% 1410
Compatible
Inyectables Etoposide phosphate 5 mg/ml
Inyectables Ifosfamide 25 mg/ml
Glucosa 5% 1410
Cambio de color después de 4 horas. Incompatible
Inyectables Etoposide phosphate 5 mg/ml
Inyectables Imipenem - cilastatin sodium 10 mg/ml
Cloruro de sodio 0,9% 1410
Precipitación inmediata Incompatible
Inyectables Etoposide phosphate 5 mg/ml
Inyectables Lansoprazole 0.55 mg/ml
Cloruro de sodio 0,9% 1625
Compatible
Inyectables Etoposide phosphate 5 mg/ml
Inyectables Linezolid 2 mg/ml
Ninguno 1925
Compatible
Inyectables Etoposide phosphate
Cloruro de sodio 0,9% 3655
Compatible
Inyectables Etoposide phosphate 5 mg/ml
Inyectables Lorazepam 0.5 mg/ml
Glucosa 5% 1410
Incompatibilidad no especificada Incompatible
Inyectables Etoposide phosphate
Inyectables Magnesium sulfate
3838
Compatible
Inyectables Etoposide phosphate 5 mg/ml
Inyectables Magnesium sulfate 100 mg/ml
Glucosa 5% 1410
Compatible
Inyectables Etoposide phosphate 5 mg/ml
Inyectables Mannitol 150 mg/ml
Glucosa 5% 1410
Compatible
Inyectables Etoposide phosphate 5 mg/ml
Inyectables Mesna 10 mg/ml
Glucosa 5% 1410
Compatible
Inyectables Etoposide phosphate 5 mg/ml
Inyectables Methotrexate sodium 15 mg/ml
Glucosa 5% 1410
Turbidez inmediata Incompatible
Inyectables Etoposide phosphate 5 mg/ml
Inyectables Methylprednisolone sodium succinate 5 mg/ml
Glucosa 5% 1410
Compatible
Inyectables Etoposide phosphate 5 mg/ml
Inyectables Metoclopramide hydrochloride 5 mg/ml
Glucosa 5% 1410
Compatible
Inyectables Etoposide phosphate 5 mg/ml
Inyectables Metronidazole 5 mg/ml
Glucosa 5% 1410
Compatible
Inyectables Etoposide phosphate 5 mg/ml
Inyectables Minocycline hydrochloride 0.2 mg/ml
Glucosa 5% 1410
Cambio de color después de 4 horas. Incompatible
Inyectables Etoposide phosphate 5 mg/ml
Inyectables Mitomycin 0.5 mg/ml
Glucosa 5% 1410
Compatible
Inyectables Etoposide phosphate 5 mg/ml
Inyectables Mitoxantrone dihydrochloride 0.5 mg/ml
Glucosa 5% 1410
Compatible
Inyectables Etoposide phosphate 5 mg/ml
Inyectables Morphine sulfate 1 mg/ml
Glucosa 5% 1410
Compatible
Inyectables Etoposide phosphate 5 mg/ml
Inyectables Nalbuphine hydrochloride 10 mg/ml
Glucosa 5% 1410
Compatible
Inyectables Etoposide phosphate 5 mg/ml
Inyectables Netilmicin sulfate 5 mg/ml
Glucosa 5% 1410
Compatible
Inyectables Etoposide phosphate 5 mg/ml
Inyectables Ofloxacin 4 mg/ml
Glucosa 5% 1410
Compatible
Inyectables Etoposide phosphate 5 mg/ml
Inyectables Ondansetron hydrochloride 1 mg/ml
Glucosa 5% 1410
Compatible
Inyectables Etoposide phosphate 5 mg/ml
Inyectables Oxaliplatin 0,5 mg/ml
Glucosa 5% 1662
Compatible
Inyectables Etoposide phosphate 5 mg/ml
Inyectables Paclitaxel 1.2 mg/ml
Glucosa 5% 1410
Compatible
Inyectables Etoposide phosphate 5 mg/ml
Inyectables Pethidine hydrochloride 4 mg/ml
Glucosa 5% 1410
Compatible
Inyectables Etoposide phosphate 5 mg/ml
Inyectables Piperacillin sodium 40 mg/ml
Glucosa 5% 1410
Compatible
Inyectables Etoposide phosphate 5 mg/ml
Inyectables Piperacillin sodium / tazobactam 40/5 mg/ml
Cloruro de sodio 0,9% 1410
Compatible
Inyectables Etoposide phosphate 5 mg/ml
Inyectables Potassium chloride 100 mEq/l
Glucosa 5% 1410
Turbidez inmediata Incompatible
Inyectables Etoposide phosphate 5 mg/ml
Inyectables Prochlorperazine edysilate 0.5 mg/ml
Glucosa 5% 1410
Compatible
Inyectables Etoposide phosphate 5 mg/ml
Inyectables Promethazine hydrochloride 2 mg/ml
Glucosa 5% 1410
Compatible
Inyectables Etoposide phosphate 5 mg/ml
Inyectables Ranitidine hydrochloride 2 mg/ml
Glucosa 5% 1410
Compatible
Inyectables Etoposide phosphate 5 mg/ml
Inyectables Sodium bicarbonate 84 mg/ml
Glucosa 5% 1410
Compatible
Inyectables Etoposide phosphate 5 mg/ml
Inyectables Streptozocin 40 mg/ml
Glucosa 5% 1410
Cambio de color después de 4 horas. Incompatible
Inyectables Etoposide phosphate 5 mg/ml
Inyectables Teniposide 0.1 mg/ml
Cloruro de sodio 0,9% 1410
Compatible
Inyectables Etoposide phosphate 5 mg/ml
Inyectables Thiotepa 1 mg/ml
Glucosa 5% 1410
Compatible
Inyectables Etoposide phosphate 5 mg/ml
Inyectables Ticarcillin / clavulanic acid 31 mg/ml
Glucosa 5% 1410
Compatible
Inyectables Etoposide phosphate 5 mg/ml
Inyectables Tobramycin sulfate 5 mg/ml
Glucosa 5% 1410
Compatible
Inyectables Etoposide phosphate 5 mg/ml
Inyectables Vancomycin hydrochloride 10 mg/ml
Glucosa 5% 1410
Compatible
Inyectables Etoposide phosphate 5 mg/ml
Inyectables Vinblastine sulfate 0.12 mg/ml
Glucosa 5% 1410
Compatible
Inyectables Etoposide phosphate 5 mg/ml
Inyectables Vincristine sulfate 0.05 mg/ml
Glucosa 5% 1410
Compatible
Inyectables Etoposide phosphate 5 mg/ml
Inyectables Zidovudine 4 mg/ml
Glucosa 5% 1410

  Mentions Légales