Dernière mise à jour :
17/12/2025
Anticancéreux   Etoposide phosphate  
injectable
Stabilité des solutions Stabilité en mélange Facteur influençant la stabilité Compatibilités Voie d’administration Bibliographie pdf
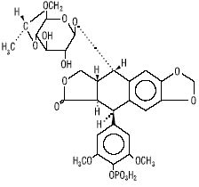
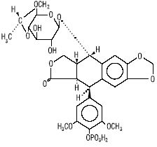
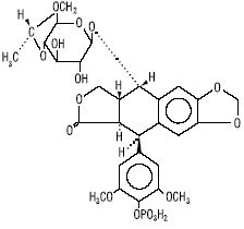
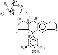
   Structure chimique  

Noms commerciaux   Noms commerciaux     

Les noms commerciaux sont donnés à titre indicatif et la composition en excipients peut être différente selon les pays et selon les laboratoires

Etopofos Autriche, Grèce, Suède
Etopophos Allemagne, Belgique, Bulgarie, Etats Unis d’Amérique, France, Grande Bretagne, Israël, Luxembourg, Nouvelle Zélande, Pays bas, Pologne, Suisse
Compatibilités   injectable   Compatibilités : Etoposide phosphate              
Cet écran indique les compatibilités ou incompatibilités avec, dans ce cas, le type d'incompatibilité (précipitation, changement de couleur, modification d'une émulsion, etc.). Les compatibilités présentées ici sont pour la plupart uniquement physiques, la stabilité chimique de chaque molécule étant rarement évaluée. L'évaluation de ces mélanges a été étudiée pour envisager la possibilité d'une administration en site Y au patient. Ces données ne peuvent pas être utilisées pour préparer des mélanges à l'avance dans des poches de perfusion ou des seringues. Ce type d'informations est disponible dans l'écran « Stabilité en mélange ».
Molécule Solvant Bibliographie
Compatible
injectable Etoposide phosphate 5 mg/ml
injectable Aciclovir sodium 7 mg/ml
Glucose 5% 1410
Compatible
injectable Etoposide phosphate 5 mg/ml
injectable Amikacin sulfate 5 mg/ml
Glucose 5% 1410
Compatible
injectable Etoposide phosphate 5 mg/ml
injectable Aminophylline 2.5 mg/ml
Glucose 5% 1410
Précipitation immédiate Incompatible
injectable Etoposide phosphate 5 mg/ml
injectable Amphotericin B 0.6 mg/ml
Glucose 5% 1410
Compatible
injectable Etoposide phosphate 5 mg/ml
injectable Ampicillin sodium 20 mg/ml
Glucose 5% 1410
Compatible
injectable Etoposide phosphate 5 mg/ml
injectable Ampicillin sodium - sulbactam sodium 20/10 mg/ml
Glucose 5% 1410
Compatible
injectable Etoposide phosphate 5 mg/ml
injectable Anidulafungin 0.5 mg/ml
Glucose 5% 1982
Compatible
injectable Etoposide phosphate 5 mg/ml
injectable Aztreonam 40 mg/ml
Glucose 5% 1410
Compatible
injectable Etoposide phosphate 5 mg/ml
injectable Bleomycin sulfate 1 mg/ml
Chlorure de sodium 0,9% 1410
Compatible
injectable Etoposide phosphate 5 mg/ml
injectable Bumetanide 0.04 mg/ml
Glucose 5% 1410
Compatible
injectable Etoposide phosphate 5 mg/ml
injectable Buprenorphine hydrochloride 0.04 mg/ml
Glucose 5% 1410
Compatible
injectable Etoposide phosphate 5 mg/ml
injectable Butorphanol tartrate 0.04 mg/ml
Glucose 5% 1410
Incompatibilité non précisée Incompatible
injectable Etoposide phosphate
injectable Calcium gluconate
3644
Compatible
injectable Etoposide phosphate 5 mg/ml
injectable Calcium gluconate 40 mg/ml
Glucose 5% 1410
Compatible
injectable Etoposide phosphate 5 mg/ml
injectable Carboplatin 5 mg/ml
Glucose 5% 1410
Compatible
injectable Etoposide phosphate 5 mg/ml
injectable Carmustine 1.5 mg/ml
Glucose 5% 1410
Compatible
injectable Etoposide phosphate 5 mg/ml
injectable Caspofungin acetate 0,7 mg/ml
Chlorure de sodium 0,9% 2247
Compatible
injectable Etoposide phosphate 5 mg/ml
injectable Cefazolin sodium 20 mg/ml
Glucose 5% 1410
Turbidité immédiate Incompatible
injectable Etoposide phosphate 5 mg/ml
injectable Cefepime dihydrochloride 20 mg/ml
Glucose 5% 1410
Compatible
injectable Etoposide phosphate 5 mg/ml
injectable Cefonicid sodium 20 mg/ml
Glucose 5% 1410
Compatible
injectable Etoposide phosphate 5 mg/ml
injectable Cefoperazone sodium 40 mg/ml
Glucose 5% 1410
Compatible
injectable Etoposide phosphate 5 mg/ml
injectable Cefotaxime sodium 20 mg/ml
Glucose 5% 1410
Compatible
injectable Etoposide phosphate 5 mg/ml
injectable Cefoxitin sodium 20 mg/ml
Glucose 5% 1410
Compatible
injectable Etoposide phosphate 5 mg/ml
injectable Ceftazidime 40 mg/ml
Glucose 5% 1410
Compatible
injectable Etoposide phosphate 5 mg/ml
injectable Ceftriaxone disodium 20 mg/ml
Glucose 5% 1410
Compatible
injectable Etoposide phosphate
Glucose 5% 3655
Incompatible
injectable Etoposide phosphate
injectable Calcium gluconate
4964
Compatible
injectable Etoposide phosphate 5 mg/ml
injectable Ceftizoxime sodium 20 mg/ml
Glucose 5% 1410
Compatible
injectable Etoposide phosphate 5 mg/ml
injectable Cefuroxime sodium 30 mg/ml
Glucose 5% 1410
Turbidité immédiate Incompatible
injectable Etoposide phosphate 5 mg/ml
injectable Chlorpromazine hydrochloride 2 mg/ml
Glucose 5% 1410
Compatible
injectable Etoposide phosphate 5 mg/ml
injectable Cimetidine hydrochloride 12 mg/ml
Glucose 5% 1410
Compatible
injectable Etoposide phosphate 5 mg/ml
injectable Ciprofloxacin lactate 1 mg/ml
Glucose 5% 1410
Compatible
injectable Etoposide phosphate 5 mg/ml
injectable Cisplatin 1 mg/ml
Glucose 5% 1410
Compatible
injectable Etoposide phosphate 5 mg/ml
injectable Clindamycin phosphate 10 mg/ml
Glucose 5% 1410
Compatible
injectable Etoposide phosphate 5 mg/ml
injectable Co-trimoxazole 0.8/4 mg/ml
Glucose 5% 1410
Compatible
injectable Etoposide phosphate 5 mg/ml
injectable Cyclophosphamide 10 mg/ml
Glucose 5% 1410
Compatible
injectable Etoposide phosphate 5 mg/ml
injectable Cytarabine 50 mg/ml
Glucose 5% 1410
Compatible
injectable Etoposide phosphate 5 mg/ml
injectable Dacarbazine 4 mg/ml
Glucose 5% 1410
Compatible
injectable Etoposide phosphate 5 mg/ml
injectable Dactinomycin 10 µg/ml
Glucose 5% 1410
Compatible
injectable Etoposide phosphate 5 mg/ml
injectable Daunorubicin hydrochloride 1 mg/ml
Glucose 5% 1410
Compatible
injectable Etoposide phosphate 5 mg/ml
injectable Dexamethasone sodium phosphate 1 mg/ml
Glucose 5% 1410
Compatible
injectable Etoposide phosphate 5 mg/ml
injectable Diphenhydramine hydrochloride 2 mg/ml
Glucose 5% 1410
Compatible
injectable Etoposide phosphate 5 mg/ml
injectable Dobutamine hydrochloride 4 mg/ml
Glucose 5% 1410
Compatible
injectable Etoposide phosphate 5 mg/ml
injectable Dopamine hydrochloride 3.2 mg/ml
Glucose 5% 1410
Compatible
injectable Etoposide phosphate 5 mg/ml
injectable Doripenem 5 mg/ml
Chlorure de sodium 0,9% 2262
Compatible
injectable Etoposide phosphate 5 mg/ml
injectable Doripenem 5 mg/ml
Glucose 5% 2262
Compatible
injectable Etoposide phosphate 5 mg/ml
injectable Doxorubicin hydrochloride 2 mg/ml
Glucose 5% 1410
Compatible
injectable Etoposide phosphate 5 mg/ml
injectable Doxycycline hyclate 1 mg/ml
Glucose 5% 1410
Compatible
injectable Etoposide phosphate 5 mg/ml
injectable Droperidol 0.4 mg/ml
Glucose 5% 1410
Compatible
injectable Etoposide phosphate 5 mg/ml
injectable Enalaprilate 0.1 mg/ml
Glucose 5% 1410
Compatible
injectable Etoposide phosphate 5 mg/ml
injectable Famotidine 2 mg/ml
Glucose 5% 1410
Compatible
injectable Etoposide phosphate 5 mg/ml
injectable Floxuridine 3 mg/ml
Glucose 5% 1410
Compatible
injectable Etoposide phosphate 5 mg/ml
injectable Fluconazole 2 mg/ml
Glucose 5% 1410
Compatible
injectable Etoposide phosphate 5 mg/ml
injectable Fludarabine phosphate 1 mg/ml
Glucose 5% 1410
Compatible
injectable Etoposide phosphate 5 mg/ml
injectable Fluorouracil 16 mg/ml
Glucose 5% 1410
Compatible
injectable Etoposide phosphate 5 mg/ml
injectable Folinate calcium 2 mg/ml
Glucose 5% 1410
Compatible
injectable Etoposide phosphate 5 mg/ml
injectable Furosemide 3 mg/ml
Glucose 5% 1410
Compatible
injectable Etoposide phosphate 5 mg/ml
injectable Gallium nitrate 0.4 mg/ml
Glucose 5% 1410
Compatible
injectable Etoposide phosphate 5 mg/ml
injectable Ganciclovir sodium 20 mg/ml
Glucose 5% 1410
Compatible
injectable Etoposide phosphate 5 mg/ml
injectable Gemcitabine hydrochloride 10 mg/ml
Chlorure de sodium 0,9% 1423
Compatible
injectable Etoposide phosphate 5 mg/ml
injectable Gentamicin sulfate 5 mg/ml
Glucose 5% 1410
Compatible
injectable Etoposide phosphate 5 mg/ml
injectable Granisetron hydrochloride 0.05 mg/ml
Glucose 5% 1410
Compatible
injectable Etoposide phosphate 5 mg/ml
injectable Haloperidol lactate 0.2 mg/ml
Glucose 5% 1410
Compatible
injectable Etoposide phosphate 5 mg/ml
injectable Heparin sodium 100 UI/ml
Glucose 5% 1410
Compatible
injectable Etoposide phosphate 5 mg/ml
injectable Hydrocortisone sodium succinate 1 mg/ml
Glucose 5% 1410
Compatible
injectable Etoposide phosphate 5 mg/ml
injectable Hydromorphone hydrochloride 0.5 mg/ml
Glucose 5% 1410
Compatible
injectable Etoposide phosphate 5 mg/ml
injectable Hydroxyzine dihydrochloride 4 mg/ml
Glucose 5% 1410
Compatible
injectable Etoposide phosphate 5 mg/ml
injectable Idarubicin hydrochloride 0.5 mg/ml
Glucose 5% 1410
Compatible
injectable Etoposide phosphate 5 mg/ml
injectable Ifosfamide 25 mg/ml
Glucose 5% 1410
Changement de couleur à 4 heures Incompatible
injectable Etoposide phosphate 5 mg/ml
injectable Imipenem - cilastatin sodium 10 mg/ml
Chlorure de sodium 0,9% 1410
Précipitation immédiate Incompatible
injectable Etoposide phosphate 5 mg/ml
injectable Lansoprazole 0.55 mg/ml
Chlorure de sodium 0,9% 1625
Compatible
injectable Etoposide phosphate 5 mg/ml
injectable Linezolid 2 mg/ml
Aucun 1925
Compatible
injectable Etoposide phosphate
Chlorure de sodium 0,9% 3655
Compatible
injectable Etoposide phosphate 5 mg/ml
injectable Lorazepam 0.5 mg/ml
Glucose 5% 1410
Incompatibilité non précisée Incompatible
injectable Etoposide phosphate
injectable Magnesium sulfate
3838
Compatible
injectable Etoposide phosphate 5 mg/ml
injectable Magnesium sulfate 100 mg/ml
Glucose 5% 1410
Compatible
injectable Etoposide phosphate 5 mg/ml
injectable Mannitol 150 mg/ml
Glucose 5% 1410
Compatible
injectable Etoposide phosphate 5 mg/ml
injectable Mesna 10 mg/ml
Glucose 5% 1410
Compatible
injectable Etoposide phosphate 5 mg/ml
injectable Methotrexate sodium 15 mg/ml
Glucose 5% 1410
Turbidité immédiate Incompatible
injectable Etoposide phosphate 5 mg/ml
injectable Methylprednisolone sodium succinate 5 mg/ml
Glucose 5% 1410
Compatible
injectable Etoposide phosphate 5 mg/ml
injectable Metoclopramide hydrochloride 5 mg/ml
Glucose 5% 1410
Compatible
injectable Etoposide phosphate 5 mg/ml
injectable Metronidazole 5 mg/ml
Glucose 5% 1410
Compatible
injectable Etoposide phosphate 5 mg/ml
injectable Minocycline hydrochloride 0.2 mg/ml
Glucose 5% 1410
Changement de couleur à 4 heures Incompatible
injectable Etoposide phosphate 5 mg/ml
injectable Mitomycin 0.5 mg/ml
Glucose 5% 1410
Compatible
injectable Etoposide phosphate 5 mg/ml
injectable Mitoxantrone dihydrochloride 0.5 mg/ml
Glucose 5% 1410
Compatible
injectable Etoposide phosphate 5 mg/ml
injectable Morphine sulfate 1 mg/ml
Glucose 5% 1410
Compatible
injectable Etoposide phosphate 5 mg/ml
injectable Nalbuphine hydrochloride 10 mg/ml
Glucose 5% 1410
Compatible
injectable Etoposide phosphate 5 mg/ml
injectable Netilmicin sulfate 5 mg/ml
Glucose 5% 1410
Compatible
injectable Etoposide phosphate 5 mg/ml
injectable Ofloxacin 4 mg/ml
Glucose 5% 1410
Compatible
injectable Etoposide phosphate 5 mg/ml
injectable Ondansetron hydrochloride 1 mg/ml
Glucose 5% 1410
Compatible
injectable Etoposide phosphate 5 mg/ml
injectable Oxaliplatin 0,5 mg/ml
Glucose 5% 1662
Compatible
injectable Etoposide phosphate 5 mg/ml
injectable Paclitaxel 1.2 mg/ml
Glucose 5% 1410
Compatible
injectable Etoposide phosphate 5 mg/ml
injectable Pethidine hydrochloride 4 mg/ml
Glucose 5% 1410
Compatible
injectable Etoposide phosphate 5 mg/ml
injectable Piperacillin sodium 40 mg/ml
Glucose 5% 1410
Compatible
injectable Etoposide phosphate 5 mg/ml
injectable Piperacillin sodium / tazobactam 40/5 mg/ml
Chlorure de sodium 0,9% 1410
Compatible
injectable Etoposide phosphate 5 mg/ml
injectable Potassium chloride 100 mEq/l
Glucose 5% 1410
Turbidité immédiate Incompatible
injectable Etoposide phosphate 5 mg/ml
injectable Prochlorperazine edysilate 0.5 mg/ml
Glucose 5% 1410
Compatible
injectable Etoposide phosphate 5 mg/ml
injectable Promethazine hydrochloride 2 mg/ml
Glucose 5% 1410
Compatible
injectable Etoposide phosphate 5 mg/ml
injectable Ranitidine hydrochloride 2 mg/ml
Glucose 5% 1410
Compatible
injectable Etoposide phosphate 5 mg/ml
injectable Sodium bicarbonate 84 mg/ml
Glucose 5% 1410
Compatible
injectable Etoposide phosphate 5 mg/ml
injectable Streptozocin 40 mg/ml
Glucose 5% 1410
Changement de couleur à 4 heures Incompatible
injectable Etoposide phosphate 5 mg/ml
injectable Teniposide 0.1 mg/ml
Chlorure de sodium 0,9% 1410
Compatible
injectable Etoposide phosphate 5 mg/ml
injectable Thiotepa 1 mg/ml
Glucose 5% 1410
Compatible
injectable Etoposide phosphate 5 mg/ml
injectable Ticarcillin / clavulanic acid 31 mg/ml
Glucose 5% 1410
Compatible
injectable Etoposide phosphate 5 mg/ml
injectable Tobramycin sulfate 5 mg/ml
Glucose 5% 1410
Compatible
injectable Etoposide phosphate 5 mg/ml
injectable Vancomycin hydrochloride 10 mg/ml
Glucose 5% 1410
Compatible
injectable Etoposide phosphate 5 mg/ml
injectable Vinblastine sulfate 0.12 mg/ml
Glucose 5% 1410
Compatible
injectable Etoposide phosphate 5 mg/ml
injectable Vincristine sulfate 0.05 mg/ml
Glucose 5% 1410
Compatible
injectable Etoposide phosphate 5 mg/ml
injectable Zidovudine 4 mg/ml
Glucose 5% 1410

  Mentions Légales