Ultimo aggiornamento :
18/03/2026
farmaco contro il cancro   Etoposide phosphate  
Iniezione
Stabilità in soluzione Stabilità in miscela Fattori che influenzano la stabilità Compatibilità metodo di iniezione Bibliografia pdf
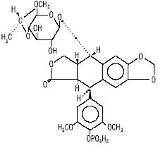
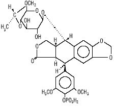
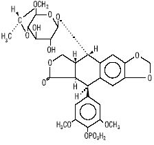
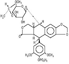
   Struttura chimica  

Nome commerciale   Nome commerciale     

Trade names are indicative and excipients composition can be different depending on the country and manufacturers

Etopofos Austria, Grecia, Svezia
Etopophos Belgio, Bulgaria, Francia, Germania, Gran Bretagna, Israele, Lussemburgo, nuova Zelanda, Paesi Bassi, Polonia, Stati Uniti d’America, Svizzera
Compatibilità   Iniezione   Compatibilità : Etoposide phosphate              
explication_incompatibilite_molecules
Molecola Solvente Bibliografia
Compatibile
Iniezione Etoposide phosphate 5 mg/ml
Iniezione Aciclovir sodium 7 mg/ml
Glucosio 5% 1410
Compatibile
Iniezione Etoposide phosphate 5 mg/ml
Iniezione Amikacin sulfate 5 mg/ml
Glucosio 5% 1410
Compatibile
Iniezione Etoposide phosphate 5 mg/ml
Iniezione Aminophylline 2.5 mg/ml
Glucosio 5% 1410
Precipitazioni immediate Incompatibile
Iniezione Etoposide phosphate 5 mg/ml
Iniezione Amphotericin B 0.6 mg/ml
Glucosio 5% 1410
Compatibile
Iniezione Etoposide phosphate 5 mg/ml
Iniezione Ampicillin sodium 20 mg/ml
Glucosio 5% 1410
Compatibile
Iniezione Etoposide phosphate 5 mg/ml
Iniezione Ampicillin sodium - sulbactam sodium 20/10 mg/ml
Glucosio 5% 1410
Compatibile
Iniezione Etoposide phosphate 5 mg/ml
Iniezione Anidulafungin 0.5 mg/ml
Glucosio 5% 1982
Compatibile
Iniezione Etoposide phosphate 5 mg/ml
Iniezione Aztreonam 40 mg/ml
Glucosio 5% 1410
Compatibile
Iniezione Etoposide phosphate 5 mg/ml
Iniezione Bleomycin sulfate 1 mg/ml
Cloruro di sodio 0,9% 1410
Compatibile
Iniezione Etoposide phosphate 5 mg/ml
Iniezione Bumetanide 0.04 mg/ml
Glucosio 5% 1410
Compatibile
Iniezione Etoposide phosphate 5 mg/ml
Iniezione Buprenorphine hydrochloride 0.04 mg/ml
Glucosio 5% 1410
Compatibile
Iniezione Etoposide phosphate 5 mg/ml
Iniezione Butorphanol tartrate 0.04 mg/ml
Glucosio 5% 1410
Incompatibilità non specificata Incompatibile
Iniezione Etoposide phosphate
Iniezione Calcium gluconate
3644
Compatibile
Iniezione Etoposide phosphate 5 mg/ml
Iniezione Calcium gluconate 40 mg/ml
Glucosio 5% 1410
Compatibile
Iniezione Etoposide phosphate 5 mg/ml
Iniezione Carboplatin 5 mg/ml
Glucosio 5% 1410
Compatibile
Iniezione Etoposide phosphate 5 mg/ml
Iniezione Carmustine 1.5 mg/ml
Glucosio 5% 1410
Compatibile
Iniezione Etoposide phosphate 5 mg/ml
Iniezione Caspofungin acetate 0,7 mg/ml
Cloruro di sodio 0,9% 2247
Compatibile
Iniezione Etoposide phosphate 5 mg/ml
Iniezione Cefazolin sodium 20 mg/ml
Glucosio 5% 1410
Torbidità immediata Incompatibile
Iniezione Etoposide phosphate 5 mg/ml
Iniezione Cefepime dihydrochloride 20 mg/ml
Glucosio 5% 1410
Compatibile
Iniezione Etoposide phosphate 5 mg/ml
Iniezione Cefonicid sodium 20 mg/ml
Glucosio 5% 1410
Compatibile
Iniezione Etoposide phosphate 5 mg/ml
Iniezione Cefoperazone sodium 40 mg/ml
Glucosio 5% 1410
Compatibile
Iniezione Etoposide phosphate 5 mg/ml
Iniezione Cefotaxime sodium 20 mg/ml
Glucosio 5% 1410
Compatibile
Iniezione Etoposide phosphate 5 mg/ml
Iniezione Cefoxitin sodium 20 mg/ml
Glucosio 5% 1410
Compatibile
Iniezione Etoposide phosphate 5 mg/ml
Iniezione Ceftazidime 40 mg/ml
Glucosio 5% 1410
Compatibile
Iniezione Etoposide phosphate 5 mg/ml
Iniezione Ceftriaxone disodium 20 mg/ml
Glucosio 5% 1410
Compatibile
Iniezione Etoposide phosphate
Glucosio 5% 3655
Incompatibile
Iniezione Etoposide phosphate
Iniezione Calcium gluconate
4964
Compatibile
Iniezione Etoposide phosphate 5 mg/ml
Iniezione Ceftizoxime sodium 20 mg/ml
Glucosio 5% 1410
Compatibile
Iniezione Etoposide phosphate 5 mg/ml
Iniezione Cefuroxime sodium 30 mg/ml
Glucosio 5% 1410
Torbidità immediata Incompatibile
Iniezione Etoposide phosphate 5 mg/ml
Iniezione Chlorpromazine hydrochloride 2 mg/ml
Glucosio 5% 1410
Compatibile
Iniezione Etoposide phosphate 5 mg/ml
Iniezione Cimetidine hydrochloride 12 mg/ml
Glucosio 5% 1410
Compatibile
Iniezione Etoposide phosphate 5 mg/ml
Iniezione Ciprofloxacin lactate 1 mg/ml
Glucosio 5% 1410
Compatibile
Iniezione Etoposide phosphate 5 mg/ml
Iniezione Cisplatin 1 mg/ml
Glucosio 5% 1410
Compatibile
Iniezione Etoposide phosphate 5 mg/ml
Iniezione Clindamycin phosphate 10 mg/ml
Glucosio 5% 1410
Compatibile
Iniezione Etoposide phosphate 5 mg/ml
Iniezione Co-trimoxazole 0.8/4 mg/ml
Glucosio 5% 1410
Compatibile
Iniezione Etoposide phosphate 5 mg/ml
Iniezione Cyclophosphamide 10 mg/ml
Glucosio 5% 1410
Compatibile
Iniezione Etoposide phosphate 5 mg/ml
Iniezione Cytarabine 50 mg/ml
Glucosio 5% 1410
Compatibile
Iniezione Etoposide phosphate 5 mg/ml
Iniezione Dacarbazine 4 mg/ml
Glucosio 5% 1410
Compatibile
Iniezione Etoposide phosphate 5 mg/ml
Iniezione Dactinomycin 10 µg/ml
Glucosio 5% 1410
Compatibile
Iniezione Etoposide phosphate 5 mg/ml
Iniezione Daunorubicin hydrochloride 1 mg/ml
Glucosio 5% 1410
Compatibile
Iniezione Etoposide phosphate 5 mg/ml
Iniezione Dexamethasone sodium phosphate 1 mg/ml
Glucosio 5% 1410
Compatibile
Iniezione Etoposide phosphate 5 mg/ml
Iniezione Diphenhydramine hydrochloride 2 mg/ml
Glucosio 5% 1410
Compatibile
Iniezione Etoposide phosphate 5 mg/ml
Iniezione Dobutamine hydrochloride 4 mg/ml
Glucosio 5% 1410
Compatibile
Iniezione Etoposide phosphate 5 mg/ml
Iniezione Dopamine hydrochloride 3.2 mg/ml
Glucosio 5% 1410
Compatibile
Iniezione Etoposide phosphate 5 mg/ml
Iniezione Doripenem 5 mg/ml
Cloruro di sodio 0,9% 2262
Compatibile
Iniezione Etoposide phosphate 5 mg/ml
Iniezione Doripenem 5 mg/ml
Glucosio 5% 2262
Compatibile
Iniezione Etoposide phosphate 5 mg/ml
Iniezione Doxorubicin hydrochloride 2 mg/ml
Glucosio 5% 1410
Compatibile
Iniezione Etoposide phosphate 5 mg/ml
Iniezione Doxycycline hyclate 1 mg/ml
Glucosio 5% 1410
Compatibile
Iniezione Etoposide phosphate 5 mg/ml
Iniezione Droperidol 0.4 mg/ml
Glucosio 5% 1410
Compatibile
Iniezione Etoposide phosphate 5 mg/ml
Iniezione Enalaprilate 0.1 mg/ml
Glucosio 5% 1410
Compatibile
Iniezione Etoposide phosphate 5 mg/ml
Iniezione Famotidine 2 mg/ml
Glucosio 5% 1410
Compatibile
Iniezione Etoposide phosphate 5 mg/ml
Iniezione Floxuridine 3 mg/ml
Glucosio 5% 1410
Compatibile
Iniezione Etoposide phosphate 5 mg/ml
Iniezione Fluconazole 2 mg/ml
Glucosio 5% 1410
Compatibile
Iniezione Etoposide phosphate 5 mg/ml
Iniezione Fludarabine phosphate 1 mg/ml
Glucosio 5% 1410
Compatibile
Iniezione Etoposide phosphate 5 mg/ml
Iniezione Fluorouracil 16 mg/ml
Glucosio 5% 1410
Compatibile
Iniezione Etoposide phosphate 5 mg/ml
Iniezione Folinate calcium 2 mg/ml
Glucosio 5% 1410
Compatibile
Iniezione Etoposide phosphate 5 mg/ml
Iniezione Furosemide 3 mg/ml
Glucosio 5% 1410
Compatibile
Iniezione Etoposide phosphate 5 mg/ml
Iniezione Gallium nitrate 0.4 mg/ml
Glucosio 5% 1410
Compatibile
Iniezione Etoposide phosphate 5 mg/ml
Iniezione Ganciclovir sodium 20 mg/ml
Glucosio 5% 1410
Compatibile
Iniezione Etoposide phosphate 5 mg/ml
Iniezione Gemcitabine hydrochloride 10 mg/ml
Cloruro di sodio 0,9% 1423
Compatibile
Iniezione Etoposide phosphate 5 mg/ml
Iniezione Gentamicin sulfate 5 mg/ml
Glucosio 5% 1410
Compatibile
Iniezione Etoposide phosphate 5 mg/ml
Iniezione Granisetron hydrochloride 0.05 mg/ml
Glucosio 5% 1410
Compatibile
Iniezione Etoposide phosphate 5 mg/ml
Iniezione Haloperidol lactate 0.2 mg/ml
Glucosio 5% 1410
Compatibile
Iniezione Etoposide phosphate 5 mg/ml
Iniezione Heparin sodium 100 UI/ml
Glucosio 5% 1410
Compatibile
Iniezione Etoposide phosphate 5 mg/ml
Iniezione Hydrocortisone sodium succinate 1 mg/ml
Glucosio 5% 1410
Compatibile
Iniezione Etoposide phosphate 5 mg/ml
Iniezione Hydromorphone hydrochloride 0.5 mg/ml
Glucosio 5% 1410
Compatibile
Iniezione Etoposide phosphate 5 mg/ml
Iniezione Hydroxyzine dihydrochloride 4 mg/ml
Glucosio 5% 1410
Compatibile
Iniezione Etoposide phosphate 5 mg/ml
Iniezione Idarubicin hydrochloride 0.5 mg/ml
Glucosio 5% 1410
Compatibile
Iniezione Etoposide phosphate 5 mg/ml
Iniezione Ifosfamide 25 mg/ml
Glucosio 5% 1410
Cambio colore dopo 4 ore Incompatibile
Iniezione Etoposide phosphate 5 mg/ml
Iniezione Imipenem - cilastatin sodium 10 mg/ml
Cloruro di sodio 0,9% 1410
Precipitazioni immediate Incompatibile
Iniezione Etoposide phosphate 5 mg/ml
Iniezione Lansoprazole 0.55 mg/ml
Cloruro di sodio 0,9% 1625
Compatibile
Iniezione Etoposide phosphate 5 mg/ml
Iniezione Linezolid 2 mg/ml
Nessuno 1925
Compatibile
Iniezione Etoposide phosphate
Cloruro di sodio 0,9% 3655
Compatibile
Iniezione Etoposide phosphate 5 mg/ml
Iniezione Lorazepam 0.5 mg/ml
Glucosio 5% 1410
Incompatibilità non specificata Incompatibile
Iniezione Etoposide phosphate
Iniezione Magnesium sulfate
3838
Compatibile
Iniezione Etoposide phosphate 5 mg/ml
Iniezione Magnesium sulfate 100 mg/ml
Glucosio 5% 1410
Compatibile
Iniezione Etoposide phosphate 5 mg/ml
Iniezione Mannitol 150 mg/ml
Glucosio 5% 1410
Compatibile
Iniezione Etoposide phosphate 5 mg/ml
Iniezione Mesna 10 mg/ml
Glucosio 5% 1410
Compatibile
Iniezione Etoposide phosphate 5 mg/ml
Iniezione Methotrexate sodium 15 mg/ml
Glucosio 5% 1410
Torbidità immediata Incompatibile
Iniezione Etoposide phosphate 5 mg/ml
Iniezione Methylprednisolone sodium succinate 5 mg/ml
Glucosio 5% 1410
Compatibile
Iniezione Etoposide phosphate 5 mg/ml
Iniezione Metoclopramide hydrochloride 5 mg/ml
Glucosio 5% 1410
Compatibile
Iniezione Etoposide phosphate 5 mg/ml
Iniezione Metronidazole 5 mg/ml
Glucosio 5% 1410
Compatibile
Iniezione Etoposide phosphate 5 mg/ml
Iniezione Minocycline hydrochloride 0.2 mg/ml
Glucosio 5% 1410
Cambio colore dopo 4 ore Incompatibile
Iniezione Etoposide phosphate 5 mg/ml
Iniezione Mitomycin 0.5 mg/ml
Glucosio 5% 1410
Compatibile
Iniezione Etoposide phosphate 5 mg/ml
Iniezione Mitoxantrone dihydrochloride 0.5 mg/ml
Glucosio 5% 1410
Compatibile
Iniezione Etoposide phosphate 5 mg/ml
Iniezione Morphine sulfate 1 mg/ml
Glucosio 5% 1410
Compatibile
Iniezione Etoposide phosphate 5 mg/ml
Iniezione Nalbuphine hydrochloride 10 mg/ml
Glucosio 5% 1410
Compatibile
Iniezione Etoposide phosphate 5 mg/ml
Iniezione Netilmicin sulfate 5 mg/ml
Glucosio 5% 1410
Compatibile
Iniezione Etoposide phosphate 5 mg/ml
Iniezione Ofloxacin 4 mg/ml
Glucosio 5% 1410
Compatibile
Iniezione Etoposide phosphate 5 mg/ml
Iniezione Ondansetron hydrochloride 1 mg/ml
Glucosio 5% 1410
Compatibile
Iniezione Etoposide phosphate 5 mg/ml
Iniezione Oxaliplatin 0,5 mg/ml
Glucosio 5% 1662
Compatibile
Iniezione Etoposide phosphate 5 mg/ml
Iniezione Paclitaxel 1.2 mg/ml
Glucosio 5% 1410
Compatibile
Iniezione Etoposide phosphate 5 mg/ml
Iniezione Pethidine hydrochloride 4 mg/ml
Glucosio 5% 1410
Compatibile
Iniezione Etoposide phosphate 5 mg/ml
Iniezione Piperacillin sodium 40 mg/ml
Glucosio 5% 1410
Compatibile
Iniezione Etoposide phosphate 5 mg/ml
Iniezione Piperacillin sodium / tazobactam 40/5 mg/ml
Cloruro di sodio 0,9% 1410
Compatibile
Iniezione Etoposide phosphate 5 mg/ml
Iniezione Potassium chloride 100 mEq/l
Glucosio 5% 1410
Torbidità immediata Incompatibile
Iniezione Etoposide phosphate 5 mg/ml
Iniezione Prochlorperazine edysilate 0.5 mg/ml
Glucosio 5% 1410
Compatibile
Iniezione Etoposide phosphate 5 mg/ml
Iniezione Promethazine hydrochloride 2 mg/ml
Glucosio 5% 1410
Compatibile
Iniezione Etoposide phosphate 5 mg/ml
Iniezione Ranitidine hydrochloride 2 mg/ml
Glucosio 5% 1410
Compatibile
Iniezione Etoposide phosphate 5 mg/ml
Iniezione Sodium bicarbonate 84 mg/ml
Glucosio 5% 1410
Compatibile
Iniezione Etoposide phosphate 5 mg/ml
Iniezione Streptozocin 40 mg/ml
Glucosio 5% 1410
Cambio colore dopo 4 ore Incompatibile
Iniezione Etoposide phosphate 5 mg/ml
Iniezione Teniposide 0.1 mg/ml
Cloruro di sodio 0,9% 1410
Compatibile
Iniezione Etoposide phosphate 5 mg/ml
Iniezione Thiotepa 1 mg/ml
Glucosio 5% 1410
Compatibile
Iniezione Etoposide phosphate 5 mg/ml
Iniezione Ticarcillin / clavulanic acid 31 mg/ml
Glucosio 5% 1410
Compatibile
Iniezione Etoposide phosphate 5 mg/ml
Iniezione Tobramycin sulfate 5 mg/ml
Glucosio 5% 1410
Compatibile
Iniezione Etoposide phosphate 5 mg/ml
Iniezione Vancomycin hydrochloride 10 mg/ml
Glucosio 5% 1410
Compatibile
Iniezione Etoposide phosphate 5 mg/ml
Iniezione Vinblastine sulfate 0.12 mg/ml
Glucosio 5% 1410
Compatibile
Iniezione Etoposide phosphate 5 mg/ml
Iniezione Vincristine sulfate 0.05 mg/ml
Glucosio 5% 1410
Compatibile
Iniezione Etoposide phosphate 5 mg/ml
Iniezione Zidovudine 4 mg/ml
Glucosio 5% 1410

  Mentions Légales