viimane versioon :
18/03/2026
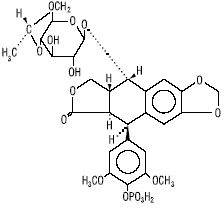
vähiravimite   Etoposide phosphate  
Süsteravim
Stabiilsus lahustes Stabiilsust mõjutavad tegurid stabiilsust mõjutavad faktorid Sobimatus Manustamis viis Viited pdf
   keemiline struktuur  

Kaubanduslikud nimed erinevates maades   Kaubanduslikud nimed erinevates maades     

Preparaatide nimed on näitlikud ja abianete sisaldus võib erineda sõltuvalt riigist ja laborist

Etopofos Austria, Kreeka, Rootsi
Etopophos Ameerika ühendriigid, Belgia, Bulgaaria, Holland, Iisrael, Luksemburg, Poola, Prantsusmaa, Saksamaa, Suurbritannia, Sveits, uus-Meremaa
Sobimatus   Süsteravim   Sobimatus : Etoposide phosphate              
Sellel lehel kuvatakse sobimatusi ja sobimatuse tüüpi (sadenemine, värvuse muutus, emulsiooni modifitseerumine jne). Enamasti on siin lehel kuvatud füüsikalised sobimatused, kuna molekulide keemilist stabiilsust hinnatakse harva. Hinnatud on segude sobivust Y-liinis. Antud infot ei saa kasutada ravimite sobivuse hindamiseks juhul, kui ravimid on segatud süstaldes või infusioonikottides. See info on lehel « stabiilsus segudes ».
ingredient lahusti Viited
Ühilduv
Süsteravim Etoposide phosphate 5 mg/ml
Süsteravim Aciclovir sodium 7 mg/ml
glükoos 5% 1410
Ühilduv
Süsteravim Etoposide phosphate 5 mg/ml
Süsteravim Amikacin sulfate 5 mg/ml
glükoos 5% 1410
Ühilduv
Süsteravim Etoposide phosphate 5 mg/ml
Süsteravim Aminophylline 2.5 mg/ml
glükoos 5% 1410
Kohene sade Sobimatu
Süsteravim Etoposide phosphate 5 mg/ml
Süsteravim Amphotericin B 0.6 mg/ml
glükoos 5% 1410
Ühilduv
Süsteravim Etoposide phosphate 5 mg/ml
Süsteravim Ampicillin sodium 20 mg/ml
glükoos 5% 1410
Ühilduv
Süsteravim Etoposide phosphate 5 mg/ml
Süsteravim Ampicillin sodium - sulbactam sodium 20/10 mg/ml
glükoos 5% 1410
Ühilduv
Süsteravim Etoposide phosphate 5 mg/ml
Süsteravim Anidulafungin 0.5 mg/ml
glükoos 5% 1982
Ühilduv
Süsteravim Etoposide phosphate 5 mg/ml
Süsteravim Aztreonam 40 mg/ml
glükoos 5% 1410
Ühilduv
Süsteravim Etoposide phosphate 5 mg/ml
Süsteravim Bleomycin sulfate 1 mg/ml
naatriumkloriid 0.9% 1410
Ühilduv
Süsteravim Etoposide phosphate 5 mg/ml
Süsteravim Bumetanide 0.04 mg/ml
glükoos 5% 1410
Ühilduv
Süsteravim Etoposide phosphate 5 mg/ml
Süsteravim Buprenorphine hydrochloride 0.04 mg/ml
glükoos 5% 1410
Ühilduv
Süsteravim Etoposide phosphate 5 mg/ml
Süsteravim Butorphanol tartrate 0.04 mg/ml
glükoos 5% 1410
Täpsustamata sobimatus Sobimatu
Süsteravim Etoposide phosphate
Süsteravim Calcium gluconate
3644
Ühilduv
Süsteravim Etoposide phosphate 5 mg/ml
Süsteravim Calcium gluconate 40 mg/ml
glükoos 5% 1410
Ühilduv
Süsteravim Etoposide phosphate 5 mg/ml
Süsteravim Carboplatin 5 mg/ml
glükoos 5% 1410
Ühilduv
Süsteravim Etoposide phosphate 5 mg/ml
Süsteravim Carmustine 1.5 mg/ml
glükoos 5% 1410
Ühilduv
Süsteravim Etoposide phosphate 5 mg/ml
Süsteravim Caspofungin acetate 0,7 mg/ml
naatriumkloriid 0.9% 2247
Ühilduv
Süsteravim Etoposide phosphate 5 mg/ml
Süsteravim Cefazolin sodium 20 mg/ml
glükoos 5% 1410
Kohene hägusus Sobimatu
Süsteravim Etoposide phosphate 5 mg/ml
Süsteravim Cefepime dihydrochloride 20 mg/ml
glükoos 5% 1410
Ühilduv
Süsteravim Etoposide phosphate 5 mg/ml
Süsteravim Cefonicid sodium 20 mg/ml
glükoos 5% 1410
Ühilduv
Süsteravim Etoposide phosphate 5 mg/ml
Süsteravim Cefoperazone sodium 40 mg/ml
glükoos 5% 1410
Ühilduv
Süsteravim Etoposide phosphate 5 mg/ml
Süsteravim Cefotaxime sodium 20 mg/ml
glükoos 5% 1410
Ühilduv
Süsteravim Etoposide phosphate 5 mg/ml
Süsteravim Cefoxitin sodium 20 mg/ml
glükoos 5% 1410
Ühilduv
Süsteravim Etoposide phosphate 5 mg/ml
Süsteravim Ceftazidime 40 mg/ml
glükoos 5% 1410
Ühilduv
Süsteravim Etoposide phosphate 5 mg/ml
Süsteravim Ceftriaxone disodium 20 mg/ml
glükoos 5% 1410
Ühilduv
Süsteravim Etoposide phosphate
glükoos 5% 3655
Sobimatu
Süsteravim Etoposide phosphate
Süsteravim Calcium gluconate
4964
Ühilduv
Süsteravim Etoposide phosphate 5 mg/ml
Süsteravim Ceftizoxime sodium 20 mg/ml
glükoos 5% 1410
Ühilduv
Süsteravim Etoposide phosphate 5 mg/ml
Süsteravim Cefuroxime sodium 30 mg/ml
glükoos 5% 1410
Kohene hägusus Sobimatu
Süsteravim Etoposide phosphate 5 mg/ml
Süsteravim Chlorpromazine hydrochloride 2 mg/ml
glükoos 5% 1410
Ühilduv
Süsteravim Etoposide phosphate 5 mg/ml
Süsteravim Cimetidine hydrochloride 12 mg/ml
glükoos 5% 1410
Ühilduv
Süsteravim Etoposide phosphate 5 mg/ml
Süsteravim Ciprofloxacin lactate 1 mg/ml
glükoos 5% 1410
Ühilduv
Süsteravim Etoposide phosphate 5 mg/ml
Süsteravim Cisplatin 1 mg/ml
glükoos 5% 1410
Ühilduv
Süsteravim Etoposide phosphate 5 mg/ml
Süsteravim Clindamycin phosphate 10 mg/ml
glükoos 5% 1410
Ühilduv
Süsteravim Etoposide phosphate 5 mg/ml
Süsteravim Co-trimoxazole 0.8/4 mg/ml
glükoos 5% 1410
Ühilduv
Süsteravim Etoposide phosphate 5 mg/ml
Süsteravim Cyclophosphamide 10 mg/ml
glükoos 5% 1410
Ühilduv
Süsteravim Etoposide phosphate 5 mg/ml
Süsteravim Cytarabine 50 mg/ml
glükoos 5% 1410
Ühilduv
Süsteravim Etoposide phosphate 5 mg/ml
Süsteravim Dacarbazine 4 mg/ml
glükoos 5% 1410
Ühilduv
Süsteravim Etoposide phosphate 5 mg/ml
Süsteravim Dactinomycin 10 µg/ml
glükoos 5% 1410
Ühilduv
Süsteravim Etoposide phosphate 5 mg/ml
Süsteravim Daunorubicin hydrochloride 1 mg/ml
glükoos 5% 1410
Ühilduv
Süsteravim Etoposide phosphate 5 mg/ml
Süsteravim Dexamethasone sodium phosphate 1 mg/ml
glükoos 5% 1410
Ühilduv
Süsteravim Etoposide phosphate 5 mg/ml
Süsteravim Diphenhydramine hydrochloride 2 mg/ml
glükoos 5% 1410
Ühilduv
Süsteravim Etoposide phosphate 5 mg/ml
Süsteravim Dobutamine hydrochloride 4 mg/ml
glükoos 5% 1410
Ühilduv
Süsteravim Etoposide phosphate 5 mg/ml
Süsteravim Dopamine hydrochloride 3.2 mg/ml
glükoos 5% 1410
Ühilduv
Süsteravim Etoposide phosphate 5 mg/ml
Süsteravim Doripenem 5 mg/ml
naatriumkloriid 0.9% 2262
Ühilduv
Süsteravim Etoposide phosphate 5 mg/ml
Süsteravim Doripenem 5 mg/ml
glükoos 5% 2262
Ühilduv
Süsteravim Etoposide phosphate 5 mg/ml
Süsteravim Doxorubicin hydrochloride 2 mg/ml
glükoos 5% 1410
Ühilduv
Süsteravim Etoposide phosphate 5 mg/ml
Süsteravim Doxycycline hyclate 1 mg/ml
glükoos 5% 1410
Ühilduv
Süsteravim Etoposide phosphate 5 mg/ml
Süsteravim Droperidol 0.4 mg/ml
glükoos 5% 1410
Ühilduv
Süsteravim Etoposide phosphate 5 mg/ml
Süsteravim Enalaprilate 0.1 mg/ml
glükoos 5% 1410
Ühilduv
Süsteravim Etoposide phosphate 5 mg/ml
Süsteravim Famotidine 2 mg/ml
glükoos 5% 1410
Ühilduv
Süsteravim Etoposide phosphate 5 mg/ml
Süsteravim Floxuridine 3 mg/ml
glükoos 5% 1410
Ühilduv
Süsteravim Etoposide phosphate 5 mg/ml
Süsteravim Fluconazole 2 mg/ml
glükoos 5% 1410
Ühilduv
Süsteravim Etoposide phosphate 5 mg/ml
Süsteravim Fludarabine phosphate 1 mg/ml
glükoos 5% 1410
Ühilduv
Süsteravim Etoposide phosphate 5 mg/ml
Süsteravim Fluorouracil 16 mg/ml
glükoos 5% 1410
Ühilduv
Süsteravim Etoposide phosphate 5 mg/ml
Süsteravim Folinate calcium 2 mg/ml
glükoos 5% 1410
Ühilduv
Süsteravim Etoposide phosphate 5 mg/ml
Süsteravim Furosemide 3 mg/ml
glükoos 5% 1410
Ühilduv
Süsteravim Etoposide phosphate 5 mg/ml
Süsteravim Gallium nitrate 0.4 mg/ml
glükoos 5% 1410
Ühilduv
Süsteravim Etoposide phosphate 5 mg/ml
Süsteravim Ganciclovir sodium 20 mg/ml
glükoos 5% 1410
Ühilduv
Süsteravim Etoposide phosphate 5 mg/ml
Süsteravim Gemcitabine hydrochloride 10 mg/ml
naatriumkloriid 0.9% 1423
Ühilduv
Süsteravim Etoposide phosphate 5 mg/ml
Süsteravim Gentamicin sulfate 5 mg/ml
glükoos 5% 1410
Ühilduv
Süsteravim Etoposide phosphate 5 mg/ml
Süsteravim Granisetron hydrochloride 0.05 mg/ml
glükoos 5% 1410
Ühilduv
Süsteravim Etoposide phosphate 5 mg/ml
Süsteravim Haloperidol lactate 0.2 mg/ml
glükoos 5% 1410
Ühilduv
Süsteravim Etoposide phosphate 5 mg/ml
Süsteravim Heparin sodium 100 UI/ml
glükoos 5% 1410
Ühilduv
Süsteravim Etoposide phosphate 5 mg/ml
Süsteravim Hydrocortisone sodium succinate 1 mg/ml
glükoos 5% 1410
Ühilduv
Süsteravim Etoposide phosphate 5 mg/ml
Süsteravim Hydromorphone hydrochloride 0.5 mg/ml
glükoos 5% 1410
Ühilduv
Süsteravim Etoposide phosphate 5 mg/ml
Süsteravim Hydroxyzine dihydrochloride 4 mg/ml
glükoos 5% 1410
Ühilduv
Süsteravim Etoposide phosphate 5 mg/ml
Süsteravim Idarubicin hydrochloride 0.5 mg/ml
glükoos 5% 1410
Ühilduv
Süsteravim Etoposide phosphate 5 mg/ml
Süsteravim Ifosfamide 25 mg/ml
glükoos 5% 1410
Värvi muutus 4 tunni pärast Sobimatu
Süsteravim Etoposide phosphate 5 mg/ml
Süsteravim Imipenem - cilastatin sodium 10 mg/ml
naatriumkloriid 0.9% 1410
Kohene sade Sobimatu
Süsteravim Etoposide phosphate 5 mg/ml
Süsteravim Lansoprazole 0.55 mg/ml
naatriumkloriid 0.9% 1625
Ühilduv
Süsteravim Etoposide phosphate 5 mg/ml
Süsteravim Linezolid 2 mg/ml
mitte ükski 1925
Ühilduv
Süsteravim Etoposide phosphate
naatriumkloriid 0.9% 3655
Ühilduv
Süsteravim Etoposide phosphate 5 mg/ml
Süsteravim Lorazepam 0.5 mg/ml
glükoos 5% 1410
Täpsustamata sobimatus Sobimatu
Süsteravim Etoposide phosphate
Süsteravim Magnesium sulfate
3838
Ühilduv
Süsteravim Etoposide phosphate 5 mg/ml
Süsteravim Magnesium sulfate 100 mg/ml
glükoos 5% 1410
Ühilduv
Süsteravim Etoposide phosphate 5 mg/ml
Süsteravim Mannitol 150 mg/ml
glükoos 5% 1410
Ühilduv
Süsteravim Etoposide phosphate 5 mg/ml
Süsteravim Mesna 10 mg/ml
glükoos 5% 1410
Ühilduv
Süsteravim Etoposide phosphate 5 mg/ml
Süsteravim Methotrexate sodium 15 mg/ml
glükoos 5% 1410
Kohene hägusus Sobimatu
Süsteravim Etoposide phosphate 5 mg/ml
Süsteravim Methylprednisolone sodium succinate 5 mg/ml
glükoos 5% 1410
Ühilduv
Süsteravim Etoposide phosphate 5 mg/ml
Süsteravim Metoclopramide hydrochloride 5 mg/ml
glükoos 5% 1410
Ühilduv
Süsteravim Etoposide phosphate 5 mg/ml
Süsteravim Metronidazole 5 mg/ml
glükoos 5% 1410
Ühilduv
Süsteravim Etoposide phosphate 5 mg/ml
Süsteravim Minocycline hydrochloride 0.2 mg/ml
glükoos 5% 1410
Värvi muutus 4 tunni pärast Sobimatu
Süsteravim Etoposide phosphate 5 mg/ml
Süsteravim Mitomycin 0.5 mg/ml
glükoos 5% 1410
Ühilduv
Süsteravim Etoposide phosphate 5 mg/ml
Süsteravim Mitoxantrone dihydrochloride 0.5 mg/ml
glükoos 5% 1410
Ühilduv
Süsteravim Etoposide phosphate 5 mg/ml
Süsteravim Morphine sulfate 1 mg/ml
glükoos 5% 1410
Ühilduv
Süsteravim Etoposide phosphate 5 mg/ml
Süsteravim Nalbuphine hydrochloride 10 mg/ml
glükoos 5% 1410
Ühilduv
Süsteravim Etoposide phosphate 5 mg/ml
Süsteravim Netilmicin sulfate 5 mg/ml
glükoos 5% 1410
Ühilduv
Süsteravim Etoposide phosphate 5 mg/ml
Süsteravim Ofloxacin 4 mg/ml
glükoos 5% 1410
Ühilduv
Süsteravim Etoposide phosphate 5 mg/ml
Süsteravim Ondansetron hydrochloride 1 mg/ml
glükoos 5% 1410
Ühilduv
Süsteravim Etoposide phosphate 5 mg/ml
Süsteravim Oxaliplatin 0,5 mg/ml
glükoos 5% 1662
Ühilduv
Süsteravim Etoposide phosphate 5 mg/ml
Süsteravim Paclitaxel 1.2 mg/ml
glükoos 5% 1410
Ühilduv
Süsteravim Etoposide phosphate 5 mg/ml
Süsteravim Pethidine hydrochloride 4 mg/ml
glükoos 5% 1410
Ühilduv
Süsteravim Etoposide phosphate 5 mg/ml
Süsteravim Piperacillin sodium 40 mg/ml
glükoos 5% 1410
Ühilduv
Süsteravim Etoposide phosphate 5 mg/ml
Süsteravim Piperacillin sodium / tazobactam 40/5 mg/ml
naatriumkloriid 0.9% 1410
Ühilduv
Süsteravim Etoposide phosphate 5 mg/ml
Süsteravim Potassium chloride 100 mEq/l
glükoos 5% 1410
Kohene hägusus Sobimatu
Süsteravim Etoposide phosphate 5 mg/ml
Süsteravim Prochlorperazine edysilate 0.5 mg/ml
glükoos 5% 1410
Ühilduv
Süsteravim Etoposide phosphate 5 mg/ml
Süsteravim Promethazine hydrochloride 2 mg/ml
glükoos 5% 1410
Ühilduv
Süsteravim Etoposide phosphate 5 mg/ml
Süsteravim Ranitidine hydrochloride 2 mg/ml
glükoos 5% 1410
Ühilduv
Süsteravim Etoposide phosphate 5 mg/ml
Süsteravim Sodium bicarbonate 84 mg/ml
glükoos 5% 1410
Ühilduv
Süsteravim Etoposide phosphate 5 mg/ml
Süsteravim Streptozocin 40 mg/ml
glükoos 5% 1410
Värvi muutus 4 tunni pärast Sobimatu
Süsteravim Etoposide phosphate 5 mg/ml
Süsteravim Teniposide 0.1 mg/ml
naatriumkloriid 0.9% 1410
Ühilduv
Süsteravim Etoposide phosphate 5 mg/ml
Süsteravim Thiotepa 1 mg/ml
glükoos 5% 1410
Ühilduv
Süsteravim Etoposide phosphate 5 mg/ml
Süsteravim Ticarcillin / clavulanic acid 31 mg/ml
glükoos 5% 1410
Ühilduv
Süsteravim Etoposide phosphate 5 mg/ml
Süsteravim Tobramycin sulfate 5 mg/ml
glükoos 5% 1410
Ühilduv
Süsteravim Etoposide phosphate 5 mg/ml
Süsteravim Vancomycin hydrochloride 10 mg/ml
glükoos 5% 1410
Ühilduv
Süsteravim Etoposide phosphate 5 mg/ml
Süsteravim Vinblastine sulfate 0.12 mg/ml
glükoos 5% 1410
Ühilduv
Süsteravim Etoposide phosphate 5 mg/ml
Süsteravim Vincristine sulfate 0.05 mg/ml
glükoos 5% 1410
Ühilduv
Süsteravim Etoposide phosphate 5 mg/ml
Süsteravim Zidovudine 4 mg/ml
glükoos 5% 1410

  Mentions Légales